Detoxification of Cylindrospermopsin by Pyrite in Water
Abstract
1. Introduction
2. Results and Discussion
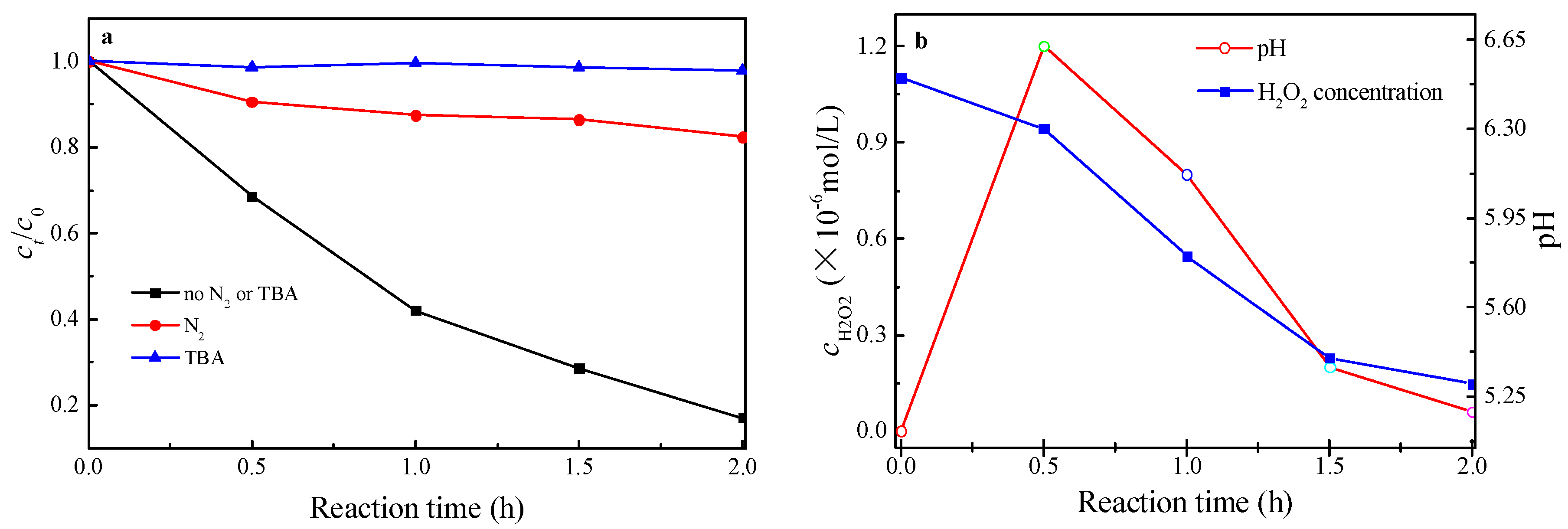
2.1. Degradation of CYN
2.2. Formation of Active Species
2.3. Proposed Degradation Pathway
2.4. Effects of Degradation Products on Toxicity
3. Materials and Methods
3.1. Reagents
3.2. Photocatalytic Process
3.3. Analytical Methods
4. Conclusions
Supplementary Materials
Author Contributions
Funding
Conflicts of Interest
References
- Gaget, V.; Humpage, A.R.; Huang, Q.; Monis, P.; Brookes, J.D. Benthic cyanobacteria: A source of cylindrospermopsin and microcystin in Australian drinking water reservoirs. Water Res. 2017, 124, 454–464. [Google Scholar] [CrossRef] [PubMed]
- López-Alonso, H.; Rubiolo, J.A.; Vega, F.; Vieytes, M.R.; Botana, L.M. Protein synthesis inhibition and oxidative stress induced by cylindrospermopsin elicit apoptosis in primary rat hepatocytes. Chem. Res. Toxicol. 2013, 26, 203–212. [Google Scholar] [CrossRef] [PubMed]
- Banker, R.; Carmeli, S.; Werman, M.; Teltsch, B.; Porat, R.; Sukenik, A. Uracil moiety is required for toxicity of the cyanobacterial hepatotoxin cylindrospermopsin. Toxicol. Environ. Health 2001, 62, 281–288. [Google Scholar] [CrossRef] [PubMed]
- Maire, M.A.; Bazin, E.; Fessard, V.; Rast, C.; Humpage, A.R.; Vasseur, P. Morphological cell transformation of Syrian hamster embryo (SHE) cells by the cyanotoxin, cylindrospermopsin. Toxicon 2010, 55, 1317–1322. [Google Scholar] [CrossRef] [PubMed]
- Wörmer, L.; Huerta-Fontela, M.; Cirés, S.; Carrasco, D.; Quesada, A. Natural photodegradation of the cyanobacterial toxins microcystin and cylindrospermopsin. Environ. Sci. Technol. 2010, 44, 3002–3007. [Google Scholar] [CrossRef] [PubMed]
- Zhao, C.; Pelaez, M.; Dionysiou, D.D.; Pillai, S.C.; Byrne, J.A.; O’Shea, K.E. UV and visible light activated TiO2 photocatalysis of 6-hydroxymethyl uracil, a model compound for the potent cyanotoxin cylindrospermopsin. Catal. Today 2014, 224, 70–76. [Google Scholar] [CrossRef]
- Song, W.; Yan, S.; Cooper, W.J.; Dionysiou, D.D.; O’Shea, K.E. Hydroxyl radical oxidation of cylindrospermopsin (cyanobacterial toxin) and its role in the photochemical transformation. Environ. Sci. Technol. 2012, 46, 12608–12615. [Google Scholar] [CrossRef] [PubMed]
- Page, S.E.; Kling, G.W.; Sander, M.; Harrold, K.H.; Logan, J.R.; McNeill, K.; Cory, R.M. Dark formation of hydroxyl radicals in arctic soil and surface waters. Environ. Sci. Technol. 2013, 47, 12860–12867. [Google Scholar] [CrossRef] [PubMed]
- Tong, M.; Yuan, S.; Ma, S.; Jin, M.; Liu, D.; Cheng, D.; Liu, X.; Gan, Y.; Wang, Y. Production of abundant hydroxyl radicals from oxygenation of subsurface sediments. Environ. Sci. Technol. 2016, 50, 214–221. [Google Scholar] [CrossRef] [PubMed]
- Zhang, P.; Yuan, S.; Liao, P. Mechanisms of hydroxyl radical production from abiotic oxidation of pyrite under acidic conditions. Geochim. Cosmochim. Acta 2016, 172, 444–457. [Google Scholar] [CrossRef]
- Aschermann, G.; Jeihanipour, A.; Shen, J.; Mkongo, G.; Dramas, L.; Croue, J.P.; SchaFer, A. Seasonal variation of organic matter concentration and characteristics in the Maji ya Chai River (Tanzania): Impact on treatability by ultrafiltration. Water Res. 2016, 101, 370–381. [Google Scholar] [CrossRef] [PubMed][Green Version]
- Fang, Y.; Zhou, W.; Tang, C.; Huang, Y.; Johnson, D.M.; Ren, Z.J.; Ma, W. Brönsted catalyzed hydrolysis of microcystin-LR by siderite. Environ. Sci. Technol. 2018, 52, 6426–6437. [Google Scholar] [CrossRef] [PubMed]
- Bae, S.; Kim, D.; Lee, W. Degradation of diclofenac by pyrite catalyzed Fenton oxidation. Appl. Catal. B Environ. 2013, 134–135, 93–102. [Google Scholar] [CrossRef]
- Zhang, Y.; Tran, H.P.; Hussain, I.; Zhong, Y.; Huang, S. Degradation of p-chloroaniline by pyrite in aqueous solutions. Chem. Eng. J. 2015, 279, 396–401. [Google Scholar] [CrossRef]
- Gil-Lozano, C.; Losa-Adams, E.; Dávila, A.F.; Gago-Duport, L. Pyrite nanoparticles as a Fenton-like reagent for in situ remediation of organic pollutants. Beilstein J. Nanotechnol. 2014, 5, 855–864. [Google Scholar] [CrossRef] [PubMed]
- Zhang, P.; Yuan, S. Production of hydroxyl radicals from abiotic oxidation of pyrite by oxygen under circumneutral conditions in the presence of low-molecular-weight organic acids. Geochim. Cosmochim. Acta 2017, 218, 153–166. [Google Scholar] [CrossRef]
- Wang, S.; Ma, W.; Fang, Y.; Jia, M.; Huang, Y. Bismuth oxybromide promoted detoxification of cylindrospermopsinunder UV and visible light illumination. Appl. Catal. B Environ. 2014, 150–151, 380–388. [Google Scholar] [CrossRef]
- Wang, L.; He, D.; Chen, W.; Yu, H.Q. Probing the roles of Ca2+ and Mg2+ in humic acids-induced ultrafiltration membrane fouling using an integrated approach. Water Res. 2015, 81, 325–332. [Google Scholar] [CrossRef] [PubMed]
- Lin, D.; Li, T.; Yang, K.; Wu, F. The relationship between humic acid (HA) adsorption on and stabilizing multiwalled carbon nanotubes (MWNTs) in water: Effects of HA, MWNT and solution properties. J. Hazard. Mater. 2012, 241–242, 404–410. [Google Scholar] [CrossRef] [PubMed]
- Bader, H.; Sturzenegger, V.; Hoigne, J. Photometric method for the determination of low concentrations of hydrogen peroxide by the peroxidase catalyzed oxidation of N, N-diethyl-p-phenylenediamine (DPD). Water Res. 1988, 22, 1109–1115. [Google Scholar] [CrossRef]







| Reaction Time (h) | CYN (m/z 415.6) | Product 1 (m/z 431.4) | Product 2 (m/z 447.3) | Product 3 (m/z 413.4) | Product 4 (m/z 319.3) | 
|---|---|---|---|---|---|
| 0 | 5.28 | 0 | 0 | 0 | 0 | 
| 1.5 | 3.73 | 0.17 | 0.64 | 0.19 | 0.18 | 
| 2 | 2.26 | 0.24 | 1.76 | 0.26 | 0.31 | 
| 2.5 | 1.06 | 0.16 | 1.59 | 0.41 | 0.45 | 
| 3 | 0.25 | 0.12 | 0.29 | 0.13 | 0.28 | 
© 2019 by the authors. Licensee MDPI, Basel, Switzerland. This article is an open access article distributed under the terms and conditions of the Creative Commons Attribution (CC BY) license (http://creativecommons.org/licenses/by/4.0/).
Share and Cite
Wang, S.; Chen, Y.; Jiao, Y.; Li, Z. Detoxification of Cylindrospermopsin by Pyrite in Water. Catalysts 2019, 9, 699. https://doi.org/10.3390/catal9090699
Wang S, Chen Y, Jiao Y, Li Z. Detoxification of Cylindrospermopsin by Pyrite in Water. Catalysts. 2019; 9(9):699. https://doi.org/10.3390/catal9090699
Chicago/Turabian StyleWang, Shulian, Yongmei Chen, Yiying Jiao, and Zhu Li. 2019. "Detoxification of Cylindrospermopsin by Pyrite in Water" Catalysts 9, no. 9: 699. https://doi.org/10.3390/catal9090699
APA StyleWang, S., Chen, Y., Jiao, Y., & Li, Z. (2019). Detoxification of Cylindrospermopsin by Pyrite in Water. Catalysts, 9(9), 699. https://doi.org/10.3390/catal9090699
 
        

 
       