Abstract
The reaction of (NBu4)2Bzmal (where Bzmal2− is benzylmalonate dianion) with Co(OAc)2∙4H2O gives the [Co(Bzmal)(EtOH)(H2O)]n 2D-polymer (1). The addition of 2,2′-bipyridine (bpy) to the starting system results in the [Co(Bzmal)(bpy)2]·H2O·EtOH molecular complex (2). Their molecular and crystal structures were analyzed by single-crystal X-ray crystallography. An analysis of the static magnetic data supported by the SA-CASSCF/NEVPT2 calculations revealed the presence of easy-plane magnetic anisotropy in both complexes. The AC susceptibility data confirm that both complexes show a slow field-induced (HDC = 1000 Oe) magnetic relaxation behavior.
1. Introduction
Cobalt coordination complexes exhibit redox [1,2], optical [3,4], and magnetic [5,6] properties that can be attractive for application in catalysis [7,8], biology, and medicine [9,10]. The magnetic behavior of cobalt(II) ions depends on the coordination environment, crystal field, and interaction with nearby paramagnetic ions [11]. It is known that the spin-orbit splitting in coordination compounds with “magnetic” metal ions arises as a result of structural distortions in the crystal and lowers various symmetries of the magnetic ion except octahedral. In this case, single-ion anisotropy occurs due to splitting in zero field (ZFS) and is a very important reason for the appearance of the properties of single-molecule/ion magnet (SMM/SIM) [6,12]. The crystal field determines the sign and value of the axial ZFS parameter (D, cm−1) [13]. Depending on the sign of D, two types of magnetic anisotropy are distinguished—namely, axial for negative D or easy planar for positive D. Negative D values are preferable for the formation of an energy barrier between two states with S = ±3/2 and the relaxation of magnetization [5]. There are some examples of mononuclear octahedral cobalt(II) complexes with easy plane magnetic anisotropy that exhibit field-induced slow magnetic relaxation behavior—i.e., SIM properties [14,15,16,17,18,19].
The anions of malonic acid and its substituted analogs can exhibit a chelating and/or bridging function in complexes with transition metal ions, and additionally act as conductors of exchange interactions between paramagnetic centers [20,21,22,23,24]. The literature describes CoII homometallic compounds with anions of malonic acid (H2mal) and its substituted analogs that have a mononuclear structure—[CoII(H2O)2(Hmal)2] [25], (NH4)2[(Co(H2O)2(mal)2]·6H2O [26], [Co(H2O)6](cpdc)2 (cpdc2−—cyclopropane-1,1-dicarboxylate dianions) [27]—and a polymer structure: [Co2(H2O)4(mal)2]n [28,29,30], [Co2(mal)2Cl2(H2O)2]n [31], [Co2(H2O)3(cbdc)2]n (cbdc2−—cyclobutane-1,1-dicarboxylate dianions) [32], [Co3(tar)2(H2O)6]·2H2O (tar3−—tartronate anion or hydroxymalonic acid anion) [33]. Moreover, there are examples of the assembly of molecular 36-core polyanions with dimethylmalonic acid anions, (NBu4)6[Co36(H2O)12(OH)20(HMe2Mal)2(Me2Mal)28]·3EtOH [22]. Data on the magnetic properties of CoII compounds with anions of substituted malonic acids are scarce.
Here, we present the synthesis and structure of CoII coordination polymer with benzylmalonic acid dianions (Bzmal2−), [Co(Bzmal)(EtOH)(H2O)]n (1), and the product of polymer fragmentation by N-donor 2,2′-bipyridine (bpy) molecules, [Co(Bzmal)(bpy)2]·H2O·EtOH (2). Magnetic measurement data combined with calculated data show that the presented compounds are SIM. These complexes are the first examples of CoII complexes with benzylmalonic acid anions and the first examples of SIM based on CoII malonates.
2. Materials and Methods
2.1. Synthesis
2.1.1. General Details
The synthesis of compounds was carried out in air using ethanol (96%) and acetonitrile («chemically pure»). Commercially available reagents were used for the preparation of the compounds: Co(OAc)2·4H2O (ChemPur, 99%, Karlsruhe, Germany), benzylmalonic acid (Sigma-Aldrich, 99%, Steinheim, Germany), 2,2′-bipyridine (Alfa Aesar, 98% Karlsruhe, Germany), tetrabutylammonium hydroxide solution (purum, ~1.5 M in water, «Fluka», Buchs, Switzerland). IR spectra were measured using a Perkin Elmer Spectrum 65 instrument (Waltham, MA, USA) by the ATR method in the range of 4000–400 cm-1. C,H,N-analysis was performed using an automatic CHNS-analyzer EuroEA-3000 (EuroVektor, Pavia, Italy) in the Center of Collective Use of IGIC RAS.
2.1.2. Synthesis of New Compounds
[Co(Bzmal)(EtOH)(H2O)]n (1). CoII acetate (0.1 g, 0.402 mmol) was added to a solution of a freshly prepared salt (NBu4)2Bzmal (obtained from 1.072 mL water solution of tetrabutylammonium hydroxide (1.608 mmol) and benzylmalonic acid (0.156 g, 0.804 mmol)) in EtOH (40 ml). The reaction mixture was stirred with weak heating (t = 50 °C) for one hour. The resulting crimson solution was filtered to remove the cloudy precipitate and allowed to stand at room temperature for several days. The resulting crimson crystals are suitable for X-ray diffraction analysis. The crystals of 1 were filtered and dried in air at 25 °C. The yield of 1 is 0.063 g (50% counting per Co). Calc. (%) for C12H16CoO6: C, 45.73; H, 5.12. Found (%): C, 45.91; H, 5.37. IR-spectrum, ν/cm−1 (s = strong, m = medium, w = weak): 3600 w, 3583 w, 3167 w, 3059 w[ν(CHring)], 3023 w [ν(CHring)], 2985 w, 2966 m, 2928 w, 1634 m[νas(COO−)], 1571s [ν(arC-C)], 1496 m[ν(arC-C)], 1441 m[νs(COO−)], 1394 m, 1369m, 1343 m, 1281 m, 1247 m, 1214 w, 1180 s, 1158 w, 1095 w, 1066 m, 1045 m, 965 w, 885 m, 810 m, 754 m, 718 m, 697 s, 662 m, 598 s, 568 s, 479 m, 435 m, 414 m.
[Co(Bzmal)(bpy)2]·H2O·EtOH (2). CoII acetate (0.102 g, 0.410mmol) was added to a solution of 2,2′-bipyridine (0.256 g, 1.640 mmol) and freshly prepared salt (NBu4)2Bzmal (obtained from 1.093 mL water solution of tetrabutylammonium hydroxide (1.640 mmol) and benzylmalonic acid (0.159 g, 0.820 mmol)) in EtOH (35 ml). The reaction mixture was stirred with weak heating (t = 60 °C) for one hour. The resulting orange solution was concentrated in a Schlenk flask to 15 ml and was left for one week. The resulting orange crystals are suitable for X-ray diffraction analysis. Crystals of 2 were filtered, washed by cold acetonitrile (−5°C), and dried in air at 25 °C. The yield of 2 is 0.080 g (32% counting per Co). Calc. (%) for C32H32CoN4O6: C, 61.24; N, 8.93; H, 5.14. Found (%): C, 61.47; N, 9.18; H, 5.31. IR-spectrum (ATR), ν/cm−1 (s = strong, m = medium, w = weak): 3419 w, 3107 w, 3077 w[ν(CHring)], 3032 w[ν(CHring)], 2966 w, 2916 w, 2884 w, 2109 w, 1969 w, 1596 s[νas(COO−)], 1567 s[ν(arC-C)], 1494 m[ν(arC-C)], 1473 m, 1441 s[νs(COO−)], 1408 s, 1329 m, 1310 s, 1264 m, 1251 m, 1226 w, 1174 m, 1158 m, 1089 m, 1073 m, 1044 m, 1020 m, 1013 m, 981 w, 958 w, 915 w, 896 w, 882 w, 861 m, 850 m, 815 m, 768 s, 737 s, 704 s, 652 m, 630 m, 586 s, 541 s, 518 m, 509 m, 479 m, 473 m, 461 m, 447 m, 439 m.
2.2. Single Crystal X-ray Diffraction Analysis
The experimental array of reflections was obtained on a Bruker APEX II diffractometer (Bruker AXS, Madison, WI, USA) (two-coordinate CCD detector, MoKα radiation, λ = 0.71073 A, graphite monochromator). An absorption correction was applied empirically using the SADABS [34] program. Using Olex2 [35], the structures were solved with the ShelXT [36] structure solution program using Intrinsic Phasing and refined with the ShelXL [36] using Least Squares refinement on F2. Hydrogens atoms of methyl, methylene, aromatic fragments, and hydroxylic groups were calculated according to those idealized geometries and refined with constraints applied to C-H and O-H bond lengths and equivalent displacement parameters (Ueq(H) = 1.2Ueq(X). X: central atom of XH₂ group and aromatic ring; Ueq(H) = 1.5Ueq(Y); Y: central atom of YH₃, OH group, and H2O). For complex 2, the contribution of the disordered solvent molecules (one ethanol molecule according to C,H,N-analysis) to the calculated structure factors was removed using a solvent mask [37]. The crystallographic parameters and refinement statistics are given in Table 1. CCDC numbers 2044684 (for 1) and 2044683 (for 2) contain the supplementary crystallographic data for the reported compounds. These data can be obtained free of charge from The Cambridge Crystallographic Data Centre via www.ccdc.cam.ac.uk/data_request/cif.
Table 1.
Crystal data and structure refinement for 1 and 2.
2.3. Powder X-ray Diffraction
The purity of the compound samples was approved by PXRD (See supplement materials S1). The powder patterns were measured on a Bruker D8 Advance diffractometer (Bruker AXS, Madison, WI, USA) with a LynxEye detector in Bragg–Brentano geometry, with the sample dispersed thinly on a zero-background Si sample holder, λ(CuKα) = 1.54060 Å, θ/θ scan with variable slits (irradiated length 20 mm) from 5° to 41° 2θ, stepsize 0.02°.
2.4. Magnetic Measurements
Magnetic susceptibility measurements were performed using a Quantum Design PPMS-9 susceptometer (Quantum Design, San Diego, CA, USA). For dc-magnetic susceptibility measurements, the 5000 Oe magnetic field was applied. The measurements have been performed in the 2–300 K temperature range. For ac-susceptibility measurements of all the samples, oscillating ac-magnetic fields of 5, 3, and 1 Oe within frequency ranges 10–100, 100–1000, and 1000–10000 Hz, respectively, have been applied. These settings allowed one both to avoid sample heating at low temperatures (which may occur when modulation amplitudes and frequency are high) and to obtain the best signal-to-noise ratio. All the magnetic measurements were performed on polycrystalline samples sealed in polyethylene bags and covered with mineral oil in order to prevent the field-induced orientation of crystallites. The paramagnetic components of the magnetic susceptibility χ were determined taking into account both the diamagnetic contribution evaluated from Pascal’s constants and the contributions of the sample holder and mineral oil.
2.5. Computational Details
Ab initio (post Hartree–Fock) calculations of ZFS parameters and g-tensor were performed based on state-averaged complete-active-space self-consistent-field (SA-CASSCF) wave functions complemented by N-electron valence second-order perturbation theory (NEVPT2) [38,39,40,41] using the ORCA program package (version 4.2.1) [42,43]. The SA-CASSCF/NEVPT2 calculations were performed with the geometry of the experimentally determined X-ray structures. The active space of the CASSCF calculations was composed of seven electrons in five d orbitals of Co2+ ions (S = 3/2): CAS(7,5). The state-averaged approach was used, in which all 10 quartet (S = 3/2) and 40 doublets (S= 1/2) states were averaged with equal weights. The polarized triple-ζ-quality basis set def2-TZVP was used for all atoms. The ZFS parameters were calculated on the effective Hamiltonian theory [44], in which an approximation to the Breit−Pauli form of the spin-orbit coupling operator (SOMF approximation) was utilized. The splitting of the d-orbitals was analyzed within the ab initio ligand field theory (AILFT) [45,46], as implemented in the ORCA software.
3. Results and Discussion
3.1. Synthesis and Crystal Structure
The reaction of Co(OAc)2 with tetrabutylammonium benzylmalonate ((NBu4)2Bzmal) in ethanol resulted in the [Co(Bzmal)(EtOH)(H2O)]n 2D-polymer (1). The addition of 2,2′-bipyridine to the reaction mixture gave the [Co(Bzmal)(bpy)2]·H2O·EtOH molecular complex (2).
Both the compounds were isolated as single crystals and polycrystals. The phase purity of the polycrystalline samples was confirmed by X-ray powder diffraction (see supplementary data, Figures S1.1 and S1.2). All the samples obtained were characterized by elemental analysis and IR spectroscopy. The IR spectra of the samples of complexes 1 and 2 show that they comprise benzylmalonate anions. The stretching vibrations of coordinated COO− groups are at the frequencies: 1634 cm−1(νas) and 1441 cm−1(νs) for 1 and 1596 cm−1(νas) and 1441 cm−1(νs) for 2. The presence of an aromatic substituent is supported by the stretching vibrations bands of C-H bonds at 3059 and 3023 cm−1 for 1 and 3077 and 3032cm−1 for 2 and C-C bonds of the ring at 1571 and 1496 cm−1 for 1 and 1567 and 1494 cm−1 for 2. The data obtained from our studies confirm the single-phase structure of the samples. The background observed in the diffractogram of sample 2 indicates the presence of an amorphous impurity, a side product, or partially desolvated complex 2. Additionally, the composition of the product is confirmed by the results of the elemental analysis, which match the calculated gross formula. The compositions of the compounds match the formulas based on the X-ray diffraction results.
According to the X-ray diffraction data, polymer 1 crystallizes in the orthorhombic crystal system (space group Pna21). The asymmetric unit contains a benzylmalonate anion that forms a chelate ring with cobalt(II) (Co-O 2.051(3)-2.080(3) Å) (Figure 1a). The oxygen atoms not participating in the formation of the chelate ring are coordinated to two other cobalt (II) atoms (Co-O 2.064(3), 2.070(3) Å, O-Co-O 86.69(9)-98.09(7)°, 167.04(13)°, 172.09(13)°) to form a 2D polymer layer with cobalt atoms lying 0.613 Å above and below the mean plane parallel to yz (Co…Co 5.2931(2) Å, Co…Co…Co 85.22°) (Figure 1b). The coordination environment of the cobalt(II) atom is completed to a distorted octahedron (the coordination geometry of the polyhedron CoO6 was analyzed using the SHAPE software [47] - Oh, Sp(Q) = 0.557) by monodentate ethanol (Co-O 2.149(2) Å) and water (Co-O 2.133(3) Å) molecules (O(H2O)-Co-O(EtOH) 173.70(10)°, O-Co-(Bzmal) 78.68(12)-96.15(12)°). The octahedron is elongated along the axial axis (deq = 2.07 Å, dax = 2.14 Å). The water molecule forms two hydrogen bonds (O..OH 2.680(5), 2.727(5) Å) with benzylmalonates chelated with the neighbouring cobalt(II) atoms. The interlayer interactions are mainly represented by C-H…π and C-H…H-C contacts between the benzyl groups (Figure S2.1). According to the cluster representation of the first type, the topology of 1 corresponds to the 3-connected net hcb with the point symbol 63. This topological type was found in 17 827 structures.
Figure 1.
Fragment of Complex 1 (a); fragment of polymeric layer of 1 (b). (Hydrogen atoms and benzylmalonate substituents in b are omitted for clarity).
Such a motif for the construction of a CoII malonate polymer in the form of a layer has been isolated for the first time, but there are examples of 3D structures in which similar layers are bound to each other by N-donor bridging ligands [48,49,50,51,52,53]. Some complexes reported in the literature that are constructed on the base of the {CoII(Rmal)} moiety (where R is H or a hydrocarbon substituent in acid anions) with a chelate-bound acid dianion: 1D-polymer [Co2(H2O)3(cbdc)2]n (cbdc2−—cyclobutane-1,1-dicarboxylate anion) [32] and 2D-polymer [Co2(mal)2Cl2(H2O)2]n [31]. The [Co2(H2O)4(mal)2]n 2D-polymer was reported whose structure is composed of corrugated layers consisting of bischelate {MII(1)(mal)2}2− moieties bound through MII(2) atoms [28,29,30].
Complex 2 crystallizes in monoclinic crystal system (space group P21/c) as a solvate with a water molecule (Figure 2) (disordered ethanol molecule was removed with the PLATON SQUEEZE procedure). The coordination environment of the cobalt(II) atom consists of benzylmalonate (Co-O 2.057(2), 2.067(2) Å, O-Co-O 89.03(6)°) and two 2,2′-bipyridyl ligands (Co-N 2.126(2)-2.150(2) Å, N-Co-N 76.29(6)°, 76.54(6)°). The analysis of the coordination geometry of cobalt(II) atom, CoO2N4, was performed using the SHAPE software [47]. This can be described as a distorted octahedron (Oh, Sp(Q) = 1.026). The crystal packing of the complex consists of layers formed due to ππ-stacking between the bipyridyl ligands and hydrogen bonds via solvate water molecules (Figure S2.2, Tables S3 and S4). These layers alternate with voids filled with solvent molecules. The minimal interatomic distance between the metal atoms in the crystal is 7.696 Å.
Figure 2.
Structure of Complex 2. (Hydrogen atoms and solvate molecules are omitted for clarity).
The coordination geometry of the cobalt(II) atom can be described as a distorted octahedron in CoII complexes with two 2,2′-bipyridine molecules and anions of other dicarboxylic acids: [Co(bpy)2(ox)] (ox2−—oxalate dianion) [54], Co[(bpy)2(dpa)]·H2O (dpa2−—2,2′-diphenic acid dianion) [55] and [Co(bpy)2(H2O)L]∙H2O (L2−—2,5-dicarbomethoxybenzene-1,4-dicarboxylic acid anion) [56] or with anions of monocarboxylic acids, for example pivalic (Hpiv (or tBuCO2H)): [Co(bpy)2(piv)2]∙x (x = MeCN or PhCH3) [57,58] and acetic acids [Co(OAc)(bpy)2](OAc)·3H2O [59].
3.2. Magnetic Properties
The magnetic behavior of 1 and 2 was investigated under a 5000 Oe dc-magnetic field in the 2-300 K temperature range. The molar magnetic susceptibility temperature dependencies, χMT(T), are shown in Figure 3. The shape of the dependences is typical for Co2+ complexes.
Figure 3.
Temperature dependences of χMT for 1 (left) and 2 (right) measured at HDC = 0.5 T. Insets: magnetization vs. field measured at T = 2, 4, and 6 K. Theoretical curves (solid lines) are calculated at GH (Equation (1)) with the optimal set of parameters (see text).
In both cases, the χMT values at 300 K (3.36 and 3.08 cm3/mol K for 1 and 2, respectively) are much higher than the spin-only value (1.875 cm3/mol K), which indicates an unquenched orbital contribution to the total magnetic momentum. The difference between the χMT magnitudes one can connect with the ligand environment. The χMT values are reducing with rising speed during the temperature decrease from 3.36 and 3.08 cm3/mol K (at 300 K) to 1.74 and 1.77 (at 2 K) for 1 and 2, respectively. Such a type of behavior is most likely due to the anisotropy of Co2+ ions and the Zeeman effect caused by the applied field [60,61,62]. The experimental dc-magnetic susceptibility dependencies were approximated by the use of the PHI program with the set of parameters presented in Table 2 (also see Supplementary Data, Figure S5) [63]. The approximations showed positive D values for both compounds. In agreement with a positive D value, the perpendicular components of the g-tensor are larger than the parallel one.
Table 2.
Approximation parameters of the χMT(T) dependences for Complexes 1 and 2 obtained by the PHI program [63] and SA-CASSCF/NEVPT2 calculated.
3.3. Quantum Chemical Calculations and Griffith Hamiltonian Approach
It has been widely discussed that the zero-field splitting (ZFS) spin-Hamiltonian (SH) is not always applicable to the description of pseudo-octahedral Co(II) complexes due to the significant contribution of the unquenched orbital angular momentum [64,65,66]. According to the SA-CASSCF/NEVPT2 calculations of isolated monomer fragment of 1 (Figure 1a) and mononuclear complex 2 (Figure 2), the separation of ground and the first excited quartet states is less 1000 cm−1 (Table 3). In this case, the SH is not fully operative for these complexes, it should be substituted by more sophisticated approach based on the Griffith Hamiltonian (GH), which acts within the ground octahedral 4T1g-term of the Co ion (state with fictitious orbital angular momentum L = 1) and explicitly involves the orbital contributions:
where λ is the spin-orbit coupling parameter which typically ranges from −180 cm−1 to −130 cm−1, κ is the orbital reduction factor which can vary from 0.6 to 1.0 depending on the complex, and are the orbital angular momentum and spin operators.
Table 3.
Calculated spin-free state (δE) and spin-orbit state (ΔE) energies (cm−1) for 1 and 2.
It is seen that the three low-lying spin-free energy levels for both complexes (Table 3) can be associated with the axial crystal field (CF) splitting of the octahedral 4T1g term of the Co(II) ion into the ground orbital singlet, which is strongly separated from excited orbital doublet (it undergoes further small splitting by the rhombic crystal field into two orbital singlets). The energy level splitting corresponds to the positive sign of the axial CF parameter Δax in the Griffith Hamiltonian (GH), Equation (1) and are relatively weak (small |Δrh|) for 1 and large rhombicity for 2. In the case of Δax > 0, the SH is applicable and the magnetic anisotropy in such complexes can be described in terms of ZFS too. It is interesting to note that the coordination environment distortions of the Co(II) ion in 1 (tetragonal elongation) and the nature of d-AO splitting (Table 3) are also in good agreement with Δax > 0. The coordination environment of the Co(II) ion in complex 2 is strongly distorted, and to a greater extent differs from the D4h distorted octahedron.
Figure 3 shows DC magnetic properties of 1 and 2 described by GH (Equation (1)). In order to avoid overparameterization, we used the values of the axial and rhombic CF parameters obtained from the SA-CASSCF/NEVPT2 energies of the spin-free states: Δax = 1005.25 cm−1 and Δrh = 118.75 cm−1 for 1 and Δax = 713.65 cm−1 and Δrh = 209.05 cm−1 for 2. These values are then were fixed when fitting the DC magnetic properties in order to reduce the number of varied parameters in the GH to only two parameters, λ and κ. By the simultaneous fitting of the temperature dependence, we obtain the best-fit values λ = −146.4 cm−1 and κ = 0.997 for 1 and λ = −146.4 cm−1 and κ = 0.999 for 2, which fall within the typical range of parameters for the high-spin hexacoordinate Co(II) complexes. Figure 3 shows that the found best-fit parameters and the CF parameters obtained from the ab initio calculations provide quite a satisfactory description of the experimental DC data.
As expected for the pseudo-octahedral complexes, two sets of split t2g and eg orbitals were found in 1 and 2 (Figure 4).
Figure 4.
Co(II) ion d-AO splitting pattern in 1 (left) and 2 (right) according to AILFT analysis (at SA-CASSCF/NEVPT2 level of theory).
Table 2 shows the results of the ZFS splitting parameters and the g-tensors calculations by the CASSCF/NEVPT2 method, which indicate the presence in both complexes of a strong easy plane-type magnetic anisotropy (D > 0). Both complexes have strongly anisotropic g-tensors; moreover, the perpendicular components of the g-tensors are larger than the parallel one, which is consistent with positive D values.
3.4. AC Magnetic Measurements
In order to find out whether compounds 1 and 2 formed by anisotropic Co2+ are single-ion magnets—i.e., exhibit a slow relaxation of magnetization—their magnetic dynamic were probed by measuring the ac-magnetic susceptibility.
In the zero dc-magnetic field, the out-of-phase values are negligible at 2 K for ac-frequencies in the range from 10 to 10000 Hz (Figures S6.1 and S6.2). The absence of considerable χ″(ν) signals for complexes 1 and 2 most likely originates from the significant contribution from the quantum tunneling of the magnetization (QTM), resulting in fast relaxation. For minimizing the effect of QTM, non-zero dc-fields up to 5000 Oe have been applied. This resulted in the appearance of the significant out-of-phase signals on the χ″(ν) dependencies. Based on this data, the optimal value of the dc-field strength (at which the relaxation rate is the smallest) was selected as 1000 Oe for both complexes (Figures S6.1 and S6.2).
Frequency dependences of the in-phase and out-of-phase components of the ac-magnetic susceptibility for complexes 1 and 2 taken under optimal Hdc field are shown on Figures S6.3 and S6.4, respectively.
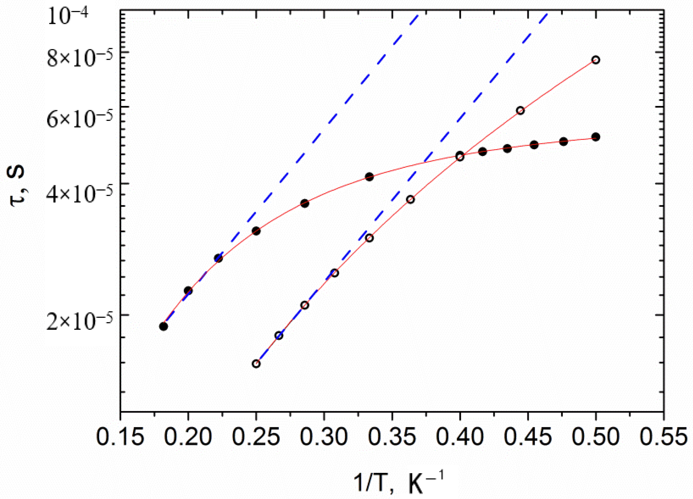
The corresponding χ″(ν) isotherms were approximated by using the generalized Debye model. This yielding temperature dependences of relaxation time (τ vs. 1/T) shown on Figure 5. Overall non-linear course of these dependences evidences contribution of non-Orbach magnetization relaxation mechanisms in both the cases. The increase in the intensity of the χ″(ν) signal from 2 to 3 K that was observed for 1 may originate from the collective behavior caused by the weak dipole–dipole or exchange interactions between the Co2+ ions [67,68].
Figure 5.
τ vs. 1/T Plot for Complex 1 (filled circles) and 2 (open circles) under 1000 Oe dc-field. Blue dashed lines represent fitting by Orbach mechanism. Solid red lines represent fitting by Raman (2) and Raman+QTM (1) relaxation mechanisms.
In the high-temperature range—namely, 4.5–5.5 K for 1 and 3.5–4 K for 2—the τ(1/T) dependences are fairly described by Arrhenius equation (τ = τ0∙exp{Δeff/kBT}), where τ0 and Δeff/kB are fitting parameters. Such an approximation affords following sets of relaxation parameters: Δeff/kB = 8.7 (±0.7) and 8.6 (±0.2) K, τ0 = 3.9×10−6 (±6 × 10−7) and 1.80×10−6 (±8 × 10−8) s with R2 = 0.98607 and 0.99937 for 1 and 2, respectively. Considering that the value of τ0 is near 10−6 s, which is far from the values of time to reverse the magnetization from the phonon (10−10 to 10−12 s) corresponding to the Orbach relaxation process [69], then, probably, no Orbach relaxation was observed for both complexes.
The best fit of the entire τ vs. 1/T dependence for 1 was achieved by involving the sum of Raman (τ−1 = CRamanTnRaman, where CRaman and nRaman are fitting parameters) and QTM (τ−1 = BQTM, where BQTM is a fitting parameter) mechanisms with the following set of parameters: CRaman= 345 (±35) s−1K-nRaman, nRaman = 2.71 (±0.06), BQTM = 17423 (±172), s−1 with R2 = 0.9996. The best correspondence between the experimental data τ(1/T) for complex 2 and the theoretical curve was achieved using just the Raman relaxation mechanism with the following parameters: CRaman = 2611 (±11) s−1K−nRaman, nRaman = 2.315 (±0.005) with R2 = 0.99997 (Figure 5).
The fact, that the whole data range could be well approximated by using only the Raman or the sum of Raman and QTM relaxation mechanisms, suggesting that the Orbach relaxation mechanism does not participate in relaxation.
3.5. Disscussion
This study showed the easy plane magnetic anisotropy of octahedral cobalt(II) ions in polymeric and molecular complexes. The D values are comparable to the known values for cis-[Co(dmphen)2(NCS)2]·0.25EtOH (dmphen = 2,9-dimethyl-1,10-phenanthroline) [14] and [Co(μ-L)(μ-OAc)Y(NO3)2] [70] (L = a deprotonated form of 1,1’-diacetylferrocenedihydrazone), where D is 98 and 92 cm-1, respectively, and the energy barriers have similar values. In a rare case, a negative D is found for the pseudo-octahedral [Co(bpp-COOMe)2](ClO4)2 (where bpp-COOMe = methyl-2,6-di(pyrazol-1-yl(pyridine-4-carboxylate) complex [71]. Attempts to increase the positive D value [72] did not yield a large energy barrier (Δeff/kB ~ |D|) because of the easy plane anisotropy of the metal ion.
4. Conclusions
The combination of benzylmalonate anions and cobalt(II) ions led to the formation of 2D polymeric structure 1 as a result of the chelate-bridging function of the dicarboxylic dianion. The above reaction in the presence of the chelate N-donor ligand bpy gave mononuclear molecule 2, in which the benzylmalonic dianion also acts as a chelate ligand. The geometry of the coordination environment of cobalt ions (CoO6 for 1 and CoN4O2 for 2) in the complexes corresponds to a distorted octahedron. The analysis of the DC magnetic data with SH and GF showed that the magnetic anisotropy of both complexes can be described in terms of ZFS (D > 0) as well as CF (Δax > 0, Δrh > 0). Ab initio calculations indicated the presence of a strong easy plane-type magnetic anisotropy (D > 0) and strongly anisotropic g-tensors in both complexes. These data confirm the results of the analysis of the magnetization relaxation mechanisms for the complexes in question, the Raman mechanism for 1 and a combination of the Raman and QTM mechanisms for 2.
Supplementary Materials
The following are available online at https://www.mdpi.com/2073-4352/10/12/1130/s1: Figures S1.1–S1.2: PXRD data; Figures S2.1–S2.2: Crystal packing; Table S3: H-bonds for 1 and 2; Table S4: Selected parameters of π-π intermolecular interactions in 2; Figure S5: χMT vs. T dependences for complexes 1 and 2; Figures S6.1–S6.4: AC data.
Author Contributions
Conceptualization, validation, E.Z.-T.; methodology, A.M., E.Z.-T.; formal analysis, A.M., E.Z.-T.; investigation, I.S., M.S., K.B., N.E., D.K.; computational study—D.K.; writing—original draft preparation, E.Z.-T., D.K., M.K.; writing—review and editing, M.K.; supervision, I.E. All authors have read and agree to the published version of the manuscript.
Funding
This research was funded by the Ministry of Science and Higher Education of the Russian Federation, grant number 075-15-2020-779.
Acknowledgments
X-ray diffraction analysis, CHN and IR-spectral analyses, as well as magnetochemical studies were performed using the equipment at the Center for Collective Use of the Kurnakov Institute RAS, which operates with the support of the state assignment of the IGIC RAS in the field of fundamental scientific research.
Conflicts of Interest
The authors declare no conflict of interest.
References
- Dereven’kov, I.A.; Salnikov, D.S.; Silaghi-Dumitrescu, R.; Makarov, S.V.; Koifman, O.I. Redox chemistry of cobalamin and its derivatives. Coord. Chem. Rev. 2016, 309, 68–83. [Google Scholar] [CrossRef]
- Hogue, R.W.; Toghill, K.E. Metal coordination complexes in nonaqueous redox flow batteries. Curr. Opin. Electrochem. 2019, 18, 37–45. [Google Scholar] [CrossRef]
- Zorina-Tikhonova, E.N.; Gogoleva, N.V.; Sidorov, A.A.; Kiskin, M.A.; Kolotilov, S.V.; Ivanova, T.M.; Maslakov, K.I.; Dobrokhotova, Z.H.V.; Efimov, N.N.; Novotortsev, V.M.; et al. 2D coordination polymer built from lithium dimethylmalonate and CoII ions: The influence of dehydration on spectral and magnetic properties. Eur. J. Inorg. Chem. 2017, 2017, 1396–1405. [Google Scholar] [CrossRef]
- Amiri, N.; Bourguiba, M.; Guergueb, M.; Chevreux, S.; Nasri, H. Synthesis, molecular structure, spectroscopic characterization and dielectric properties of new cobalt(II) meso-tetraphenylporphyrin-based coordination complex. Inorg. Chem. Commun. 2020, 118, 107995. [Google Scholar] [CrossRef]
- Murrie, M. Cobalt(II) single-molecule magnets. Chem. Soc. Rev. 2010, 39, 1986–1995. [Google Scholar] [CrossRef]
- Sarkar, A.; Dey, S.; Rajaraman, G. Role of coordination number and geometry in controlling the magnetic anisotropy in FeII, CoII, and NiII single-ion magnets. Chem. Eur. J. 2020, 26, 14036–14058. [Google Scholar] [CrossRef]
- Shvydkiy, N.V.; Perekalin, D.S. Reactions of arene replacement in transition metal complexes. Coord. Chem. Rev. 2020, 411, 213238. [Google Scholar] [CrossRef]
- Beyene, B.B.; Hung, C.-H. Recent progress on metalloporphyrin-based hydrogen evolution catalysis. Coord. Chem. Rev. 2020, 410, 213234. [Google Scholar] [CrossRef]
- Schattschneider, C.; Kettenmann, S.D.; Hinojosa, S.; Heinrich, J.; Kulak, N. Biological activity of amphiphilic metal complexes. Coord. Chem. Rev. 2019, 385, 191–207. [Google Scholar] [CrossRef]
- Jastrzab, R.; Kaczmarek, M.T.; Nowak, M.; Trojanowska, A.; Zabiszak, M. Complexes of polyamines and their derivatives as living system active compounds. Coord. Chem. Rev. 2017, 351, 32–44. [Google Scholar] [CrossRef]
- Kahn, O. Molecular Magnetism; VCH Publishers: New York, NY, USA, 1993. [Google Scholar]
- Meng, Y.-S.; Jiang, S.-D.; Wang, B.-W.; Gao, S. Understanding the magnetic anisotropy toward single-ion magnets. Acc. Chem. Res. 2016, 49, 2381–2389. [Google Scholar] [CrossRef] [PubMed]
- Boča, R. Zero-field splitting in metal complexes. Coord. Chem. Rev. 2004, 248, 757–815. [Google Scholar] [CrossRef]
- Vallejo, J.; Castro, I.; Ruiz-García, R.; Cano, J.; Julve, M.; Lloret, F.; De Munno, G.; Wernsdorfer, W.; Pardo, E. Field-induced slow magnetic relaxation in a six-coordinate mononuclear cobalt(II) complex with a positive anisotropy. J. Am. Chem. Soc. 2012, 134, 15704–15707. [Google Scholar] [CrossRef] [PubMed]
- Wu, Y.; Xi, J.; Yang, J.; Song, W.; Luo, S.; Wang, Z.; Liu, X. Coligand effects on the architectures and magnetic properties of octahedral cobalt(ii) complexes with easy-axis magnetic anisotropy. CrystEngComm 2020, 13, 2297–2303. [Google Scholar] [CrossRef]
- Palion-Gazda, J.; Choroba, K.; Machura, B.; Świtlicka, A.; Kruszynki, R.; Cano, J.; Lloret, F.; Julve, M. Influence of the pyrazine substituent on the structure and magnetic properties of dicyanamide-bridged cobalt(ii) complexes. Dalton Trans. 2019, 46, 17266–17280. [Google Scholar] [CrossRef]
- Vallejo, J.; Viciano-Chumillas, M.; Lloret, F.; Julve, M.; Castro, I.; Krzystek, J.; Ozerov, M.; Armentano, D.; De Munno, G.; Cano, J. Coligand effects on the field-induced double slow magnetic relaxation in six-coordinate cobalt(II) single-ion magnets (SIMs) with positive magnetic anisotropy. Inorg. Chem. 2019, 58, 15726–15740. [Google Scholar] [CrossRef]
- Herchel, R.; Váhovská, L.; Potočňák, I.; Trávníček, Z. Slow magnetic relaxation in octahedral cobalt(II) field-induced single-ion magnet with positive axial and large rhombic anisotropy. Inorg. Chem. 2014, 53, 5896–5898. [Google Scholar] [CrossRef]
- Colacio, E.; Ruiz, J.; Ruiz, E.; Cremades, E.; Krzystek, J.; Carretta, S.; Cano, J.; Guidi, T.; Wernsdorfer, W.; Brechin, E.K. Slow magnetic relaxation in a CoII–YIII single-ion magnet with positive axial zero-field splitting. Angewandte 2013, 52, 9130–9134. [Google Scholar] [CrossRef]
- Bazhina, E.S.; Gogoleva, N.V.; Zorina-Tikhonova, E.N.; Kiskin, M.A.; Sidorov, A.A.; Eremenko, I.L. Homo- and heteronuclear architectures of polynuclear complexes containing anions of substituted malonic acids: Synthetic approaches and analysis of molecular and crystal structures. J. Struct. Chem. 2019, 60, 855–881. [Google Scholar] [CrossRef]
- Zorina, E.N.; Zauzolkova, N.V.; Sidorov, A.A.; Aleksandrov, G.G.; Lermontov, A.S.; Kiskin, M.A.; Bogomyakov, A.S.; Novotortsev, V.M.; Eremenko, I.L. Novel polynuclear architectures incorporating Co2+ and K+ ions bound by dimethylmalonate anions: Synthesis, structure, and magnetic properties. Inorg. Chim. Acta 2013, 396, 108–118. [Google Scholar] [CrossRef]
- Zorina-Tikhonova, E.N.; Gogoleva, N.V.; Sidorov, A.A.; Aleksandrov, G.G.; Kiskin, M.A.; Vologzhanina, A.V.; Demina, L.I.; Bogomyakov, A.S.; Efimov, N.N.; Mironov, V.S.; et al. 36-Nuclear anionic dimethylmalonate complexes of nickel(II) and cobalt(II) with cation of NBu4+: Synthesis, structure and magnetic properties. Polyhedron 2017, 130, 67–74. [Google Scholar] [CrossRef]
- Déniz, M.; Hernández-Rodríguez, I.; Pasán, J.; Fabelo, O.; Cañadillas-Delgado, L.; Vallejo, J.; Julve, M.; Llorete, F.; Ruiz-Pérez, C. Syntheses, crystal structures and magnetic properties of five new manganese(II) complexes: Influence of the conformation of different alkyl/aryl substituted malonate ligands on the crystal packing. CrystEngComm 2014, 16, 2766–2778. [Google Scholar] [CrossRef]
- Ruiz-Pérez, C.; Rodríguez-Martín, Y.; Hernández-Molina, M.; Delgado, F.S.; Pasán, J.; Sanchiz, J.; Lloret, F.; Julve, M. Malonic acid: A multi-modal bridging ligand for new architectures and properties on molecule-based magnets. Polyhedron 2003, 22, 2111–2123. [Google Scholar] [CrossRef]
- Wang, Z.-L.; Wei, L.-H.; Niu, J.-Y. Diaquabis[malonato(1–)-κ2O,O′]cobalt(II). Acta Crystallogr. Sect. E Struct. Rep. Online 2005, 61, m1907–m1908. [Google Scholar] [CrossRef]
- Xu, H.; Wang, F. Diammonium diaquabis(malonato-κ2O,O′)cobaltate(II) dihydrate. Acta Crystallogr. Sect. E Struct. Rep. Online 2008, 64, m493. [Google Scholar] [CrossRef] [PubMed]
- Schwarz, T.; Petri, A.; Schilling, J.; Lentz, A. Hexaaquacobalt(II) Bis(hydrogen cyclopropane-l,l-dicarboxylate). Acta Crystallogr. Sect. C 1998, C54, 1104–1105. [Google Scholar] [CrossRef]
- Delgado, F.S.; Hernandez-Molina, M.; Sanchiz, J.; Ruiz-Perez, C.; Rodriguez-Martin, Y.; Lopez, T.; Lloret, F.; Julve, M. Synthesis, crystal structure and magnetic properties of two-dimensional malonato-bridged cobalt(II) and nickel(II) compounds. CrystEngComm 2004, 6, 106–111. [Google Scholar] [CrossRef]
- Galwey, A.K.; Jamieson, D.M.; le Van, M.; Berro, C. The preparation, properties, crystal lattice and thermal decomposition reactions of cobalt malonate dihydrate. Thermochim. Acta. 1974, 10, 161–176. [Google Scholar] [CrossRef]
- Zheng, Y.-Q.; Xie, H.-Z. Two malonato coordination polymers: Syntheses and crystal structures of M(H2O)2(C3H2O4) with M=Co and Ni, C3H4O4 = malonic acid. J. Coord. Chem. 2004, 57, 1537–1543. [Google Scholar] [CrossRef]
- Bouaoud, Y.; Setifi, Z.; Buvailo, A.; Potaskalov, V.A.; Meraziga, H.; Dénés, G. Crystal structure of poly[diaqua(µ-2-carboxyacetato-κ3O,O′:O″)(2-carboxyacetato-κO)di-µ-chlorido-cobalt(II)]. Acta Crystallogr. Sect. E Struct. Rep. Online 2016, E72, 21–24. [Google Scholar]
- Rzaczynska, Z.; Bartyzel, A.; Olszewska, E.; Sawka-Dobrowolska, W. Synthesis and characterization of Co(II), Cu(II) and Zn(II) complexes with 1,1-cyclobutanedicarboxylic acid. Polyhedron 2006, 25, 687–694. [Google Scholar] [CrossRef]
- Sen, R.; Mal, D.; Lopes, A.M.L.; Brandão, P.; Araújoc, J.P.; Lin, Z. Layered transition metal carboxylates: Synthesis, structural aspects and observation of multi-step magnetic transition through phase diagram. Dalton Trans. 2013, 42, 14836–14843. [Google Scholar] [CrossRef] [PubMed]
- Bruker. SADABS; Version 2016/2; Bruker AXS Inc.: Madison, WI, USA, 2016. [Google Scholar]
- Dolomanov, O.V.; Bourhis, L.J.; Gildea, R.J.; Howard, J.A.K.; Puschmann, H. OLEX2: A complete structure solution, refinement and analysis program. J. Appl. Cryst. 2009, 42, 339–341. [Google Scholar] [CrossRef]
- Sheldrick, G.M. Crystal structure refinement with SHELXL. Acta Cryst. Sect. C 2015, C71, 3–8. [Google Scholar] [CrossRef]
- Sluis, P.; van der Spek, A.L. BYPASS: An effective method for the refinement of crystal structures containing disordered solvent regions. Acta Cryst. Sect. A 1990, A46, 194–201. [Google Scholar] [CrossRef]
- Angeli, C.; Cimiraglia, R.; Evangelisti, S.; Leininger, T.; Malrieu, J.-P. Introduction of n-electron valence states for multireference perturbation theory. J. Chem. Phys. 2001, 114, 10252–10264. [Google Scholar] [CrossRef]
- Angeli, C.; Cimiraglia, R.; Malrieu, J.-P. N-electron valence state perturbation theory: A fast implementation of the strongly contracted variant. Chem. Phys. Lett. 2001, 350, 297–305. [Google Scholar] [CrossRef]
- Angeli, C.; Cimiraglia, R. Multireference perturbation configuration interaction V. Third-order energy contributions in the Møller–Plesset and Epstein–Nesbet partitions. Theor. Chem. Acc. 2002, 107, 313–317. [Google Scholar] [CrossRef]
- Angeli, C.; Cimiraglia, R.; Malrieu, J.-P. n-electron valence state perturbation theory: A spinless formulation and an efficient implementation of the strongly contracted and of the partially contracted variants. J. Chem. Phys. 2002, 17, 9138–9153. [Google Scholar] [CrossRef]
- Neese, F. The ORCA program system. Wiley Interdiscip. Rev. Comput. Mol. Sci. 2012, 2, 73–78. [Google Scholar] [CrossRef]
- Neese, F. Software update: The ORCA program system, version 4.0. Comput. Mol. Sci. 2018, 8, e1327. [Google Scholar] [CrossRef]
- Maurice, R.; Bastardis, R.; De Graaf, C.; Suaud, N.; Mallah, T.; Guihery, N. Universal Theoretical Approach to Extract Anisotropic Spin Hamiltonians. J. Chem. Theory Comput. 2009, 5, 2977–2984. [Google Scholar] [CrossRef] [PubMed]
- Atanasov, M.; Ganyushin, D.; Sivalingam, K.; Neese, F. Molecular Electronic Structures of Transition Metal Complexes II; Mingos, D.M.P., Day, P., Dahl, J.P., Eds.; Structure and Bonding; Springer: Berlin/Heidelberg, Germany, 2012; Volume 143, pp. 149–220. [Google Scholar] [CrossRef]
- Singh, S.K.; Eng, J.; Atanasov, M.; Neese, F. Covalency and Chemical Bonding in Transition Metal Complexes: An Ab Initio Based Ligand Field Perspective. Coord. Chem. Rev. 2017, 344, 2–25. [Google Scholar] [CrossRef]
- Alvarez, S.; Avnir, D.; Llunell, M.; Pinsky, M. Continuous symmetry maps and shape classification. The case of six-coordinated metal compounds. New J. Chem. 2002, 26, 996–1009. [Google Scholar] [CrossRef]
- Lightfoot, P.; Snedden, A. Metal–organic co-ordination frameworks based on mixed N- and O-donor ligands: Crystal structures of [Co(phth)2(bipy)] and [Co2(mal)2(bipy)(H2O)2] (phth = phthalate, mal = malonate, bipy = 4,4′-bipyridine). J. Chem. Soc. Dalton Trans. 1999, 3549–3551. [Google Scholar] [CrossRef]
- Delgado, F.S.; Sanchiz, J.; Ruiz-Perez, C.; Lloret, F.; Julve, M. High-dimensional malonate-based materials: Synthesis, crystal structures and magnetic properties of [M2(mal)2(L)(H2O)2]n·n(H2O) M = Zn(II), Co(II); H2mal = malonic acid, L = pyrimidine, pyrazine. CrystEngComm 2003, 5, 280–284. [Google Scholar] [CrossRef]
- Konar, S.; Mukherjee, P.S.; Drew, M.G.B.; Ribas, J.; Chaudhuri, N.R. Syntheses of two new 1D and 3D networks of Cu(II) and Co(II) using malonate and urotropine as bridging ligands: Crystal structures and magnetic studies. Inorg. Chem. 2003, 42, 2545–2552. [Google Scholar] [CrossRef]
- Déniz, M.; Pasán, J.; Fabelo, O.; Canadillas-Delgado, L.; Lloret, F.; Julve, M.; Ruiz-Pérez, C. Metal-organic coordination frameworks based on mixed methylmalonate and 4,4′-bipiridine ligands: Synthesis, crystal structure and magnetic properties. New J. Chem. 2010, 34, 2515–2527. [Google Scholar] [CrossRef]
- Montney, M.R.; Supkowski, R.M.; LaDuca, R.L. Three-dimensional acentric coordination polymers formed from the linkage of cobalt and nickel malonate quadratic layers through a kinked organodiimine: Synthesis, structure, thermal properties and magnetochemistry. Polyhedron 2008, 27, 2997–3003. [Google Scholar] [CrossRef]
- Garcia, H.C.; De Almeida, F.B.; Diniz, R.; Yoshida, M.I.; De Oliveira, L.F.C. Supramolecular structures of metal complexes containing barbiturate and 1,2-bis(4-pyridyl)-ethane. J. Coord. Chem. 2011, 64, 1125–1138. [Google Scholar] [CrossRef]
- Šestan, M.; Giester, G.; Perić, B. Bis(2,2′-bipyridine-κ2N,N′)(oxalato-κ2O,O′)cobalt(II) pentahydrate. Acta Cryst. Sect. C Cryst. Struct. Commun. 2004, C60, m595–m597. [Google Scholar] [CrossRef] [PubMed]
- Zhang, Q.-C.; Yan, X.-Y.; Chen, M.-W. Crystal structure of bis(2,2′-bipyridyl-N,N′)-(2,2′-diphenyldicarboxylato-O,O′)cobalt(II) dihydrate, Co(C10H8N2)2(C14H8O4)·2H2O. Z. Kristallogr. NCS 2009, 224, 174–176. [Google Scholar] [CrossRef]
- Baruah, A.M.; Karmakar, A.; Baruah, J.B. Ring opening reactions of pyromellitic dianhydride for the synthesis of first row transition metal dicarboxylate complexes. Polyhedron 2007, 26, 4479–4488. [Google Scholar] [CrossRef]
- Mikhailova, T.B.; Malkov, A.E.; Sidorov, A.A.; Fomina, I.G.; Aleksandrov, G.G.; Golovaneva, I.F.; Dem’yanovich, V.M.; Novotortsev, V.M.; Ikorskii, V.N.; Eremenko, I.L. Degradation of binuclear cobalt trimethylacetates under the effect of N-donor ligands. Russ. J. Inorg. Chem. 2002, 47, 1680–1692. [Google Scholar]
- Hayashi, Y.; Santoro, S.; Azuma, Y.; Himo, F.; Ohshima, T.; Mashima, K. Enzyme-like catalysis via ternary complex mechanism: Alkoxy-bridged dinuclear cobalt complex mediates chemoselective O-esterification over N-amidation. J. Am. Chem. Soc. 2013, 135, 6192–6199. [Google Scholar] [CrossRef] [PubMed]
- Do Nascimento Neto, J.A.; da Silva, C.C.; Ribeiro, L.; Silva Mendanha Valdo, A.K.; Terra Martins, F. Competition between coordination bonds and hydrogen bonding interactions in solvatomorphs of copper(II), cadmium(II) and cobalt(II) complexes with 2,2′-bipyridyl and acetate. Z. Krist. Cryst. Mater. 2019, 234, 119–128. [Google Scholar] [CrossRef]
- Benelli, C.; Gatteschi, D. Magnetism of lanthanides in molecular materials with transition-metal ions and organic radicals. Chem. Rev. 2002, 102, 2369–2387. [Google Scholar] [CrossRef]
- Petrosyants, S.P.; Babeshkin, K.A.; Gavrikov, A.V.; Ilyukhin, A.B.; Belova, E.V.; Efimov, N.N. Towards comparative investigation of Er- and Yb-based SMMs: The effect of the coordination environment configuration on the magnetic relaxation in the series of heteroleptic thiocyanate complexes. Dalton Trans. 2019, 48, 12644–12655. [Google Scholar] [CrossRef]
- Zhao, H.; Lopez, N.; Prosvirin, A.; Chifotides, H.T.; Dunbar, K.R. Lanthanide-3d cyanometalate chains Ln(III)-M(III) (Ln = Pr, Nd, Sm, Eu, Gd, Tb; M = Fe) with the tridentate ligand 2,4,6-tri(2-pyridyl)-1,3,5-triazine (tptz): Evidence of ferromagnetic interactions for the Sm(III)-M(III) compounds (M = Fe, Cr). Dalton Trans. 2007, 8, 878–888. [Google Scholar] [CrossRef]
- Chilton, N.F.; Anderson, R.P.; Turner, L.D.; Soncini, A.; Murray, K.S. Phi: A powerful new program for the analysis of anisotropic monomeric and exchange-coupled polynuclear D- and F-block complexes. J. Comput. Chem. 2013, 34, 1164–1175. [Google Scholar] [CrossRef]
- Griffith, J.S. The Theory of Transition Metal Ions; Cambridge University Press: Cambridge, UK, 1964; 468p. [Google Scholar]
- Lloret, F.; Julve, M.; Cano, J.; Ruiz-García, R.; Pardo, E. Magnetic properties of six-coordinated high-spin cobalt(II) complexes: Theoretical background and its application. Inorg. Chim. Acta 2008, 361, 3432–3445. [Google Scholar] [CrossRef]
- Palii, A.V.; Korchagin, D.V.; Yureva, E.A.; Akimov, A.V.; Misochko, E.Y.; Shilov, G.V.; Talantsev, A.D.; Morgunov, R.B.; Aldoshin, S.M.; Tsukerblat, B.S. Single-ion magnet Et4N[CoII(hfac)3] with nonuniaxial anisotropy: Synthesis, experimental characterization, and theoretical modeling. Inorg. Chem. 2016, 55, 9696–9706. [Google Scholar] [CrossRef] [PubMed]
- Hu, Z.-B.; Jing, Z.-Y.; Li, M.-M.; Yin, L.; Gao, Y.-D.; Yu, F.; Hu, T.-P.; Wang, Z.; Song, Y. Important role of intermolecular interaction in cobalt(II) single-ion magnet from single slow relaxation to double slow relaxation. Inorg. Chem. 2018, 57, 10761–10767. [Google Scholar] [CrossRef] [PubMed]
- Hu, Z.-B.; Feng, X.; Li, J.; Zhang, Y.-Q.; Yin, L.; Wang, Z.; Ouyang, Z.; Kurmoo, M.; Song, Y. Optimal diamagnetic dilution concentration for suppressing the dipole–dipole interaction in single-ion magnets. Dalton Trans. 2020, 49, 2159–2167. [Google Scholar] [CrossRef] [PubMed]
- Polyzou, C.D.; Koumousi, E.S.; Lada, Z.G.; Raptopoulou, C.P.; Psycharis, V.; Rouzieres, M.; Tsipis, A.C.; Mathoniere, C.; Clerac, R.; Perlepes, S.P. Switching on the single-molecule magnet properties within a series of dinuclear cobalt(III)-dysprosium(III) 2-pyridyloximate complexes. Dalton Trans. 2017, 46, 14812–14825. [Google Scholar] [CrossRef] [PubMed]
- Acharya, J.; Swain, A.; Chakraborty, A.; Kumar, V.; Kumar, P.; Gonzalez, J.F.; Cador, O.; Pointillart, F.; Rajaraman, G.; Chandrasekhar, V. Slow magnetic relaxation in dinuclear CoIIYIII complexes. Inorg. Chem. 2019, 58, 10725–10735. [Google Scholar] [CrossRef]
- Rigamonti, L.; Bridonneau, N.; Poneti, G.; Tesi, L.; Sorace, L.; Pinkowicz, D.; Jover, J.; Ruiz, E.; Sessoli, R.; Cornia, A. A Pseudo-Octahedral Cobalt(II) Complex with Bispyrazolylpyridine Ligands Acting as a Zero-Field Single-Molecule Magnet with Easy Axis Anisotropy. Chem. Eur. J. 2018, 24, 8857–8868. [Google Scholar] [CrossRef]
- Saber, M.R.; Singh, M.K.; Dunbar, K.R. Geometrical control of the magnetic anisotropy in six coordinate cobalt complexes. Chem. Commun. 2020, 56, 8492–8495. [Google Scholar] [CrossRef]
Publisher’s Note: MDPI stays neutral with regard to jurisdictional claims in published maps and institutional affiliations. |
© 2020 by the authors. Licensee MDPI, Basel, Switzerland. This article is an open access article distributed under the terms and conditions of the Creative Commons Attribution (CC BY) license (http://creativecommons.org/licenses/by/4.0/).




