The FFLO State in the Dimer Mott Organic Superconductor κ-(BEDT-TTF)2Cu[N(CN)2]Br
Abstract
:1. Introduction
2. Radiofrequency (rf) Penetration Depth Measurements
3. Results
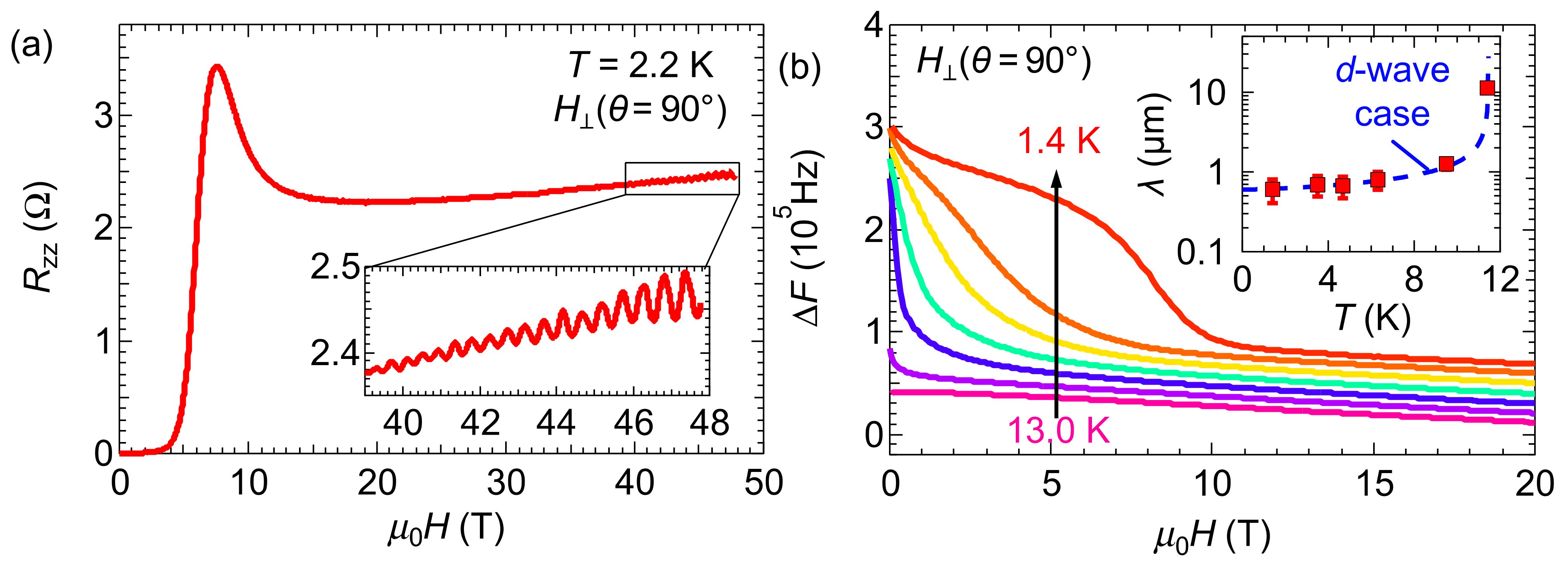
3.1. Characterization of the Measured Sample
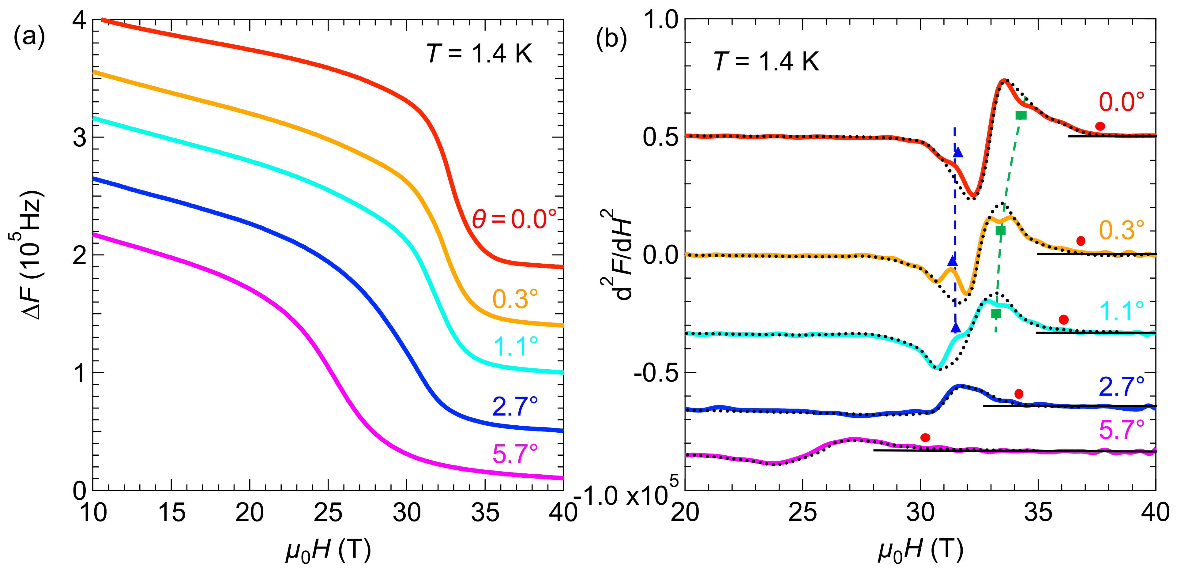
3.2. Magnetic-Field Dependence of ΔF and d2(ΔF)/dH2 in Nearly Parallel Fields
3.3. Temperature Dependence of ΔF and d2(IF)/dH2 in Perfectly Parallel Fields (θ = 0°)
4. Discussion
5. Conclusions
Author Contributions
Funding
Institutional Review Board Statement
Informed Consent Statement
Data Availability Statement
Acknowledgments
Conflicts of Interest
References
- Fulde, P.; Ferrell, R.A. Superconductivity in a strong spin exchange field. Phys. Rev. 1964, 135, A550. [Google Scholar] [CrossRef]
- Larkin, A.I.; Ovchinnikov, Y.N. Inhomogeneous state of superconductors. Sov. Phys. JETP 1965, 20, 762. [Google Scholar]
- Casalbuoni, R.; Nardulli, G. Inhomogeneous superconductivity in condensed matter and QCD. Rev. Mod. Phys. 2004, 76, 263. [Google Scholar] [CrossRef] [Green Version]
- Matsuda, Y.; Shimahara, H. Fulde-Ferrell-Larkin-Ovchinnikov state in heavy fermion superconductors. J. Phys. Soc. Jpn. 2007, 76, 051005. [Google Scholar] [CrossRef] [Green Version]
- Imajo, S.; Nomura, T.; Kohama, Y.; Kindo, K. Nematic response of the Fulde-Ferrell-Larkin-Ovchinnikov state. arXiv 2021, arXiv:2110.12774. [Google Scholar]
- Clogston, A.M. Upper limit for the critical field in hard superconductors. Phys. Rev. Lett. 1962, 9, 266–267. [Google Scholar] [CrossRef]
- Shimahara, H.; Rainer, D. Crossover from Vortex States to the Fulde-Ferrell-Larkin-Ovchinnikov State in Two-Dimensional s- and d-Wave Superconductors. J. Phys. Soc. Jpn. 1997, 66, 3591. [Google Scholar] [CrossRef]
- Shimahara, H. Transition from the vortex state to the Fulde–Ferrell–Larkin–Ovchinnikov state in quasi-two-dimensional superconductors. Phys. Rev. B 2009, 80, 214512. [Google Scholar] [CrossRef] [Green Version]
- Croitoru, M.D.; Buzdin, A.I. In Search of Unambiguous Evidence of the Fulde–Ferrell–Larkin–Ovchinnikov State in Quasi-Low Dimensional Superconductors. Condens. Matter 2017, 2, 30. [Google Scholar] [CrossRef] [Green Version]
- Aslamazov, L.G. Influence of impurities on the existence of an imhomogeneous state in a ferromagnetic superconductor. Sov. Phys. JETP 1969, 28, 773. [Google Scholar]
- Cui, Q.; Yang, K. Fulde-Ferrell-Larkin-Ovchinnikov state in disordered s-wave superconductors. Phys. Rev. B 2008, 78, 054501. [Google Scholar] [CrossRef] [Green Version]
- Vorontsov, A.B.; Vekhter, I.; Graf, M.J. Pauli-limited upper critical field in dirty d-wave superconductors. Phys. Rev. B 2008, 78, 180505. [Google Scholar] [CrossRef] [Green Version]
- Maki, K.; Tsuneto, T. Pauli Paramagnetism and Superconducting State. Prog. Theor. Phys. 1964, 31, 945. [Google Scholar] [CrossRef]
- Gruenberg, L.W.; Gunther, L. Fulde-Ferrell effect in type-II superconductors. Phys. Rev. Lett. 1966, 16, 996. [Google Scholar] [CrossRef]
- Wosnitza, J. Spatially Nonuniform Superconductivity in Quasi-Two-Dimensional Organic Charge-Transfer Salts. Crystals 2018, 8, 183. [Google Scholar] [CrossRef] [Green Version]
- Agosta, C.C. Inhomogeneous Superconductivity in Organic and Related Superconductors. Crystals 2018, 8, 285. [Google Scholar] [CrossRef] [Green Version]
- Kanoda, K. Metal-Insulator Transition in κ-(ET)2X and (DCNQI)2M: Two Contrasting Manifestation of Electron Correlation. J. Phys. Soc. Jpn. 2006, 75, 051007. [Google Scholar] [CrossRef]
- Nakazawa, Y.; Imajo, S.; Matsumura, Y.; Yamashita, S.; Akutsu, H. Thermodynamic Picture of Dimer-Mott Organic Superconductors Revealed by Heat Capacity Measurements with External and Chemical Pressure Control. Crystals 2018, 8, 143. [Google Scholar] [CrossRef] [Green Version]
- Taylor, O.J.; Carrington, A.; Schlueter, J.A. Specific-Heat Measurements of the Gap Structure of the Organic Superconductors κ-(ET)2Cu[N(CN)2]Br and κ-(ET)2Cu(NCS)2. Phys. Rev. Lett. 2007, 99, 057001. [Google Scholar] [CrossRef] [Green Version]
- Imajo, S.; Kindo, K.; Nakazawa, Y. Symmetry change of d-wave superconductivity in κ-type organic superconductors. Phys. Rev. B 2021, 103, L060508. [Google Scholar] [CrossRef]
- Imajo, S.; Nakazawa, Y.; Kindo, K. Superconducting Phase Diagram of the Organic Superconductor κ-(BEDT-TTF)2Cu[N(CN)2]Br above 30 T. J. Phys. Soc. Jpn. 2018, 87, 123704. [Google Scholar] [CrossRef]
- Lortz, R.; Wang, Y.; Demuer, A.; Bottger, P.H.M.; Bergk, B.; Zwicknagl, G.; Nakazawa, Y.; Wosnitza, J. Calorimetric Evidence for a Fulde-Ferrell-Larkin-Ovchinnikov Superconducting State in the Layered Organic Superconductor κ-(BEDT−TTF)2Cu(NCS)2. Phys. Rev. Lett. 2007, 99, 187002. [Google Scholar] [CrossRef] [Green Version]
- Agosta, C.C.; Jin, J.; Coniglio, W.A.; Smith, B.E.; Cho, K.; Stroe, I.; Martin, C.; Tozer, S.W.; Murphy, T.P.; Palm, E.C.; et al. Experimental and semiempirical method to determine the Pauli-limiting field in quasi-two-dimensional superconductors as applied to κ-(BEDT-TTF)2Cu(NCS)2: Strong evidence of a FFLO state. Phys. Rev. B 2012, 85, 214514. [Google Scholar] [CrossRef] [Green Version]
- Mayaffre, H.; Krämer, S.; Horvatić, M.; Berthier, C.; Miyagawa, K.; Kanoda, K.; Mitrović, V.F. Evidence of Andreev bound states as a hallmark of the FFLO phase in κ-(BEDT-TTF)2Cu(NCS)2. Nat. Phys. 2014, 10, 928. [Google Scholar] [CrossRef]
- Agosta, C.C.; Fortune, N.A.; Hannahs, S.T.; Gu, S.; Liang, L.; Park, J.; Schlueter, J.A. Calorimetric Measurements of Magnetic-Field-Induced Inhomogeneous Superconductivity Above the Paramagnetic Limit. Phys. Rev. Lett. 2017, 118, 267001. [Google Scholar] [CrossRef] [Green Version]
- Coniglio, W.A.; Winter, L.E.; Cho, K.; Agosta, C.C.; Fravel, B.; Montgomery, L.K. Superconducting phase diagram and FFLO signature in λ-(BETS)2GaCl4 from rf penetration depth measurements. Phys. Rev. B 2011, 83, 224507. [Google Scholar] [CrossRef] [Green Version]
- Cho, K.; Smith, B.E.; Coniglio, W.A.; Winter, L.E.; Agosta, C.C.; Schlueter, J.A. Upper critical field in the organic superconductor β”-(ET)2SF5CH2CF2SO3: Possibility of Fulde-Ferrell-Larkin-Ovchinnikov state. Phys. Rev. B 2009, 79, 220507. [Google Scholar] [CrossRef] [Green Version]
- Imajo, S.; Sugiura, S.; Akutsu, H.; Kohama, Y.; Isono, T.; Terashima, T.; Kindo, K.; Uji, S.; Nakazawa, Y. Extraordinary π-electron superconductivity emerging from a quantum spin liquid. Phys. Rev. Res. 2021, 3, 033026. [Google Scholar] [CrossRef]
- Zuo, F.; Schlueter, J.A.; Kelly, M.E.; Williams, J.M. Mixed-state magnetoresistance in organic superconductors κ-(BEDT-TTF)2Cu(NCS)2. Phys. Rev. B 1996, 54, 11973. [Google Scholar] [CrossRef]
- Zuo, F.; Schlueter, J.A.; Williams, J.M. Interlayer magnetoresistance in the organic superconductor κ-(BEDT−TTF)2Cu[N(CN)2]Br near the superconducting. Phys. Rev. B 1999, 60, 574. [Google Scholar] [CrossRef]
- Mielke, C.H.; Harrison, N.; Rickel, D.G.; Lacerda, A.H.; Vestal, R.M.; Montgomery, L.K. Fermi-surface topology of κ-(BEDT−TTF)2Cu[N(CN)2]Br at ambient pressure. Phys. Rev. B 1997, 56, R4309. [Google Scholar] [CrossRef]
- Ito, H.; Watanabe, M.; Nogami, Y.; Ishiguro, T.; Komatsu, T.; Saito, G.; Hosoito, N. Magnetic Determination of Ginzburg-Landau Coherence Length for Organic Superconductor κ-(BEDT-TTF)2X (X=Cu(NCS)2,Cu[N(CN)2]Br): Effect of Isotope Substitution. J. Phys. Soc. Jpn. 1991, 60, 3230. [Google Scholar] [CrossRef]
- Kim, H.; Kogan, V.G.; Cho, K.; Tanatar, M.A.; Prozorov, R. Rutgers relation for the analysis of superfluid density in superconductors. Phys. Rev. B 2013, 87, 214518. [Google Scholar] [CrossRef] [Green Version]
- Kovalev, A.E.; Ishiguro, T.; Kondo, T.; Saito, G. Specific heat of organic superconductor κ-(BEDT-TTF)2Cu[N(CN)2]Br under a magnetic field parallel to the conducting plane. Phys. Rev. B 2000, 62, 103. [Google Scholar] [CrossRef]
- Yoneyama, N.; Higashihara, A.; Sasaki, T.; Nojima, T.; Kobayashi, N. Impurity Effect on the In-plane Penetration Depth of the Organic Superconductors κ-(BEDT-TTF)2X (X = Cu(NCS)2 and Cu[N(CN)2]Br). J. Phys. Soc. Jpn. 2004, 73, 1290. [Google Scholar] [CrossRef] [Green Version]
- Lang, M.; Toyota, N.; Sasaki, T.; Sato, H. Magnetic penetration depth of κ-(BEDT-TTF)2Cu[N(CN)2]Br, determined from the reversible magnetization. Phys. Rev. B 1992, 46, 5822. [Google Scholar] [CrossRef]
- Wakamatsu, K.; Miyagawa, K.; Kanoda, K. Superfluid density versus transition temperature in a layered organic superconductor κ-(BEDT-TTF)2Cu[N(CN)2]Br under pressure. Phys. Rev. Res. 2020, 2, 043008. [Google Scholar] [CrossRef]
- Prozorov, R.; Giannetta, R.W. Magnetic penetration depth in unconventional superconductors. Supercond. Sci. Technol. 2006, 19, R41. [Google Scholar] [CrossRef] [Green Version]
- Imajo, S.; Kobayashi, T.; Kawamoto, A.; Kindo, K.; Nakazawa, Y. Thermodynamic evidence for the formation of a Fulde-Ferrell-Larkin-Ovchinnikov phase in the organic superconductor λ-(BETS)2GaCl4. Phys. Rev. B 2021, 103, L220501. [Google Scholar] [CrossRef]
- Sugiura, S.; Isono, T.; Terashima, T.; Yasuzuka, S.; Schlueter, J.A.; Uji, S. Fulde–Ferrell–Larkin–Ovchinnikov and vortex phases in a layered organic superconductor. NPJ Quantum Mater. 2018, 4, 7. [Google Scholar] [CrossRef]
- Sugiura, S.; Terashima, T.; Uji, S.; Yasuzuka, S.; Schlueter, J.A. Josephson vortex dynamics and Fulde-Ferrell-Larkin-Ovchinnikov superconductivity in the layered organic superconductor β”-(BEDT-TTF)2SF5CH2CF2SO3. Phys. Rev. B 2019, 100, 014515. [Google Scholar] [CrossRef]
- McKenzie, R.H. Wilson’s ratio and the spin splitting of magnetic oscillations in quasi-two-dimensional metals. arXiv 1999, arXiv:9905044. [Google Scholar]
- Uji, S.; Terashima, T.; Nishimura, M.; Takahide, Y.; Konoike, T.; Enomoto, K.; Cui, H.; Kobayashi, H.; Kobayashi, A.; Tanaka, H.; et al. Vortex Dynamics and the Fulde- Ferrell-Larkin-Ovchinnikov State in a Magnetic-Field-Induced Organic Superconductor. Phys. Rev. Lett. 2006, 97, 157001. [Google Scholar] [CrossRef] [PubMed]
- Beyer, R.; Bergk, B.; Yasin, S.; Schlueter, J.A.; Wosnitza, J. Angle-Dependent Evolution of the Fulde-Ferrell-Larkin-Ovchinnikov State in an Organic Superconductor. Phys. Rev. Lett. 2012, 109, 027003. [Google Scholar] [CrossRef] [Green Version]
- Uji, S.; Iida, Y.; Sugiura, S.; Isono, T.; Sugii, K.; Kikugawa, N.; Terashima, T.; Yasuzuka, S.; Akutsu, H.; Nakazawa, Y.; et al. Fulde-Ferrell-Larkin-Ovchinnikov superconductivity in the layered organic superconductor β”-(BEDT-TTF)4[(H3O)Ga(C2O4)3]C6H5NO2. Phys. Rev. B 2018, 97, 144505. [Google Scholar] [CrossRef] [Green Version]
- Mielke, C.; Singleton, J.; Nam, M.-S.; Harrison, N.; Agosta, C.C.; Fravel, B.; Montgomery, L.K. Superconducting properties and Fermi-surface topology of the quasi-two-dimensional organic superconductor λ-(BETS)2GaCl4 (BETS≡bis(ethylene-dithio)tetraselenafulvalene). J. Phys. Condens. Matter 2001, 13, 8325. [Google Scholar] [CrossRef]
- Yasuzuka, S.; Uji, S.; Terashima, T.; Sugii, K.; Isono, T.; Iida, Y.; Schlueter, J.A. In-Plane Anisotropy of Upper Critical Field and Flux-Flow Resistivity in Layered Organic Superconductor β”-(ET)2SF5CH2CF2SO3. J. Phys. Soc. Jpn. 2015, 84, 094709. [Google Scholar] [CrossRef]
- Imajo, S.; Akutsu, H.; Kurihara, R.; Yajima, T.; Kohama, Y.; Tokunaga, M.; Kindo, K.; Nakazawa, Y. Anisotropic Fully Gapped Superconductivity Possibly Mediated by Charge Fluctuations in a Nondimeric Organic Complex. Phys. Rev. Lett. 2020, 125, 177002. [Google Scholar] [CrossRef]
- Aizawa, H.; Kuroki, K.; Tanaka, Y. Pairing Competition in a Quasi-One-Dimensional Model of Organic Superconductors (TMTSF)2X in Magnetic Field. J. Phys. Soc. Jpn. 2009, 78, 124711. [Google Scholar] [CrossRef] [Green Version]
- Yonezawa, S.; Maeno, Y.; Bechgaard, K.; Jérome, D. Nodal superconducting order parameter and thermodynamic phase diagram of (TMTSF)2ClO4. Phys. Rev. B 2012, 85, 140502. [Google Scholar] [CrossRef] [Green Version]
- Yonezawa, S.; Kusaba, S.; Maeno, Y.; Auban-Senzier, P.; Pasquier, C.; Bechgaard, K.; Jérome, D. Anomalous In-Plane Anisotropy of the Onset of Superconductivity in (TMTSF)2ClO4. Phys. Rev. Lett. 2008, 100, 117002. [Google Scholar] [CrossRef] [PubMed] [Green Version]
- Croitoru, M.D.; Buzdin, A.I. Resonance in-plane magnetic field effect as a means to reveal the Fulde-Ferrell-Larkin-Ovchinnikov state in layered superconductors. Phys. Rev. B 2012, 86, 064507. [Google Scholar] [CrossRef] [Green Version]
- Weiss, H.; Kartsovnik, M.V.; Biberacher, W.; Balthes, E.; Jansen, A.G.M.; Kushch, N.D. Angle-dependent magnetoquantum oscillations in κ−(BEDT−TTF)2Cu[N(CN)2]Br. Phys. Rev. B 1999, 60, R16259. [Google Scholar] [CrossRef]
- Imajo, S.; Dong, C.; Matsuo, A.; Kindo, K.; Kohama, Y. High-resolution calorimetry in pulsed magnetic fields. Rev. Sci. Instrum. 2021, 92, 043901. [Google Scholar] [CrossRef] [PubMed]
- Wosnitza, J.; Crabtree, G.W.; Wang, H.H.; Geiser, U.; Williams, J.M.; Carlson, K.D. de Haas–van Alphen studies of the organic superconductors α-(ET)2(NH4)Hg(SCN)4 and κ-(ET)2Cu(NCS)2 [with ET = bis(ethelenedithio)-tetrathiafulvalene]. Phys. Rev. B 1992, 45, 3018. [Google Scholar] [CrossRef]
- Tanatar, M.A.; Ishiguro, T.; Tanaka, H.; Kobayashi, H. Magnetic field–temperature phase diagram of the quasi-two-dimensional organic superconductor λ-(BETS)2GaCl4 studied via thermal conductivity. Phys. Rev. B 2002, 66, 134503. [Google Scholar] [CrossRef] [Green Version]
- Imajo, S.; Kanda, N.; Yamashita, S.; Akutsu, H.; Nakazawa, Y.; Kumagai, H.; Kobayashi, T.; Kawamoto, A. Thermodynamic Evidence of d-Wave Superconductivity of the Organic Superconductor λ-(BETS)2GaCl4. J. Phys. Soc. Jpn. 2016, 85, 043705. [Google Scholar] [CrossRef]
- Imajo, S.; Yamashita, S.; Akutsu, H.; Kumagai, H.; Kobayashi, T.; Kawamoto, A.; Nakazawa, Y. Gap Symmetry of the Organic Superconductor λ-(BETS)2GaCl4 Determined by Magnetic-Field-Angle-Resolved Heat Capacity. J. Phys. Soc. Jpn. 2019, 88, 023702. [Google Scholar] [CrossRef]
- Koutroulakis, G.; Kühne, H.; Schlueter, J.A.; Wosnitza, J.; Brown, S.E. Microscopic Study of the Fulde-Ferrell-Larkin- Ovchinnikov State in an All-Organic Superconductor. Phys. Rev. Lett. 2016, 116, 067003. [Google Scholar] [CrossRef]
- Beckmann, D.; Wanka, S.; Wosnitza, J.; Schlueter, J.A.; Williams, J.M.; Nixon, P.G.; Winter, R.W.; Gard, G.L.; Ren, J.; Whangbo, M.-H. Characterization of the Fermi surface of the organic superconductor β”-(ET)2SF5CH2CF2SO3 by measurements of Shubnikov-de Haas and angle-dependent magnetoresistance oscillations and by electronic band-structure calculations. Eur. Phys. J. B 1998, 1, 295. [Google Scholar] [CrossRef]
- Wanka, S.; Hagel, J.; Beckmann, D.; Wosnitza, J.; Schlueter, J.A.; Williams, J.M.; Nixon, P.G.; Winter, R.W.; Gard, G.L. Specific heat and critical fields of the organic superconductor β”−(BEDT−TTF)2SF5CH2CF2SO3. Phys. Rev. B 1998, 57, 3084. [Google Scholar] [CrossRef] [Green Version]
- Bangura, A.F.; Coldea, A.I.; Singleton, J.; Ardavan, A.; Akutsu-Sato, A.; Akutsu, H.; Turner, S.S.; Day, P.; Yamamoto, T.; Yakushi, K. Robust superconducting state in the low-quasiparticle-density organic metals β”−(BEDT−TTF)4[(H3O)M(C2O4)3]∙Y: Superconductivity due to proximity to a charge-ordered state. Phys. Rev. B 2005, 72, 014543. [Google Scholar] [CrossRef] [Green Version]





| Material | Tc (K) | g*/g | α | HP (T) | HFFLO (T) | Refs. |
|---|---|---|---|---|---|---|
| κ-Br | 11.7 | 1.3 | 3.3 | 31 | 31–32 | [17,19,20,21,42,53,54] |
| κ-NCS | 9.0 | 1.3 | 2.9 | 21 | 21–22 | [17,19,22,23,24,25,42,55] |
| λ-GaCl4 | 4.7 | 1.0 | 2.1 | 10 | 9–10 | [26,39,46,56,57,58] |
| Β″-SF5 | 4.3 | 1.0 | 2.1 | 9.5 | 9–10 | [27,40,41,44,59,60,61] |
| β″-GaPhNO2 | 4.8 | 0.8 | 2.5 | 16 | 16 | [45,48,62] |
Publisher’s Note: MDPI stays neutral with regard to jurisdictional claims in published maps and institutional affiliations. |
© 2021 by the authors. Licensee MDPI, Basel, Switzerland. This article is an open access article distributed under the terms and conditions of the Creative Commons Attribution (CC BY) license (https://creativecommons.org/licenses/by/4.0/).
Share and Cite
Imajo, S.; Kindo, K. The FFLO State in the Dimer Mott Organic Superconductor κ-(BEDT-TTF)2Cu[N(CN)2]Br. Crystals 2021, 11, 1358. https://doi.org/10.3390/cryst11111358
Imajo S, Kindo K. The FFLO State in the Dimer Mott Organic Superconductor κ-(BEDT-TTF)2Cu[N(CN)2]Br. Crystals. 2021; 11(11):1358. https://doi.org/10.3390/cryst11111358
Chicago/Turabian StyleImajo, Shusaku, and Koichi Kindo. 2021. "The FFLO State in the Dimer Mott Organic Superconductor κ-(BEDT-TTF)2Cu[N(CN)2]Br" Crystals 11, no. 11: 1358. https://doi.org/10.3390/cryst11111358
APA StyleImajo, S., & Kindo, K. (2021). The FFLO State in the Dimer Mott Organic Superconductor κ-(BEDT-TTF)2Cu[N(CN)2]Br. Crystals, 11(11), 1358. https://doi.org/10.3390/cryst11111358

