Tunable Low Frequency Band Gap and Waveguide of Phononic Crystal Plates with Different Filling Ratio
Abstract
:1. Introduction
2. The Features of HPFC
3. Influence of Structural Parameters
3.1. Influence of Hollow Radius
3.2. Influence of Plate Thickness
3.3. Influence of Pillar Height Ratio
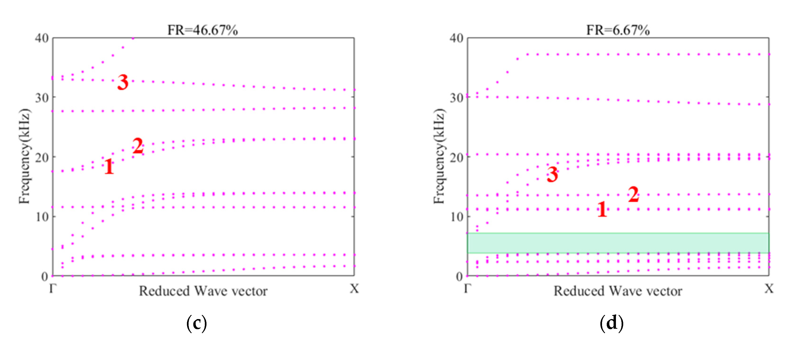
3.4. Influence of Filling Ratio
3.5. Influence of Composite Parameters
4. Multiplexing Design Based on FR Variation
4.1. Multichannel Resonator Multiplexer
4.2. Single-Channel Resonator Multiplexer
4.3. Compact Multiplexer Based on Linear Cavity
5. Discussion
- The proposed composite structure (HPFC) could guide and filter the sound waves. It may expand the sonic band gap in lower frequencies and realize the waveguide function, validated by the observed three dispersion branches. Compared to other lattices, the oppositely arranged three-layer pillar and hollow stub make it a potential solution for vehicle NVH problems;
- By introducing the concept of FR into the PCs model description, it helps us to understand how the relationship between the components affects the sonic performances with a similar structure. The frequency of these branches decreases with the reduction in FR. It is interesting that the dispersion branches are mostly flat when FR = 46.67%. When FR = 6.67%, the width of the low frequency band gap is largest. Therefore, when we design a real plate used in vehicles, we may set the structure optimization boundary according these two percentages.
- The effects of other structural parameters on the dispersion curves of the HPFC are discussed in three aspects: the radius of the central hole(ri), the thickness of the plate(e), and the ratio of the height of the stub(HR). When ri = 0.25a, the new dispersion branch is flatter than ri = 0.145a (the original model). The effect of plate thickness on flatness of dispersion curve and width of the band gap is small. Compared with HR = 4/3 (the original model), the stub height ratio HR = 1 produces a straight branch at the locally resonant frequency band gap and the band gap width is larger; it is interesting that there are similar two distinguished zones I and II. The reason is still not clear and need further study.
- The structural parameters that affect the width of the low frequency band gap and the intermediate frequency value of the band gap are discussed. When HR = 4/3, FR = 6.67%, ΔT = 3.3540, T = 5.5230 kHz. When HR = 2, FR = 6.67%, ΔT = 1.4570, T = 3.7615 kHz. With the same filling ratio, the height ratios show a negative relationship with both the width and the geometric median value of the band gaps.
- The created three array show different transmission feature for sounds. If we design a control mechanism and actuator properly, we could realize the real time and patterns switchable solution for vehicle noises. This makes the on-vehicle noise control system more flexible for variable driving conditions.
Supplementary Materials
Author Contributions
Funding
Institutional Review Board Statement
Informed Consent Statement
Data Availability Statement
Conflicts of Interest
References
- Hussein, M.I.; Leamy, M.J.; Ruzzene, M. Dynamics of Phononic Materials and Structures: Historical Origins, Recent Progress, and Future Outlook. Appl. Mech. Rev. 2014, 66, 040802. [Google Scholar] [CrossRef]
- Sigalas, M.; Economou, E.N. Band structure of elastic waves in two dimensional systems. Solid State Commun. 1993, 86, 141–143. [Google Scholar] [CrossRef]
- Yan, P.; Jerome, V.; Bahram, D.R. Two-dimensional phononic crystals: Examples and applications. Surf. Sci. Rep. 2010, 65, 229–291. [Google Scholar]
- Zhang, H.B.; Liu, B.L.; Zhang, X.L.; Wu, Q.Q.; Wang, X.G. Zone folding induced tunable topological interface states in one-dimensional phononic crystal plates. Phys. Lett. A 2019, 383, 2797–2801. [Google Scholar] [CrossRef]
- Oudich, M.; Li, Y.; Assouar, B.M. A sonic band gap based on the locally resonant phononic plates with stubs. New J. Phys. 2010, 12, 083049. [Google Scholar] [CrossRef]
- Jin, Y.; Femez, N.; Pennec, Y.; Bonello, B.; Moiseyenko, R.P.; Hemon, S.; Pan, Y.D.; Djafari-Rouhani, B. Tunable waveguide and cavity in a phononic crystal plate by controlling whispering-gallery modes in hollow pillars. Phys. Rev. B 2016, 93, 054109. [Google Scholar] [CrossRef] [Green Version]
- Assouar, M.B.; Oudich, M. Enlargement of a locally resonant sonic band gap by using double-sides stubbed phononic plates. Appl. Phys. Lett. 2012, 100, 123506–123509. [Google Scholar]
- Khelif, A.; Choujaa, A.; Benchabane, S.; Djafari-Rouhani, B. Guiding and bending of acoustic waves in highly confined phononic crystal waveguides. Appl. Phys. Lett. 2004, 84, 4400–4402. [Google Scholar] [CrossRef]
- Wu, T.T.; Sun, J.H. Propagation of acoustic waves in phononic-crystal plates and waveguides using a finite-difference time-domain method. Phys. Rev. B 2007, 76, 104304. [Google Scholar]
- Jin, Y.; Pennec, Y.; Pan, Y.D.; Djafari-Rouhani, B. Phononic Crystal Plate with Hollow Pillars Actively Controlled by Fluid Filling. Crystals 2016, 6, 64. [Google Scholar] [CrossRef] [Green Version]
- Babak, R.D.; Monhammad Kazem, M.F.; Fakhroddin, N. Acoustic add-drop filters based on phononic crystal ring resonators. Phys. Rev. B 2016, 93, 041304. [Google Scholar]
- Pennec, Y.; Djafari-Rouhani, B.; Vasseur, J.O.; Deymier, P.A. Tunable filtering and demultiplexing in phononic crystals with hollow cylinders. Phys. Rev. E 2004, 69, 046608. [Google Scholar] [CrossRef] [Green Version]
- Amoudache, S.; Yan, P.; Antoine, K.; Rachid, T. Simultaneous sensing of light and sound velocities of fluids in a two-dimensional phoXonic crystal with defects. J. Appl. Phys. 2014, 115, 283–291. [Google Scholar] [CrossRef]
- Jin, Y.; Torrent, D.; Pan, Y.D.; Djafari-Rouhani, B. Gradient Index Devices for the Full Control of Elastic Waves in Plates. Sci. Rep. 2016, 6, 24437. [Google Scholar] [CrossRef] [Green Version]
- Yang, S.X.; Page, J.H.; Liu, Z.Y.; Cowan, M.L.; Chan, C.T.; Sheng, P. Focusing of Sound in a 3D Phononic Crystal. Phys. Rev. Lett. 2004, 93, 024301. [Google Scholar] [CrossRef] [Green Version]
- Pennec, Y.; Rouhani, B.D.; Vasseur, J.O.; Akjouj, A.; Thabet, G.; Gillet, J.N.; Larabi, H. Phonon transport and waveguiding in a phononic crystal made up of cylindrical dots on a thin homogeneous plate. Phys. Rev. B 2009, 80, 144302. [Google Scholar] [CrossRef]
- Wu, T.T.; Tsai, T.T.; Huang, Z.G.; Wu, T.C. Evidence of complete band gap and resonances in a plate with periodic stubbed surface. Appl. Phys. Lett. 2008, 93, 11902. [Google Scholar] [CrossRef]
- Lv, H.; Li, S.; Huang, X.; Yu, Z. Band-Gap Properties of Finite Locally Resonant Beam Suspended Periodically with Two-Degree-of-Freedom Force Type Resonators. Crystals 2021, 11, 716. [Google Scholar] [CrossRef]
- Graczykowski, B.; Sledzinska, M.; Alzina, F.; Gomis-Bresco, J.; Reparaz, J.S.; Wagner, M.R.; Sotomayor Torres, C.M. Phonon dispersion in hypersonic two-dimensional phononic crystal membranes. Phys. Rev. B 2015, 91, 75414. [Google Scholar] [CrossRef] [Green Version]
- Liang, X.; Wang, T.; Jiang, X.; Liu, Z.; Ruan, Y.; Deng, Y. A Numerical Method for Flexural Vibration Band Gaps in A Phononic Crystal Beam with Locally Resonant Oscillators. Crystals 2019, 9, 293. [Google Scholar] [CrossRef] [Green Version]
- Hsu, J.C. Local resonances-induced low-frequency band gaps in two-dimensional phononic crystal slabs with periodic stepped resonators. J. Phys. D Appl. Phy. 2011, 44, 055401. [Google Scholar] [CrossRef]
- Khelif, A.; Mohammadi, S.; Eftekhar, A.A.; Adibi, A.; Aoubiza, B. Acoustic confinement and waveguiding with a line-defect structure in phononic crystal slabs. J. Appl. Phys. 2010, 108, 084515. [Google Scholar] [CrossRef]
- Oudich, M.; Senesi, M.; Assouar, M.B.; Ruzenne, M.; Sun, J.H.; Vincent, B.; Hou, Z.L.; Wu, T.T. Experimental evidence of locally resonant sonic band gap in two-dimensional phononic stubbed plates. Phys. Rev. B 2011, 84, 667–673. [Google Scholar] [CrossRef]















| ρ (kg/m3) | E (GPa) | μ | |
|---|---|---|---|
| Silicone rubber | 1300 | 2.15 | 0.4998 |
| Lead | 11,344 | 10.73 | 0.46 |
| Aluminum | 2702 | 70 | 0.33 |
| Factor 1 | Factor 2 | ΔT (kHz) | T (kHz) |
|---|---|---|---|
| HR = 4/3 | FR = 6.67% | 3.3540 | 5.5230 |
| FR = 46.67% | 0.9480 | 4.0520 | |
| FR = 100% | 2.4530 | 4.9445 | |
| HR = 2 | FR = 6.67% | 2.0490 | 3.8835 |
| FR = 46.67% | 1.9600 | 8.4660 | |
| FR = 100% | 1.4570 | 3.7615 |
Publisher’s Note: MDPI stays neutral with regard to jurisdictional claims in published maps and institutional affiliations. |
© 2021 by the authors. Licensee MDPI, Basel, Switzerland. This article is an open access article distributed under the terms and conditions of the Creative Commons Attribution (CC BY) license (https://creativecommons.org/licenses/by/4.0/).
Share and Cite
Zhang, S.; Liu, J.; Zhang, H.; Wang, S. Tunable Low Frequency Band Gap and Waveguide of Phononic Crystal Plates with Different Filling Ratio. Crystals 2021, 11, 828. https://doi.org/10.3390/cryst11070828
Zhang S, Liu J, Zhang H, Wang S. Tunable Low Frequency Band Gap and Waveguide of Phononic Crystal Plates with Different Filling Ratio. Crystals. 2021; 11(7):828. https://doi.org/10.3390/cryst11070828
Chicago/Turabian StyleZhang, Shaobo, Jiang Liu, Hongbo Zhang, and Shuliang Wang. 2021. "Tunable Low Frequency Band Gap and Waveguide of Phononic Crystal Plates with Different Filling Ratio" Crystals 11, no. 7: 828. https://doi.org/10.3390/cryst11070828
APA StyleZhang, S., Liu, J., Zhang, H., & Wang, S. (2021). Tunable Low Frequency Band Gap and Waveguide of Phononic Crystal Plates with Different Filling Ratio. Crystals, 11(7), 828. https://doi.org/10.3390/cryst11070828

