Abstract
High-pressure synchrotron X-ray diffraction was carried out on a single crystal of mascagnite, compressed in a diamond anvil cell. The sample maintained its crystal structure up to ~18 GPa. The volume–pressure data were fitted by a third-order Birch–Murnaghan equation of state (BM3-EOS) yielding K0 = 20.4(7) GPa, K’0 = 6.1(2), and V0 = 499(1) Å3, as suggested by the F-f plot. The axial compressibilities, calculated with BM3-EOS, were K0a = 35(3), K’0a = 7.7(7), K0b = 10(3), K’0b = 7(1), K0c = 25(1), and K’0c = 4.3(2) The axial moduli measured using a BM2-EOS and fixing K’0 equal to 4, were K0a = 52(2), K0b = 20 (1), and K0c = 29.6(4) GPa, and the anisotropic ratio of K0a:K0b:K0c = 1:0.4:0.5. The evolution of crystal lattice and geometrical parameters indicated no phase transition until 17.6 GPa. Sulphate polyhedra were incompressible and the density increase of 30% compared to investigated pressure should be attributed to the reduction of weaker hydrogen bonds. In contrast, some of them, directed along [100], were very short at room temperature, below 2 Å, and showed a very low compressibility. This configuration explains the anisotropic compressional behavior and the lowest compressibility of the a axis.
1. Introduction
Mascagnite (NH4)2SO4 is a rare ammonium sulfate mineral occurring in active volcanic fumaroles (e.g., at Mount Vesuvius, Italy), hot springs, or burning coal mine dumps. It is soft (~2.5 on Mohs Scale), water soluble, and fertilizing. Its crystal structure was described by Schlemper and Hamilton [1] in the orthorombic space group Pnam with a = 7.782, b = 10.636 and c = 5.993 A, V = 496.037 Å3, and density equal to 17,695 g/cm3. With their pioneering paper, using neutron diffraction data, they showed the (NH4)2SO4 structure is comprised of an isolated sulfate and ammonium tetrahedra connected with a complex hydrogen bond system (Figure 1). They found two groups of hydrogen bonds between the H atoms of ammonium groups and the oxygens of SO4 tetrahedra: one with very short distances, under 2 Å, reported in red in Figure 1, and the second group with longer homologue H…O distances, reported with dotted segments in the same figure. They proved that (NH4)2SO4 undergoes a first-order phase transition at Tc = 223 K without changing the number of formula unit Z = 4. Below the Tc, the mirror plane perpendicular to the c axis and the center of inversion disappear, the space group becomes Pna21, and the unit cell parameters become a = 7.783, b = 10.61, and c = 5.967 Å. The transition produces less distorted ammonium groups and a reduction in the average O-H distances, with six O-H distances at low temperature below 2 Å, whereas there were only two in the room temperature phase. Overall, there is a strengthening of the hydrogen bonds and a reorientation of the ammonium groups. The phase transition involves a change in the electric properties of the mineral. At room temperature, mascagnite has a paraelectric behavior, whereas at low temperature it has a ferroelectric behavior. The transition was studied by Iqbal and Christoe [2] using Raman scattering. The analyzed transition has both order-disorder and displacive characteristics [3]. In addition, Iqbal and Christoe [2] showed that by decreasing temperature until the transition, not only the order-disorder of the NH4+ group appears, but a decrease in the librations of the SO4 ion coupled with a subtle distortion of the polyhedra through the enhancing hydrogen bond are also evident. Recently, Malec et al. [4] studied the H-bond dynamic in mascagnite and confirmed the intermediate character between a displacive and an order-disorder phase transition. Using 14N NMR spectra collected around 223 °C, Lim [5] showed that the phase transition was caused by the change of the 14N environment in the NH4+ groups, i.e., the temperature affects the degree of distortion of the tetrahedral H-N group, rather than the SO4 group. In one type of ammonium group, NH4(1), N-H decreases from 1.075 to 1.053 Å, whereas in NH4(2), N-H decreases from 1.062 to 1.048 Å. Mikhaleva [6] showed the effect of temperature and pressure on thermodynamic parameters and the hysteresis at the ferroelectric phase transition.
Figure 1.
(a) Crystal structure of mascagnite projected along (a) [001], (b) [010], (c) [100]. The red segments indicate the H-O distances below 2 Å, whereas the dotted segments indicate the H-O distances above 2 Å.
Malec et al. [7] minutely described the mechanism of structural change from the para- to the ferroelectric phase of mascagnite for the development of new ferroelectric materials and their possible application as a new generation of electromechanical and optical devices. Significant interest has been paid in those materials in which changes in the hydrogen-bond system are crucial for the appearance of ferroelectric properties. Via the collection of structural data up to 163 K, Malec et al. [7] clarified the mechanism of the phase transitions, showing that it is strongly related to changes in the hydrogen-bond system. At 480 K a phase transition in electrical conductivity of the ammonium sulfate was found [8], but the crystal structural variation was not fully characterized.
Because ammonia is an important precursor to prebiotic chemistry, including in the formation of amino acids and a cascade of other biological chemicals of interest, mascagnite, as an ammonium mineral, has a strong impact on planetology [9,10]. Ammonia is expected to be one of the major constituents of giant planets in the solar system. For example, Neptune is thought to have a layered structure with a hot ice layer (a dense fluid with a C-H-O-N composition) localized between a rocky core and the gaseous atmosphere [11]. NASA’s New Horizons space mission has found evidence of ammonia on the surface of Pluto, and it is unknown how this ammonia can survive on the surface of Pluto for such a long period without being destroyed by ultraviolet light, cosmic rays, or other radiation [12]. It has been hypothesized that ammonia comes from an underground ocean, which erupts ammonia-containing water toward the cold surface in a form of cryo-vulcanism. Ammonia not only allows the water to be liquid at cold temperatures (up to 176 K) [13] but it also is a further support to the hypothesis of an ocean under the cold crust of Pluto [14]. Moreover, Cook et al. [15] found a good fit to the shape and position of the ammonium band in both Nix and Hydra observed with New Horizons, together with H2O ice in the crystalline phase.
Moreover, the nitrogen cycle inside and outside the Earth’s mantle and its retention mechanisms within the solid planets have been of considerable interest. The N degassing from the Earth mantle can be monitored using 15N isotope from volcanic gasses, and magmatic rocks, but the nitrogen stored in the mantle is much more difficult to quantify. Vennari et al. [16], who investigated the high-pressure behavior of buddingtonite, an ammonium feldspar, showed how the ammonium behaves within minerals in relation to pressure, how this is relevant to understand the stabilization of ammonium in the high-pressure environments on Earth or other planets, and how the nitrogen can be recycled in planet interiors. Despite a large number of scientific cases concerning the engineering of new technological materials, and terrestrial and planetary environments, this system has been barely explored. To the best of our knowledge, the present paper represents the first study on the high-pressure structure behavior of mascagnite, including an investigation of its compressibility at ambient temperature. By collecting structural data at different pressures using single crystal X-ray synchrotron diffraction measurements, the Equation of State (EoS), the density changes and the evolution of the crystal structure with pressure were determined. A comparison with the changes observed at low temperatures was made to understand whether the phase transition, with the change in the electrical characteristics, occurs at high pressure (HP).
2. Materials and Methods
HP-synchrotron X-ray single-crystal diffraction experiments were performed at the Extreme Conditions Beamline P02.2 at PETRA-III/DESY, Hamburg, Germany, using an incident beam with an energy of 42.7 keV and a focusing spot of ~8.5 (H) μm 1.8 (V) μm, from a compound refractive lens system consisting of 111 Be lenses with a radius of 50 lm (400 lm beam acceptance) and a focal length of 1221 mm. Several single crystals of mascagnite were tested prior to the compression experiment to assess the degree of crystallinity and the quality of each sample. The highest quality sample, having approximate dimensions of 50 × 40 × 20 μm3, was loaded in a symmetric DAC, equipped with Boehler Almax design diamonds and seats [17] with 70° opening angles and culets having a size of 300 μm. A 250 μm thick rhenium gasket was squeezed between the two diamond anvils to achieve a final thickness of ~70 μm. The sample chamber was then obtained by laser drilling a hole having a diameter of 200 μm in the center of the indented area. A ruby sphere was loaded together with the selected mascagnite crystal in the sample chamber and served as the pressure calibrant. Pre-compressed neon gas was loaded in the sample chamber at 1.4 kbar using the gas loading system installed at PETRA-III and served as a quasi-hydrostatic pressure transmitting medium.
Diffraction images were acquired on a Perkin Elmer (Wiesbaden, Germany) XRD 1621 flat panel detector. The sample to detector distance (402.34 mm) and detector parameters were calibrated using a CeO2 standard (NIST 674 a) and a natural enstatite single crystal, respectively.
At each pressure, X-ray step scans were collected upon continuous rotation of the DAC between +30 X° and −28 Y° in ω, with steps of 0.5° and an exposure time of 2 Ns. The CrysAlis package [18] was then used to search and index Bragg peaks, integrate intensities, correct them for Lorentz-polarization effects, and apply empirical absorption correction based on spherical harmonics. The structure refinements were carried out with ShelXle [19] starting from the atomic coordinates of the non-hydrogen atoms from Schlemper and Hamilton [1]. Crystal structures were plotted using CrystalMaker software [20]. Scattering curves for neutral atoms were used. Excellent quality of the data allowed anisotropic refinements for all non-H atoms. The limited data completeness due to the geometry of the diamond anvil cell made it difficult to determine the hydrogen positions under high pressure conditions. Thus, they were not refined. However, the present data enabled the description of the main structural features and their evolution, in addition to an explanation of the anisotropic compression observed in the lattice parameters. Table 1 reports experimental and refinement details at different pressures, and Table 2 shows the fractional coordinates for all non-H atoms at different pressures with the equivalent thermal factors, Ueq. All of the crystal structure and hkl data are available as Supplementary Materials.
Table 1.
Data collection details and refinement parameters of (NH4)2SO4 at different pressures.
Table 2.
Atomic coordinates and Ueq for all non-H-atoms (Å2) of (NH4)2SO4 at different pressures. P values are given in Table 1.
3. Results
3.1. Compressibility
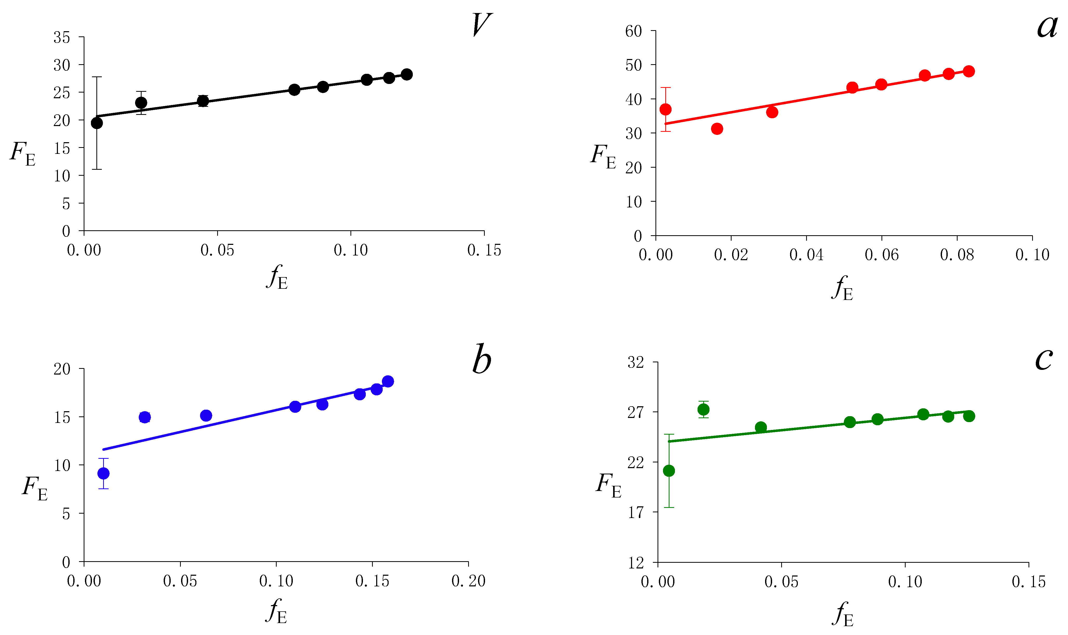
The evolution of lattice parameters with pressure was studied by collecting data at different pressures between 0.0001 and 17.6 GPa. The unit cell parameters are listed in Table 1 and the behavior of cell parameters with P is shown in Figure 2. The evolution of all lattice parameters did not show any discontinuity in the pressure range investigated. The P-V data, and the behavior of the cell parameters as a function of pressure, were fitted using the third-order Birch–Murnaghan Equation of State (BM3-EoS) as suggested by the FE-fE plots, namely the “Eulerian finite strain” versus “normalized stress” (FE = P/[3fE(1 + 2fE)5/2; fE = [(V0/V)2/3-1]/2), which is shown in Figure 3 [21,22,23]. The inclined linear regression lines suggest that the use of a truncated third-order BM3-EOS is appropriate to describe the elastic behavior of mascagnite. The volume–pressure data yielded the following values: K0 = 20.2(8) GPa, K’ = 6.1(2), and V0 = 499(1) Å3. Axis compressibility, calculated with a BM3-EoS, were K0a = 35(3) GPa, K’a = 7.7(7), K0b = 10(3) GPa, K’b = 7(1), K0c = 25(1) GPa, and K’c = 4.3(0.2) The axial moduli calculated using a second-order Birch–Murnaghan Equation of State (BM2-EoS), fixing K0’ equal to 4, were K0a = 52(2) GPa, K0b = 20(1) GPa, and K0c = 26.9(4) GPa, withand a relatively strong anisotropic ratio of K0a:K0b:K0c = 1:0.4:0.5, where the most incompressible parameter is a and the most compressible is b.
Figure 2.
Lattice parameters and volume of mascagnite at different pressures (a lattice parameter—red dots, b lattice parameter—blue dots, c lattice parameter—green dots, V volume cell—black dots). The values are normalized to the room pressure value to highlight the reciprocal difference in the lattice parameters’ compressibilities.
Figure 3.
F-f plot. Eulerian finite (fE) strain versus normalized stress (FE) with the weighted linear regression through the volume cell data points (graph with black dots), through the a lattice parameters (graph with red dots), through the b lattice parameters (graph with blue dots) and trough c lattice parameters (graph with green dots).
3.2. Crystal Structure Evolution with Pressure
The refined data of mascagnite structure at ambient conditions were in very good agreement with the literature data from Schlemper and Hamilton [1], with one S tetrahedron and two independent ammonium tetrahedra, N1 and N2. No tetrahedron shared vertexes or edges with another, and both S or N and the connections were secured by a complex system of N…H…O hydrogen bonds.
The single crystal high-pressure structural data were collected at eight different pressures until 17.6 GPa.
The comparison of high-pressure structural data shows that the volume and average S-O bond distances of sulfate tetrahedron remain almost unchanged, with the average distance <S-O> of 1.466 (1)−1.468 (1) Å, and polyhedral volume changing from 1.623 Å3 to 1.610 Å3, in the pressure range 0.0001–17.6 GPa (Table 3). The values are very near to those measured in other sulfate minerals, for example, in bloedite [24] or gypsum [25].
Table 3.
Bond distances (Å), volume (Å3), and distortion parameters of the SO4 polyhedron at different pressures.
The tetrahedral distortion [26] measured by quadratic elongation and angle distortion (Table 3) shows that the tetrahedra are quite regular at room pressure and become more regular with increasing pressure. In general, under high pressure, the polyhedra become more regular because the longer distances have higher compressibility than that of the shorter distances, and, as a result, regular polyhedra have smaller volumes than those of the distorted polyhedra [27,28]. Otherwise, this may not be true, as a change in free energy establishes the sequence of overall structural evolutions, and exclusions to this general behavior can be found in many compounds. A closer examination of the evolution of bond distances shows that the shortest distance (S-O1) increases, and the longest distance (S-O2) decreases, with pressures of approximately the same quantities, leaving the average bond distances and volumes almost unchanged.
The S-O1 bond distances are directed along the a axis, whereas the S-O2 bond distances are directed along the b axis, and these may explain the strong compressional anisotropy of the lattice parameter.
To analyze the structural evolution with pressure in greater detail, the intermolecular distances between sulfur and nitrogen were measured, without considering the hydrogens’ positions (negligible contribution due to low scattering). Figure 4a–c shows simplified representations of mascagnite structures without hydrogen in order to highlight the topological arrangement of S and N tetrahedra. Along the [010] direction, the mascagnite structure can be described as an alternation of two types of layers: one layer with S and N1 tetrahedra, and another layer where there are only N2 tetrahedra. The S-N values are reported in Table 4. The relative compressibility of the different distances, and a plot of the evolution of S-N bond lengths relative to the room pressure value for each distance are reported and evaluated in Figure 5.
Figure 4.
(a) (100) Projection with the y-axis horizontal; (b) (001) projection with the y-axis horizontal; (c) (010) projection with the z-axis horizontal. The polyhedral colors are: cyan for N1H4, green for N2H4, purple for SO4. The segments in Figure 4b represent, in black, the distance S-N1, inclined with the largest component oriented along the x axis; and, in orange, the distance S-N2 oriented along the y axis.
Table 4.
Sulfur-nitrogen distances (Å) at different pressures.
Figure 5.
Evolution with pressures of sulfur-nitrogen distances. Values are given relative to their zero-pressure values. * S-N1′ principal component along the x axis. ** S-N2 principal component along the y axis.
It is evident that, although the reduction of the S-N distance below 4 Å is almost the same for most bonds, relevant differences are evident in the evolution of S-N distances larger than 4 Å. We observed that the most incompressible distance is S-N1′, which has about half of the compressibility of S-N2′: ßS-N1′ = 0.0022 GPa−1, ßS-N2′ = 0.0044 GPa−1. Figure 4b indicates that S-N1′ has the strongest component along the a axis and S-N2′ along the b axis; thus, the strong anisotropy in the lattice parameters can be explained.
4. Discussion
The present data thoroughly describes the main structural evolution of mascagnite and explains the anisotropic compression observed in lattice parameters. The following considerations are outlined:
- (1)
- A strong increase in the density of mascagnite was found in the investigated change in the pressure density from 1.656 g/cm3 at room pressure to 2.288 g/cm3 at 17.6 GPa, which represents an increase of approximately 30%. The strong anisotropic contraction was observed in the evolution of the lattice parameters, with the a axis the least sensitive parameter and b the most sensitive parameter. The comparison between the structures refined at room temperature and those under 233 K [1] showed that the a parameter slightly increases, whereas b and c decrease. Shmyt’ko et al. [29] reported an anomalous increase in the lattice parameter a and the unit cell volume at temperatures below the ferroelectric phase transition point (Tc = 223 K).
- (2)
- The bulk modulus of mascagnite was compared with those of other sulfates in combination with different metals, Na, Ca, and Mg, and a different amount of water molecules (Table 5 and Figure 6). Specifically, the K0 and K’0 of mirabilite, gypsum, bassanite, anhydrite, and other hydrated magnesium-sulfates, such as kiesertite, epsomite, and meridianiite, were compared. An inverse relationship between K’ and K0 is evident, which usually occurs in materials with a large range of bulk moduli values. High K’ values are found in soft materials, where the compressibility decreases drastically with the increase in pressure. In contrast, hard materials, with high K0 values, usually have low K’ values. In addition, we observed that sulfates with large monovalent cations (NH4+ and Na+: mascagnite and mirabilite) have a lower bulk modulus with respect to sulfates with small earth alkaline cations, namely, Ca and Mg. (e.g., gypsum and kieserite). Verma and Kumar [30] found a linear relation between the cation charges and the bulk modulus in a large suite series of cubic perovskites. Moreover, the number of water molecules appears to affect the bulk moduli, as observed in the Mg-sulfates suite of kieserite, epsomite, and meridianiite, with 1, 7, and 11 water molecules, respectively. The same results were observed by Comodi et al. [31] in a suite of amphiboles with different numbers of water molecules, where the bulk moduli increased as the oxo-component increased, thus reducing the OH content.
Table 5. K0 and K’ measured in sulfates of different alkaline (Na) and earth alkaline (Ca, Mg) metals, and with different numbers of water molecules.
Figure 6. Comparison between bulk modulus (K0) and its derivative (K’0) of some sulfate minerals reported in Table 5. Bassanite (blue), anhydrite (grey), kieserite (cyan), gypsum (red), bloedite (magenta), epsomite (yellow), meridianiite (orange), mirabilite (black), and mascagnite (green). - (3)
- The SO4 tetrahedral group is almost incompressible. The reduction in the average bond distances and volumes are not significant, in agreement with those observed in other sulfates. The distortion parameters do not indicate any relevant changes, and the polyhedra are quite regular at room and high pressures. Nonetheless, the different evolutions of the S-O bond distance along the a and b axes partially explain the different compressibility of the lattice parameters: the S-O1 bond length along the a axis slightly increases with P, whereas the S-O2 bond distance directed along the b axis decreases with P.
- (4)
- The representation of the mascagnite structure can be simplified with the [010] layer formed by lamellas, which consists of two layers of tetrahedra: layers with SO4 and N1H4 tetrahedra are alternated with layers containing only N2H4 groups. The interlayer connections, determined by measuring the S-N distances along the b axis, are softer than the connections along a and c axes. Indeed, the strongest hydrogen bonds, with distances below 2 Å, are along the a axis, thus explaining the anisotropic behavior of mascagnite.
- (5)
- The evolution of bonds and intermolecular distances, as already described for lattice parameters, did not show any discontinuity within the investigated pressure range. This was a definitively different behavior than that observed at low temperature by Malec et al. [4,7], who, with a series of single crystal X-ray diffraction measurements in the temperature range of 273–163 K, showed a dynamical effect at the ferrielectric phase transition. A strong discontinuity in the evolution of tetrahedral bond lengths and angles, and in those intermolecular distances at 233 K, was described by Iqbal and Christoe [2]. The characterization of the transition as a mix of displacive and order-disorder natures involving an H-bond system reorganization, as reported by Iqbal and Christoe [2], could not be verified at high pressure. It is likely that, at ambient temperature compression, the pressure did not affect the order-disorder and the displacive effects were too small to be detected by X-ray diffraction analysis.
- (6)
- In ammonium silicate buddingtonite collected by infrared spectroscopy under pressure, Vennari et al. [16] found that the increased hydrogen bonds between the ammonium group and the silicate framework does not occur under compression and the NH4+ group only appears as a guest ion in the aluminosilicate framework. They concluded that this lack of interaction may have an impact on the stability of ammoniated minerals and may favor nitrides of fluid phases as the N carrier in the deep mantle. However, they suggested that, in cold environments, specifically, at low temperature and high pressure, ammonium may be retained and thus play a primary role in the processing of N in the mantle through the subduction zone.
In the structure of mascagnite, ammonium is not a guest component and strongly interacts with sulfate groups through a complex system of hydrogen bonds. The data collected at high pressure show that although mascagnite has a high compressibility, it remains stable up to ~18 GPa due to the increase in the hydrogen bonds between ammonium and sulfate groups at high pressure. We could not localize H in our structures. However, the intramolecular (S-N) distance evolutions indirectly show that the pressure affects the weaker hydrogen bonds (those directed along the b axis) and contribute to the stabilization of NH4+ in the structure.
5. Conclusions
The evolution at high pressure of mascagnite confirmed the exceptional stability of the structure’s framework up to ~18 GPa. The structures usually show the opposite behavior at high pressure and high temperature [39], and, thus, they may have similar behavior at high pressure and low temperature, but it did not occur in mascagnite. The ammonia groups are fixed in the crystal structure with a complex network of hydrogen bonds, which remain at high pressure and evolve through the strengthening of the weaker hydrogen bonds (those directed along the b axis, which have the highest compressibility).
This evidence suggests that mascagnite can be considered to be a good candidate for nitrogen storage in the depths of icy planets under high pressure conditions, and may be a nitrogen carrier within the sub-surface in the Earth, in addition to cold planetary bodies. In the case of the latter, this may enable the nitrogen to return to the surface via cryo-vulcanism phenomena.
To fully understand the behavior of hydrogen bonds, in the future it will be necessary to perform neutron diffraction, which will provide further details on the evolution of hydrogen during compression.
Supplementary Materials
The following are available online at www.mdpi.com/article/10.3390/cryst11080976/s1, Crystal information files and hkl tables for each pressure point mentioned within the manuscript.
Author Contributions
Conceptualization, P.C. and M.F.; methodology, M.F., G.C., K.G.; validation, P.C., A.Z.; formal analysis, M.F., G.C., K.G.; resources, P.C.; data curation, A.Z.; writing—original draft preparation, P.C., M.F.; writing—review and editing, P.C., M.F.; project administration, P.C.; funding acquisition, P.C. All authors have read and agreed to the published version of the manuscript.
Funding
This research was funded by University of Perugia, code number RICBAS2019COMODI to Paola Comodi.
Acknowledgments
We acknowledge DESY (Hamburg, Germany), a member of the Helmholtz Association HGF, for the provision of experimental facilities. Parts of this research were carried out at the Extreme Conditions Beamline P02.2, PETRA-III.
Conflicts of Interest
The authors declare no conflict of interest.
References
- Schlemper, E.O.; Hamilton, W.C. Neutron-Diffraction Study of the Structures of Ferroelectric and Paraelectric Ammonium Sulfate. Int. J. Chem. Phys. 1966, 44, 4498–4509. [Google Scholar] [CrossRef]
- Iqbal, Z.; Christoe, C.W. Raman scattering study of ferroelectric phase transition in ammonium sulphate. Solid State Commun. 1976, 18, 269–273. [Google Scholar] [CrossRef]
- Malcherek, T. Displacive Phase Transitions in Mineral Behavior at Extreme Conditions. In European Mineralogical Union Notes in Mineralogy; Miletich, R., Ed.; EMU Notes, Eötvös University Press: Budapest, Hungary, 2005; Volume 7. [Google Scholar]
- Malec, L.M.; Brela, M.Z.; Stadnicka, K.M. Displacive or Order-Disorder Phase Transition? The H-bond Dynamics in Multicaloric Ammonium Sulfate. Acta Mater. 2021, 209, 116782. [Google Scholar] [CrossRef]
- Lim, A.R. Paraelectric-Ferroelectric Phase Transition of (NH4)2SO4 Single Crystals by 14N NMR. J. Korean Magn. Reson. Soc. 2017, 21, 63–66. [Google Scholar] [CrossRef]
- Mikhaleva, E.A.; Flerov, I.N.; Gorev, M.V.; Bondarev, V.S.; Bogdanov, E.V. Features of the Behaviour of the Barocaloric Effect near Ferroelectric Phase Transition Close to the Tricritical Point. Crystals 2020, 10, 51. [Google Scholar] [CrossRef] [Green Version]
- Malec, L.M.; Gryl, M.; Stadnicka, K.M. Unmasking the mechanism of structural para-to ferroelectric phase transition in (NH4)2SO4. Inorg. Chem. 2018, 57, 4340–4351. [Google Scholar] [CrossRef]
- Dixit, C.K.; Tauqeer, M. Electrical Properties and Phase Transitions of Ammonium Sulphate Ferroelectrics. Adv. Mater. 2014, 2, 59. [Google Scholar] [CrossRef] [Green Version]
- Neish, C.D.; Somogyi, Á.; Lunine, J.I.; Smith, M.A. Low temperature hydrolysis of laboratory tholins in ammonia-water solutions: Implications for prebiotic chemistry on Titan. Icarus 2009, 201, 412–421. [Google Scholar] [CrossRef]
- Furukawa, Y.; Nakazawa, H.; Sekine, T.; Kobayashi, T.; Kakegawa, T. Nucleobase and amino acid formation through impacts of meteorites on the early ocean. Earth Planet. Sci. Lett. 2015, 429, 216–222. [Google Scholar] [CrossRef]
- Ojwang, J.G.O.; Stewart McWilliams, R.; Ke, X.; Goncharov, A.F. Melting and dissociation of ammonia at high pressure and high temperature. J. Chem. Phys. 2012, 137, 064507. [Google Scholar] [CrossRef] [PubMed]
- Cruikshank, D.P.; Grundy, W.M.; DeMeo, F.E.; Buie, M.W.; Binzel, R.P.; Jennings, D.E.; Weaver, H.A. The surface compositions of Pluto and Charon. Icarus 2015, 246, 82–92. [Google Scholar] [CrossRef] [Green Version]
- Neveu, M.; Desch, S.J.; Castillo-Rogez, J.C. Aqueous geochemistry in icy world interiors: Equilibrium fluid, rock, and gas compositions, and fate of antifreezes and radionuclides. Geochim. Cosmochim. Acta 2017, 212, 324–371. [Google Scholar] [CrossRef]
- Dalle Ore, C.M.; Cruikshank, D.P.; Protopapa, S.; Scipioni, F.; McKinnon, W.B.; Cook, J.C.; Ennico, K. Detection of ammonia on Pluto’s surface in a region of geologically recent tectonism. Sci. Adv. 2019, 5, eaav5731. [Google Scholar] [CrossRef] [PubMed] [Green Version]
- Cook, J.C.; Dalle Ore, C.M.; Protopapa, S.; Binzel, R.P.; Cartwright, R.; Cruikshank, D.P.; Young, L.A. Composition of Pluto’s small satellites: Analysis of New Horizons spectral images. Icarus 2018, 315, 30–45. [Google Scholar] [CrossRef]
- Vennari, C.E.; O’Bannon, E.F.; Williams, Q. The ammonium ion in a silicate under compression: Infrared spectroscopy and powder X-ray diffraction of NH4AlSi3O8—buddingtonite to 30 GPa. Phys. Chem. Miner. 2017, 44, 149–161. [Google Scholar] [CrossRef]
- Boehler, R.; De Hantsetters, K. New anvil designs in diamond-cells. High Press. Res. 2004, 24, 391–396. [Google Scholar] [CrossRef]
- Oxford Diffraction. CrysAlis(Pro); Oxford Diffraction Ltd.: Abingdon, UK, 2006. [Google Scholar]
- Hübschle, C.B.; Sheldrick, G.M.; Dittrich, B. ShelXle: A Qt graphical user interface for SHELXL. J. Appl. Crystallogr. 2011, 44, 1281–1284. [Google Scholar] [CrossRef] [Green Version]
- Palmer, D.C. CrystalMaker; CrystalMaker Software Ltd.: Oxfordshire, UK, 2014. [Google Scholar]
- Angel, R.J. Equation of State. In High Temperature and High Pressure Crystal Chemistry; Hazen, R.M., Downs, R.T., Eds.; Reviews in Mineralogy and Geochemistry; Mineralogical Society of America: Chantilly, VA, USA, 2000; Volume 41, pp. 117–211. [Google Scholar]
- Angel, R.J.; Alvaro, M.; Gonzalez-Platas, J. EosFit7c and a Fortran module (library) for equation of state calculations. Z. Kristallogr. Cryst. Mater. 2014, 229, 405–419. [Google Scholar] [CrossRef]
- Angel, R.J.; Finger, L.W. SINGLE: A program to control single-crystal diffractometers. J. Appl. Crystallogr. 2011, 44, 247–251. [Google Scholar] [CrossRef]
- Comodi, P.; Stagno, V.; Zucchini, A.; Fei, W.; Prakapenka, V. The compression behaviour of blodite at low and high temperature up to 10 GPa: Implications for the stability of hydrous sulfates on icy planetary bodies. Icarus 2017, 285, 137–144. [Google Scholar] [CrossRef] [Green Version]
- Comodi, P.; Nazzareni, S.; Zanazzi, P.F.; Speziale, S. High-pressure behavior of gypsum: A single-crystal X-ray study. Am. Mineral. 2008, 93, 1530–1537. [Google Scholar] [CrossRef]
- Robinson, K.; Gibbs, G.V.; Ribbe, P.H. Quadratic elongation: A quantitative Measure of distorsion in coordination Polyedra. Science 1971, 172, 567–570. [Google Scholar] [CrossRef]
- Zucchini, A.; Prencipe, M.; Belmonte, D.; Comodi, P. Ab initio study of the dolomite to dolomite II high pressure phase transition. Eur. J. Mineral. 2017, 29, 227–238. [Google Scholar] [CrossRef]
- Zucchini, A.; Comodi, P.; Nazzareni, S.; Hanfland, M. The effect of cation ordering and temperature on the high-pressure behavior if dolomite. Phys. Chem. Miner. 2014, 41, 783–793. [Google Scholar] [CrossRef]
- Shmyt’Ko, I.M.; Afonikova, N.S.; Torgashev, V.I. Anomalous states of the structure of (NH4)2SO4 crystals in the temperature range 4.2–300 K. Solid State Phys. 2002, 44, 2309–2317. [Google Scholar] [CrossRef]
- Verma, A.S.; Kumar, A. Bulk modulus of cubic perovskites. J. Alloys Compd. 2012, 541, 210–214. [Google Scholar] [CrossRef]
- Comodi, P.; Boffa Ballaran, T.; Zanazzi, P.F.; Capalbo, C.; Zanetti, A.; Nazzareni, S. The effect of oxo-component of the high-pressure behaviour of amphiboles. Am. Mineral. 2010, 95, 1042–1051. [Google Scholar] [CrossRef]
- Gracia, L.; Beltrán, A.; Errandonea, D.; Andrés, J. CaSO4 and its pressure-induced phase transitions. A density functional theory study. Inorg. Chem. 2012, 51, 1751–1759. [Google Scholar] [CrossRef] [PubMed]
- Comodi, P.; Nazzareni, S.; Dubrovinsky, L.; Merlini, M. The high-pressure–high-temperature behavior of bassanite. Am. Mineral. 2009, 94, 1596–1602. [Google Scholar] [CrossRef]
- Comodi, P.; Nazzareni, S.; Balić-Žunić, T.; Zucchini, A.; Hanfland, M. The high-pressure behavior of bloedite: A synchrotron single-crystal X-ray diffraction study. Am. Mineral. 2014, 99, 511–518. [Google Scholar] [CrossRef]
- Meusburger, J.M.; Ende, M.; Matzinger, P.; Talla, D.; Miletich, R.; Wildner, M. Polymorphism of Mg-monohydrate sulfate kieserite under pressure and its occurrence on giant icy Jovian satellites. Icarus 2020, 36, 113459. [Google Scholar] [CrossRef]
- Fortes, A.D.; Wood, I.G.; Alfredsson, M.; Vocadlo, L.; Knight, K.S. The thermoelastic properties of MgSO4·7D2O (epsomite) from powder neutron diffraction and ab initio calculation. Eur. J. Mineral. 2006, 18, 449–462. [Google Scholar] [CrossRef]
- Fortes, A.D.; Fernandez-Alonso, F.; Tucker, M.; Wood, I.G. Isothermal equation of state and high-pressure phase transitions of synthetic meridianiite (MgSO4·11D2O) determined by neutron powder diffraction and quasi elastic neutron spectroscopy. Acta Crystallogr. Sect. B 2017, 73, 33–46. [Google Scholar] [CrossRef] [Green Version]
- Fortes, A.D.; Brand, H.E.A.; Vočadlo, L.; Lindsay-Scott, A.; Fernandez-Alonso, F.; Wood, I.G. P–V–T equation of state of synthetic mirabilite (Na2SO4·10D2O) determined by powder neutron diffraction. J. App. Cryst. 2013, 46, 448–460. [Google Scholar] [CrossRef]
- Balić-Žunić, T.; Birkedal, R.; Katerinopolou, A.; Comodi, P. Deydration of bloedite, Na2Mg(SO4)2(H2O)4 and leonite K2Mg(SO4)2(H2O)4. Eur. J. Mineral. 2016, 28, 33–42. [Google Scholar] [CrossRef]
Publisher’s Note: MDPI stays neutral with regard to jurisdictional claims in published maps and institutional affiliations. |
© 2021 by the authors. Licensee MDPI, Basel, Switzerland. This article is an open access article distributed under the terms and conditions of the Creative Commons Attribution (CC BY) license (https://creativecommons.org/licenses/by/4.0/).





