Investigation of Fatigue Crack Growth in TA2 Cruciform Specimen with an Inclined Crack, Considering Stress Ratio and Biaxial Load Ratio
Abstract
1. Introduction
2. Biaxial Fatigue Crack Growth Experiments
2.1. CP-Ti Properties
2.2. Cruciform Specimen and Test Method
3. Crack Initiation Angle θ0
4. Experimental Results and Analysis
4.1. FCGR under Different Stress Ratios
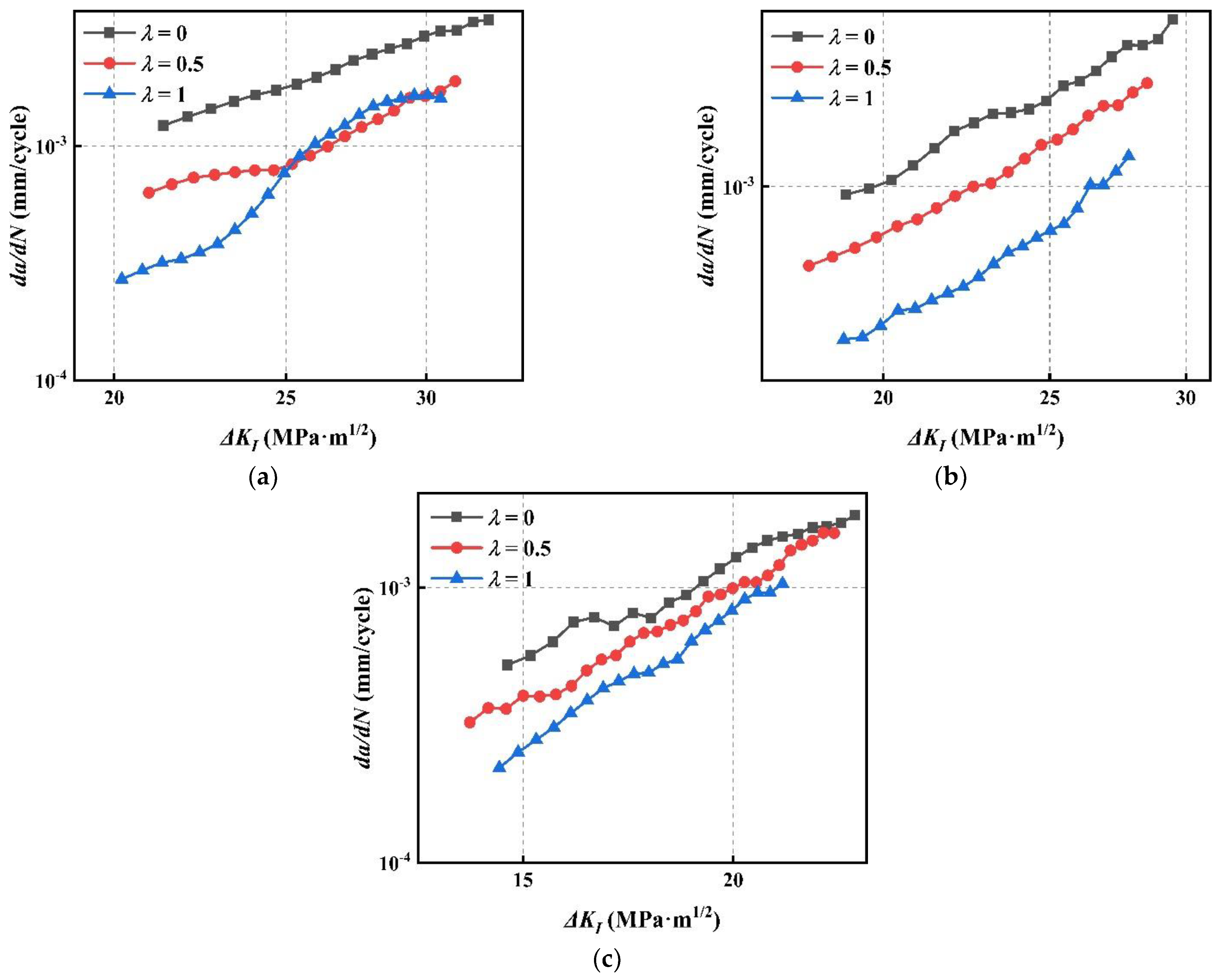
4.2. FCGR under Various Biaxial Load Ratios
5. Fatigue Crack Growth Rate Model
5.1. Paris Model
5.2. Kujawski Model
5.3. Walker Model
6. Conclusions
- The MTS criterion can be used to predict the propagation initiation angle of uniaxial and biaxial mixed-mode I–II fatigue cracks. The angle of crack initiation increases with initial angle β for crack inclination decreases, and the larger the biaxial load ratio λ is, the smaller the crack initiation angle θ0 is.
- The mode I and mixed-mode I–II FCGR increases with stress ratio R, and the driving force of crack growth at high R is smaller than that at low R.
- As a whole, the mode I and mixed-mode I–II FCGR of CS decreases with the increase of λ, while the FCGR curves may cross at the beginning of FCG.
- The Walker model with stress ratio R and the Kujawski model have better compression effects on fatigue crack growth data than the Paris model. When considering discrete error, the Walker model is more suitable for a biaxial mixed-mode I–II FCGR model of CP-Ti TA2.
Author Contributions
Funding
Institutional Review Board Statement
Informed Consent Statement
Data Availability Statement
Acknowledgments
Conflicts of Interest
Abbreviations
| FCG | fatigue crack growth |
| FCGR | fatigue crack growth rate |
| CS | cruciform specimen |
| MTS | maximum tangential stress |
| β | initial crack inclination angle |
| λ | biaxial load ratio |
| R | stress ratio |
| θ0 | crack initiation angle |
| KI | stress intensity factor of mode I crack |
| KII | stress intensity factor of mode II crack |
| ∆KI | stress intensity factor amplitude of mode I crack |
| ∆KII | stress intensity factor amplitude of mode II crack |
| ∆Kv | equivalent stress intensity factor amplitude |
| S | discrete error |
References
- Wang, Q.; Liu, X.; Wang, W.; Yang, C.; Xiong, X.; Fang, H. Mixed mode fatigue crack growth behavior of Ni-Cr-Mo-V high strength steel weldments. Int. J. Fatigue 2017, 102, 79–91. [Google Scholar] [CrossRef]
- Kalnaus, S.; Fan, F.; Jiang, Y.; Vasudevan, A.K. An experimental investigation of fatigue crack growth of stainless steel 304L. Int. J. Fatigue 2009, 31, 840–849. [Google Scholar] [CrossRef]
- Ma, M.Y.; Wang, B.; Liu, H.Q.; Yi, D.Q.; Shen, F.H.; Zhai, T.G. Investigation of fatigue crack propagation behavior of 5083 aluminum alloy under various stress ratios: Role of grain boundary and Schmid factor. Mater. Sci. Eng. A 2020, 773. [Google Scholar] [CrossRef]
- Su, C.Y.; Zhou, C.Y.; Lu, L.; Li, J.; Sun, P.Y.; He, X.H. Effect of Temperature and Dwell Time on Fatigue Crack Growth Behavior of CP-Ti. Metals 2018, 8, 1031. [Google Scholar] [CrossRef]
- Lu, L.; Li, J.; Su, C.Y.; Sun, P.Y.; Chang, L.; Zhou, B.B.; He, X.H.; Zhou, C.Y. Research on fatigue crack growth behavior of commercial pure titanium base metal and weldment at different temperatures. Theor. Appl. Fract. Mech. 2019, 100, 215–224. [Google Scholar] [CrossRef]
- Wang, X.G.; Gao, Z.L.; Zhao, T.W.; Jiang, Y.Y. An Experimental Study of the Crack Growth Behavior of 16MnR Pressure Vessel Steel. J. Press. Vessel. Technol. 2009, 131, 021402. [Google Scholar] [CrossRef]
- Hu, X.A.; Xue, Z.Y.; Ren, T.T.; Jiang, Y.; Dong, C.L.; Liu, F.C. On the fatigue crack growth behaviour of selective laser melting fabricated Inconel 625, Effects of build orientation and stress ratio. Fatigue Fract. Eng. Mater. Struct. 2020, 43, 771–787. [Google Scholar] [CrossRef]
- Forman, R.G.; Kearney, V.E.; Engle, R.M. Numerical Analysis of Crack Propagation in Cyclic-Loaded Structures. J. Basic Eng. 1967, 89, 459–463. [Google Scholar] [CrossRef]
- Rahman, S.; Mohammad, E. Effects of mixed-mode overloading on the mixed-mode I+II fatigue crack growth. Arch. Appl. Mech. 2013, 83, 987–1000. [Google Scholar]
- Zhang, P.; Xie, L.Q.; Zhou, C.Y.; He, X.H. Experimental and numerical investigation on fatigue crack growth behavior of commercial pure titanium under I–II mixed mode loading at negative load ratios. Int. J. Fatigue 2020, 138, 105700. [Google Scholar] [CrossRef]
- Liu, A.; Dittmer, D. Effect of Multiaxial Loading on Crack Growth. In Volume 2 Compilation of Experimental Data; Northrop Corp.: Hawthorne, CA, USA, 1978; Volume 635. [Google Scholar]
- Hopper, C.D.; Miller, K.J. Fatigue crack propagation in biaxial stress fields. J. Strain Anal. Eng. Des. 1977, 12, 23–28. [Google Scholar] [CrossRef]
- Yuuki, R.; Akita, K.; Kishi, N. The effect of biaxial stress and changes of state on fatigue crack growth behaviour. Fatigue Fract. Eng. Mater. Struct. 1989, 12, 93–103. [Google Scholar] [CrossRef]
- Sunder, R.; Ilchenko, B.V. Fatigue crack growth under flight spectrum loading with superposed biaxial loading due to fuselage cabin pressure. Int. J. Fatigue 2010, 33, 1101–1110. [Google Scholar] [CrossRef]
- Lee, E.U.; Taylor, R.E. Fatigue behavior of aluminum alloys under biaxial loading. Eng. Fract. Mech. 2010, 78, 1555–1564. [Google Scholar] [CrossRef]
- Yamashita, K.; Endo, M.; McEvily, A.J. OS4-2-1 A Method for the Evaluation of Fatigue Crack Growth Rate under Biaxial Loading. In The Abstracts of ATEM, Proceedings of the International Conference on Advanced Technology in Experimental Mechanics: Asian Conference on Experimental Mechanics 2007.6, Fukuoka, Japan, 12–14 September 2007; The Japan Society of Mechanical Engineers: Tokyo, Japan, 2007; Volume 6, pp. 1–6. [Google Scholar]
- Shlyannikov, V.N.; Tumanov, A.V.; Zakharov, A.P. The mixed mode crack growth rate in cruciform specimens subject to biaxial loading. Theor. Appl. Fract. Mech. 2014, 73, 68–81. [Google Scholar] [CrossRef]
- Anderson, P.R.G.; Garrett, G.G. Fatigue crack growth rate variations in biaxial stress fields. Int. J. Fract. 1980, 16, 111–116. [Google Scholar] [CrossRef]
- Liu, J.Y.; Bao, W.J.; Zhao, J.Y.; Zhou, C.Y. Fatigue Crack Growth Behavior of CP-Ti Cruciform Specimens with Mixed Mode I–II Crack under Biaxial Loading. Materials 2022, 15, 1926. [Google Scholar] [CrossRef]
- Misak, H.E.; Perel, V.Y.; Sabelkin, V.; Mall, S. Crack growth behavior of 7075-T6 under biaxial tension-tension fatigue. Int. J. Fatigue 2013, 55, 158–165. [Google Scholar] [CrossRef]
- Misak, H.E.; Perel, V.Y.; Sabelkin, V.; Mall, S. Biaxial tension–tension fatigue crack growth behavior of 2024-T3 under ambient air and salt water environments. Eng. Fract. Mech. 2014, 118, 83–97. [Google Scholar] [CrossRef]
- Joshi, S.R.; Shewchuk, J. Fatigue-crack propagation in a biaxial-stress field. Exp. Mech. 1970, 10, 529–533. [Google Scholar] [CrossRef]
- Zhu, Z.K.; Lu, Z.; Zhang, P.; Fu, W.; Zhou, C.Y.; He, X.H. Optimal Design of a Miniaturized Cruciform Specimen for Biaxial Testing of TA2 Alloys. Metals 2019, 9, 823. [Google Scholar] [CrossRef]
- Miao, X.T.; Yu, Q.; Zhou, C.Y. Experiment and numerical investigation on fracture behavior of I–II mixed mode crack for commercial pure Titanium. Theor. Appl. Fract. Mech. 2018, 96, 202–215. [Google Scholar] [CrossRef]
- Leevers, P.S.; Radon, J.C.; Culver, L.E. Fracture trajectories in a biaxially stressed plate. J. Mech. Phys. Solids 1976, 24, 381–395. [Google Scholar] [CrossRef]
- Williams, J.G.; Ewing, P.D. Fracture under complex stress-The angled crack problem. Int. J. Fract. 1984, 26, 346–351. [Google Scholar] [CrossRef]
- Qian, J.; Fatemi, A. Mixed mode fatigue crack growth: A literature survey. Eng. Fract. Mech. 1996, 55, 969–990. [Google Scholar] [CrossRef]
- Richard, H.A.; Fulland, M.; Sander, M. Theoretical crack path prediction. Fatigue Fract. Eng. Mater. Struct. 2005, 28, 3–12. [Google Scholar] [CrossRef]
- Erdogan, F.; Sih, G.C. On the Crack Extension in Plates Under Plane Loading and Transverse Shear. J. Basic Eng. 1963, 85, 519–525. [Google Scholar] [CrossRef]
- Meng, Y.X.; Gao, H.; Yan, Y.Z.; Gao, L.L. Effects of phase difference and stress ratio on biaxial tension–tension fatigue crack propagation behavior of rolled ZK60 magnesium alloy. Mater. Today Commun. 2020, 24, 101159. [Google Scholar] [CrossRef]
- Dubey, S.; Soboyejo, A.B.O.; Soboyejo, W.O. An investigation of the effects of stress ratio and crack closure on the micromechanisms of fatigue crack growth in Ti-6AL-4V. Acta Mater. 1997, 45, 2777–2787. [Google Scholar] [CrossRef]
- Ahmed, T.; Yavuz, A.; Turkmen, H.S. Fatigue crack growth analysis of biaxially loaded hole-edge cracks using boundary cracklet method (BCM). Fatigue Fract. Eng. Mater. Struct. 2021, 44, 2693–2705. [Google Scholar] [CrossRef]
- Jha, S.K.; Ravichandran, K.S. Effect of Mean Stress (Stress Ratio) and Aging on Fatigue-Crack Growth in a Metastable Beta Titanium Alloy, Ti- 10V-2Fe-3Al. Metall. Mater. Trans. A Phys. Metall. Mater. Sci. 2000, 31, 703–714. [Google Scholar] [CrossRef]
- Zhang, Z.H.; Yang, S.; Lin, J.W. Fatigue crack growth rate of Ti-6Al-4V considering the effects of fracture toughness and crack closure. Chin. J. Mech. Eng. 2015, 28, 409–415. [Google Scholar] [CrossRef]
- Paris, P.; Erdogan, F. A Critical Analysis of Crack Propagation Laws. J. Basic Eng. 1963, 85, 528–533. [Google Scholar] [CrossRef]
- Kujawski, D. A fatigue crack driving force parameter with load ratio effects. Int. J. Fatigue 2001, 23, 239–246. [Google Scholar] [CrossRef]
- Walker, K. The Effect of Stress Ratio During Crack Propagation and Fatigue for 2024-T3 and 7075-T6 Aluminum. ASTM STP 1970, 462, 1–14. [Google Scholar]
- Krenn, C.R.; Morris, J.W. The compatibility of crack closure and K max dependent models of fatigue crack growth. Int. J. Fatigue 1999, 21, 147–155. [Google Scholar] [CrossRef]
- Newman, J.C. A finite element analysis of fatigue crack closure. ASTM STP 1976, 590, 281–301. [Google Scholar]
- Schijve, J. Some formulas for the crack opening stress level. Eng. Fract. Mech. 1981, 14, 461–465. [Google Scholar] [CrossRef]






















| β | λ (λ = σx/σy) | Pmax/N | R (R = Pmin/Pmax) |
|---|---|---|---|
| 90°/60°/45° | 0 | 2000 | 0/0.1/0.3 |
| 0.5 | |||
| 1 |
Publisher’s Note: MDPI stays neutral with regard to jurisdictional claims in published maps and institutional affiliations. |
© 2022 by the authors. Licensee MDPI, Basel, Switzerland. This article is an open access article distributed under the terms and conditions of the Creative Commons Attribution (CC BY) license (https://creativecommons.org/licenses/by/4.0/).
Share and Cite
Bao, W.-J.; Liu, J.-Y.; Tao, Z.-L.; Zhao, G.-Z.; Zhou, C.-Y. Investigation of Fatigue Crack Growth in TA2 Cruciform Specimen with an Inclined Crack, Considering Stress Ratio and Biaxial Load Ratio. Crystals 2022, 12, 1530. https://doi.org/10.3390/cryst12111530
Bao W-J, Liu J-Y, Tao Z-L, Zhao G-Z, Zhou C-Y. Investigation of Fatigue Crack Growth in TA2 Cruciform Specimen with an Inclined Crack, Considering Stress Ratio and Biaxial Load Ratio. Crystals. 2022; 12(11):1530. https://doi.org/10.3390/cryst12111530
Chicago/Turabian StyleBao, Wen-Jie, Jia-Yu Liu, Zhi-Lin Tao, Guang-Zhou Zhao, and Chang-Yu Zhou. 2022. "Investigation of Fatigue Crack Growth in TA2 Cruciform Specimen with an Inclined Crack, Considering Stress Ratio and Biaxial Load Ratio" Crystals 12, no. 11: 1530. https://doi.org/10.3390/cryst12111530
APA StyleBao, W.-J., Liu, J.-Y., Tao, Z.-L., Zhao, G.-Z., & Zhou, C.-Y. (2022). Investigation of Fatigue Crack Growth in TA2 Cruciform Specimen with an Inclined Crack, Considering Stress Ratio and Biaxial Load Ratio. Crystals, 12(11), 1530. https://doi.org/10.3390/cryst12111530
