First-Principles Study of the Structural, Mechanical and Thermodynamic Properties of Al11RE3 in Aluminum Alloys
Abstract
1. Introduction
2. Computation Detail
3. Result and Discussion
3.1. Enthalpy of Formation and Stability
3.2. Elastic Properties
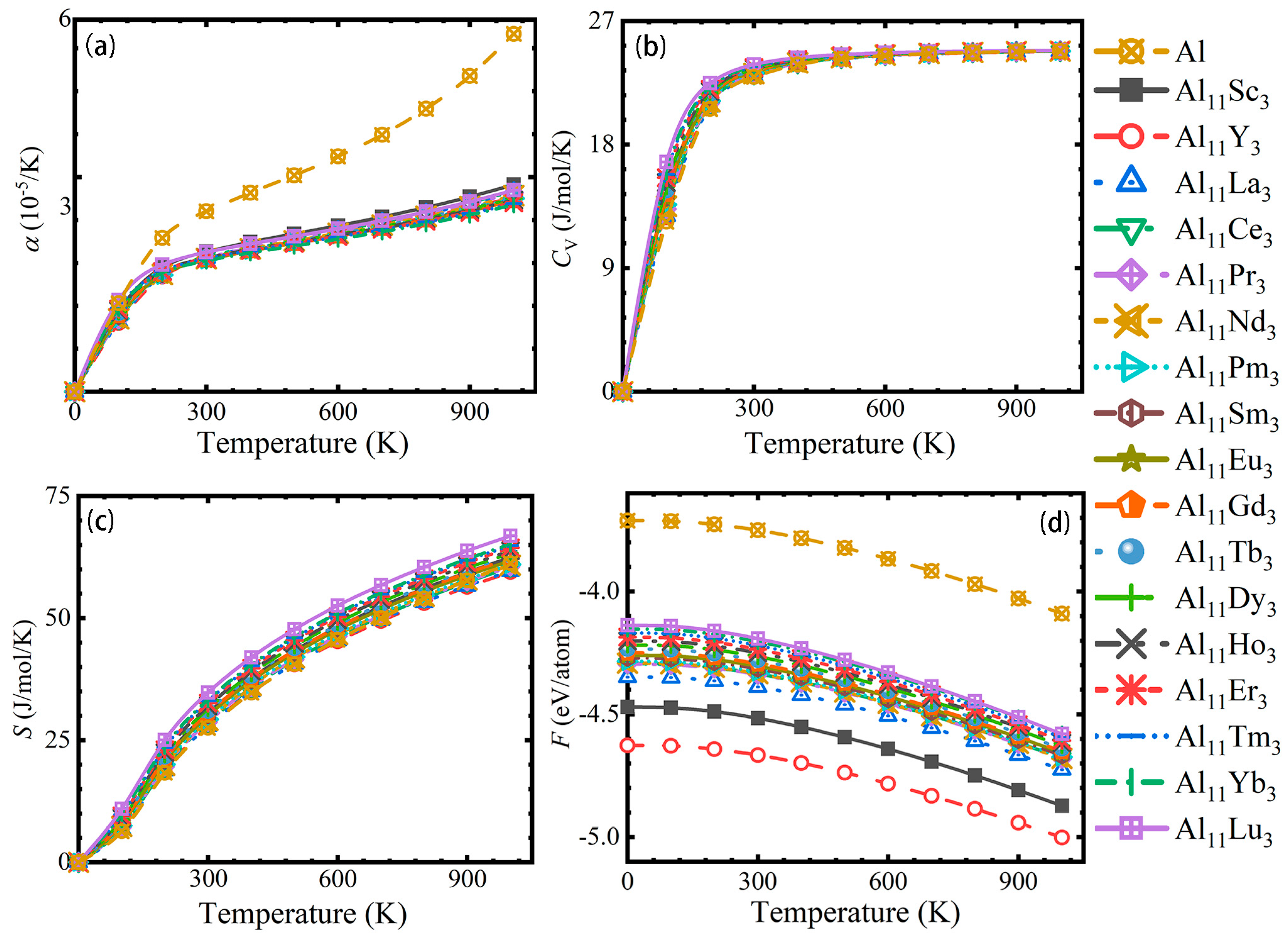
3.3. The Thermodynamic Properties
4. Conclusions
Author Contributions
Funding
Data Availability Statement
Acknowledgments
Conflicts of Interest
References
- Azarniya, A.; Hosseini, H.R.M. A new method for fabrication of in situ Al/Al3Ti–Al2O3 nanocomposites based on thermal decomposition of nanostructured tialite. J. Alloys Compd. 2015, 643, 64–73. [Google Scholar] [CrossRef]
- Azarniya, A.; Taheri, A.K.; Taheri, K.K. Recent advances in ageing of 7xxx series aluminum alloys: A physical metallurgy perspective. J. Alloys Compd. 2019, 781, 945–983. [Google Scholar] [CrossRef]
- Canakci, A.; Varol, T. Microstructure and properties of AA7075/Al–SiC composites fabricated using powder metallurgy and hot pressing. Powder Technol. 2014, 268, 72–79. [Google Scholar] [CrossRef]
- Patel, V.K.; Bhowmik, S. Plasma processing of aluminum alloys to promote adhesion: A critical review. Rev. Adhes. Adhes. 2017, 5, 79–104. [Google Scholar] [CrossRef]
- Singh, J.; Chauhan, A. Characterization of hybrid aluminum matrix composites for advanced applications—A review. J. Mater. Res. Technol. 2016, 5, 159–169. [Google Scholar] [CrossRef]
- Seidman, D.N.; Marquis, E.A.; Dunand, D.C. Precipitation strengthening at ambient and elevated temperatures of heat-treatable Al(Sc) alloys. Acta Mater. 2002, 50, 4021–4035. [Google Scholar] [CrossRef]
- Farkoosh, A.R.; Pekguleryuz, M. The effects of manganese on the Τ-phase and creep resistance in Al–Si–Cu–Mg–Ni alloys. Mater. Sci. Eng. A 2013, 582, 248–256. [Google Scholar] [CrossRef]
- Qian, F.; Jin, S.; Sha, G.; Li, Y. Enhanced dispersoid precipitation and dispersion strengthening in an Al alloy by microalloying with Cd. Acta Mater. 2018, 157, 114–125. [Google Scholar] [CrossRef]
- Jin, L.; Liu, K.; Chen, X.G. Evolution of dispersoids and their effects on elevated-temperature strength and creep resistance in Al-Si-Cu 319 cast alloys with Mn and Mo additions. Mater. Sci. Eng. A 2020, 770, 138554. [Google Scholar] [CrossRef]
- Farkoosh, A.R.; Chen, X.G.; Pekguleryuz, M. Dispersoid strengthening of a high temperature Al–Si–Cu–Mg alloy via Mo addition. Mater. Sci. Eng. A 2015, 620, 181–189. [Google Scholar] [CrossRef]
- De Luca, A.; Seidman, D.N.; Dunand, D.C. Mn and Mo additions to a dilute Al–Zr–Sc–Er–Si-based alloy to improve creep resistance through solid-solution- and precipitation-strengthening. Acta Mater. 2020, 194, 60–67. [Google Scholar] [CrossRef]
- Farkoosh, A.R.; Dunand, D.C.; Seidman, D.N. Tungsten solubility in L12-ordered Al3Er and Al3Zr nanoprecipitates formed by aging in an aluminum matrix. J. Alloys Compd. 2019, 820, 153383. [Google Scholar] [CrossRef]
- Zhang, J.-Y.; Gao, Y.-H.; Yang, C.; Zhang, P.; Kuang, J.; Liu, G.; Sun, J. Microalloying Al alloys with Sc: A review. Rare Met. 2020, 39, 636–650. [Google Scholar] [CrossRef]
- Vlach, M.; Čížek, J.; Smola, B.; Melikhova, O.; Vlček, M.; Kodetová, V.; Hruška, P. Heat treatment and age hardening of Al–Si–Mg–Mn commercial alloy with addition of Sc and Zr. Mater. Charact. 2017, 129, 1–8. [Google Scholar] [CrossRef]
- Sims, Z.C.; Rios, O.R.; Weiss, D.; Turchi, P.E.A.; Perron, A.; Lee, J.R.I.; Li, T.T.; Hammons, J.A.; Bagge-Hansen, M.; Willey, T.M.; et al. High performance aluminum–cerium alloys for high-temperature applications. Mater. Horiz. 2017, 4, 1070–1078. [Google Scholar] [CrossRef]
- Czerwinski, F.; Shalchi Amirkhiz, B. On the Al–Al11Ce3 eutectic transformation in aluminum–cerium binary Alloys. Materials 2020, 13, 4549. [Google Scholar] [CrossRef]
- Zheng, Y.H.; Wang, Z.D.; Zhang, S.M. Microstructure of diphase dendrite in Al–35%La alloy during solidification. J. Cryst. Growth 2013, 362, 33–37. [Google Scholar] [CrossRef]
- Zheng, Y.; Wang, Z. A novel periodic dendrite microstructure in Al–La binary alloy. J. Cryst. Growth 2010, 318, 1013–1015. [Google Scholar] [CrossRef]
- Zhang, X.; Wang, S. First-principles study of thermodynamic properties and solubility of aluminum-rare-earth intermetallics. Comput. Mater. Sci. 2014, 90, 56–60. [Google Scholar] [CrossRef]
- Liu, T.; Ma, T.; Li, Y.; Ren, Y.; Liu, W. Stabilities, mechanical and thermodynamic properties of Al–RE intermetallics: A first-principles study. J. Rare Earths 2022, 40, 345–352. [Google Scholar] [CrossRef]
- Togo, A.; Tanaka, I. First principles phonon calculations in materials science. Scr. Mater. 2015, 108, 1–5. [Google Scholar] [CrossRef]
- Mao, Z.; Chen, W.; Seidman, D.; Wolverton, C. First-principles study of the nucleation and stability of ordered precipitates in ternary Al–Sc–Li alloys. Acta Mater. 2011, 59, 3012–3023. [Google Scholar] [CrossRef]
- Mao, Z.; Seidman, D.N.; Wolverton, C.J.A.M. First-principles phase stability, magnetic properties and solubility in aluminum–rare-earth (Al–RE) alloys and compounds. Acta Mater. 2011, 59, 3659–3666. [Google Scholar] [CrossRef]
- Sun, S.; Li, X.; Wang, H.; Jiang, H.; Lei, W.; Jiang, Y.; Yi, D. First-principles investigations on the electronic properties and stabilities of low-index surfaces of L12–Al3Sc intermetallic. Appl. Surf. Sci. 2013, 288, 609–618. [Google Scholar] [CrossRef]
- Li, R.Y.; Duan, Y.H. Electronic structures and thermodynamic properties of HfAl3 in L12, D022 and D023 structures. Trans. Nonferrous Met. Soc. China 2016, 26, 2404–2412. [Google Scholar] [CrossRef]
- Sholl, D.S.; Steckel, J.A. Density Functional Theory: A Practical Introduction; John Wiley Sons: Hoboken, NJ, USA, 2022. [Google Scholar]
- Hafner, J. Ab-initio simulations of materials using VASP: Density-functional theory and beyond. J. Comput. Chem. 2008, 29, 2044–2078. [Google Scholar] [CrossRef]
- Blöchl, P.E.; Jepsen, O.; Andersen, O.K. Improved tetrahedron method for Brillouin-zone integrations. Phys. Rev. B 1994, 49, 16223–16233. [Google Scholar] [CrossRef]
- Kresse, G.; Joubert, D. From ultrasoft pseudopotentials to the projector augmented-wave method. Phys. Rev. B 1999, 59, 1758–1775. [Google Scholar] [CrossRef]
- Lee, C.; Yang, W.; Parr, R.G. Development of the Colle-Salvetti correlation-energy formula into a functional of the electron density. Phys. Rev. B 1988, 37, 785–789. [Google Scholar] [CrossRef]
- Monkhorst, H.J.; Pack, J.D. Special points for Brillouin-zone integrations. Phys. Rev. B 1976, 13, 5188. [Google Scholar] [CrossRef]
- Feynman, R.P. Forces in molecules. Phys. Rev. 1939, 56, 340. [Google Scholar] [CrossRef]
- Wang, V.; Xu, N.; Liu, J.-C.; Tang, G.; Geng, W.-T. VASPKIT: A user-friendly interface facilitating high-throughput computing and analysis using VASP code. Comput. Phys. Commun. 2021, 267, 108033. [Google Scholar] [CrossRef]
- Moruzzi, V.L.; Janak, J.F.; Schwarz, K. Calculated thermal properties of metals. Phys. Rev. B 1988, 37, 790–799. [Google Scholar] [CrossRef] [PubMed]
- Debye, P. The theory of specific warmth. Ann. Der Phys. 1912, 39, 789–839. [Google Scholar] [CrossRef]
- Otero-De-La-Roza, A.; Abbasi-Pérez, D.; Luaña, V. Gibbs2: A new version of the quasiharmonic model code. II. Models for solid-state thermodynamics, features and implementation. Comput. Phys. Commun. 2011, 182, 2232–2248. [Google Scholar] [CrossRef]
- Han, F.; Yuan, M.; Wei, Z.; Yao, Y.; Yao, L.; Xin, L.; Shen, X. First-principles study of the Ti/Al3Ti interfacial properties. Appl. Surf. Sci. 2021, 544, 148960. [Google Scholar] [CrossRef]
- Lu, C.; Ping, P.; Guifa, L.; Jinshui, L.; Shaochang, H. First-principle calculation of point defective structures of B2-RuAl intermetallic compound. Rare Met. Mater. Eng. 2006, 35, 1065–1070. [Google Scholar]
- Ma, L.; Wang, Z.P.; Huang, G.H.; Huang, J.L.; Tang, P.Y.; Fan, T.W. Magnetic Phase Transition, Elastic and Thermodynamic Properties of L12-(Ni, Cu)3 (Al, Fe, Cr) in 3 d High-Entropy Alloys. Crystals 2020, 10, 1102. [Google Scholar] [CrossRef]
- Ravindran, P.; Fast, L.; Korzhavyi, P.A.; Johansson, B.; Wills, J.; Eriksson, O. Density functional theory for calculation of elastic properties of orthorhombic crystals: Application to TiSi2. J. Appl. Phys. 1998, 84, 4891–4904. [Google Scholar] [CrossRef]
- Mattesini, M.; Ahuja, R.; Johansson, B. Cubic Hf3N4 and Zr3N4: A class of hard materials. Phys. Rev. B 2003, 68, 184108. [Google Scholar] [CrossRef]
- Hill, R. The Elastic Behaviour of a Crystalline Aggregate. Proc. Phys. Soc. Sect. A 1952, 65, 349. [Google Scholar] [CrossRef]
- Wu, Z.J.; Zhao, E.J.; Xiang, H.P.; Hao, X.F.; Liu, X.J.; Meng, J. Crystal structures and elastic properties of superhard Ir N2 and Ir N3 from first principles. Phys. Rev. B 2007, 76, 054115. [Google Scholar] [CrossRef]
- Mouhat, F.; Coudert, F.-X. Necessary and sufficient elastic stability conditions in various crystal systems. Phys. Rev. B 2014, 90, 224104. [Google Scholar] [CrossRef]
- Pugh, S.F. XCII. Relations between the elastic moduli and the plastic properties of polycrystalline pure metals. Lond. Edinb. Dublin Philos. Mag. J. Sci. 1954, 45, 823–843. [Google Scholar] [CrossRef]
- Liu, T.; Ren, Y.; Li, Y. First-principles calculation on structure stability, thermodynamic and mechanical properties of Mg2Si intermetallics. Sci. Sin. Phys. Mech. Astron. 2016, 46, 084611. [Google Scholar] [CrossRef]
- Perdew, J.P.; Burke, K.; Wang, Y. Generalized gradient approximation for the exchange-correlation hole of a many-electron system. Phys. Rev. B 1996, 54, 16533–16539. [Google Scholar] [CrossRef]
- Chen, X.R.; Zeng, Z.Y.; Liu, Z.L.; Cai, L.C.; Jing, F.Q. Elastic anisotropy of ɛ-Fe under conditions at the Earth’s inner core. Phys. Rev. B 2011, 83, 132102. [Google Scholar] [CrossRef]
- Deng, L.; Liu, X.; Liu, H.; Dong, J. High-pressure phase relations in the composition of albite NaAlSi3O8 constrained by an ab initio and quasi-harmonic Debye model, and their implications. Earth Planet. Sci. Lett. 2010, 298, 427–433. [Google Scholar] [CrossRef]
- Errandonea, D.; Kumar, R.S.; Gracia, L.; Beltran, A.; Achary, S.N.; Tyagi, A.K. Experimental and theoretical investigation of ThGeO 4 at high pressure. Phys. Rev. B 2009, 80, 094101. [Google Scholar] [CrossRef]
- Fu, H.; Zhao, Z.; Liu, W.; Peng, F.; Gao, T.; Cheng, X. Ab initio calculations of elastic constants and thermodynamic properties of γTiAl under high pressures. Intermetallics 2010, 18, 761–766. [Google Scholar] [CrossRef]
- Khenioui, Y.; Boulechfar, R.; Maazi, N.; Ghemid, S. FP-LAPW investigation of Al3 (Sc 1−x Tix) alloys properties in L1x2 and D022 structures. Int. J. Mod. Phys. B 2018, 32, 1850167. [Google Scholar] [CrossRef]
- Tao, X.; Ouyang, Y.; Liu, H.; Zeng, F.; Feng, Y.; Jin, Z. Calculation of the thermodynamic properties of b2 AlRE (RE = sc, y, la, ce–lu). Phys. B: Condens. Matter 2007, 399, 27–32. [Google Scholar] [CrossRef]
- Powell, B.R.; Rezhets, V.; Balogh, M.P.; Waldo, R.A. Microstructure and creep behavior in AE42 magnesium die-casting alloy. Jom 2002, 54, 34–38. [Google Scholar] [CrossRef]
- Zhang, J.; Yu, P.; Liu, K.; Fang, D.; Tang, D.; Meng, J. Effect of substituting cerium-rich mischmetal with lanthanum on microstructure and mechanical properties of die-cast Mg–Al–RE alloys. Mater. Des. 2009, 30, 2372–2378. [Google Scholar] [CrossRef]
- Zhang, J.; Liu, K.; Fang, D.; Qiu, X.; Tang, D.; Meng, J. Microstructure, tensile properties, and creep behavior of high-pressure die-cast Mg–4Al–4RE–0.4 Mn (RE= La, Ce) alloys. J. Mater. Sci. 2009, 44, 2046–2054. [Google Scholar] [CrossRef]
- Chen, Y.; Hammerschmidt, T.; Pettifor, D.; Shang, J.-X.; Zhang, Y. Influence of vibrational entropy on structural stability of Nb–Si and Mo–Si systems at elevated temperatures. Acta Mater. 2009, 57, 2657–2664. [Google Scholar] [CrossRef]



| Compound | C11 | C12 | C13 | C22 | C23 | C33 | C44 | C55 | C66 |
|---|---|---|---|---|---|---|---|---|---|
| Al11Sc3 | 99.22 | 71.22 | 74.54 | 110.05 | 65.24 | 119.06 | 29.81 | 36.21 | 17.95 |
| Al11Y3 | 120.17 | 56.87 | 62.15 | 107.78 | 62.81 | 122.48 | 37.68 | 52.18 | 51.12 |
| Al11La3 | 129.53 | 44.00 | 52.36 | 115.74 | 52.97 | 114.94 | 53.59 | 62.02 | 56.55 |
| Al11Ce3 | 128.71 | 46.13 | 53.92 | 116.61 | 54.39 | 117.82 | 47.36 | 57.64 | 54.54 |
| Al11Pr3 | 129.35 | 47.41 | 55.74 | 117.31 | 56.11 | 120.19 | 46.33 | 57.83 | 54.93 |
| Al11Nd3 | 129.12 | 48.55 | 57.23 | 117.25 | 57.67 | 121.31 | 45.19 | 57.52 | 55.06 |
| Al11Pm3 | 128.51 | 49.71 | 58.47 | 116.87 | 59.17 | 122.52 | 44.13 | 57.03 | 55.03 |
| Al11Sm3 | 127.56 | 50.86 | 59.50 | 116.08 | 60.35 | 123.12 | 43.20 | 56.36 | 54.69 |
| Al11Eu3 | 127.00 | 52.31 | 61.07 | 115.20 | 61.62 | 123.22 | 42.01 | 56.17 | 54.60 |
| Al11Gd3 | 125.51 | 53.43 | 61.95 | 113.46 | 62.39 | 123.07 | 40.54 | 55.41 | 53.81 |
| Al11Tb3 | 124.19 | 54.61 | 62.72 | 111.77 | 63.18 | 122.77 | 39.24 | 54.61 | 52.76 |
| Al11Dy3 | 122.83 | 55.88 | 63.48 | 109.92 | 63.90 | 122.49 | 37.87 | 53.88 | 51.47 |
| Al11Ho3 | 120.95 | 57.45 | 64.74 | 108.04 | 64.96 | 121.11 | 36.43 | 53.09 | 50.23 |
| Al11Er3 | 118.82 | 59.06 | 66.18 | 105.53 | 65.82 | 119.16 | 34.70 | 52.59 | 49.13 |
| Al11Tm3 | 117.47 | 60.86 | 67.65 | 103.33 | 66.59 | 117.93 | 33.43 | 52.59 | 48.32 |
| Al11Yb3 | 115.03 | 63.04 | 69.11 | 100.37 | 67.20 | 116.02 | 31.97 | 51.82 | 46.91 |
| Al11Lu3 | 111.69 | 65.12 | 70.84 | 96.90 | 67.55 | 113.29 | 30.53 | 50.89 | 45.44 |
Disclaimer/Publisher’s Note: The statements, opinions and data contained in all publications are solely those of the individual author(s) and contributor(s) and not of MDPI and/or the editor(s). MDPI and/or the editor(s) disclaim responsibility for any injury to people or property resulting from any ideas, methods, instructions or products referred to in the content. |
© 2023 by the authors. Licensee MDPI, Basel, Switzerland. This article is an open access article distributed under the terms and conditions of the Creative Commons Attribution (CC BY) license (https://creativecommons.org/licenses/by/4.0/).
Share and Cite
Fan, T.; Lin, L.; Liang, H.; Ma, Y.; Tang, Y.; Hu, T.; Ruan, Z.; Chen, D.; Wu, Y. First-Principles Study of the Structural, Mechanical and Thermodynamic Properties of Al11RE3 in Aluminum Alloys. Crystals 2023, 13, 347. https://doi.org/10.3390/cryst13020347
Fan T, Lin L, Liang H, Ma Y, Tang Y, Hu T, Ruan Z, Chen D, Wu Y. First-Principles Study of the Structural, Mechanical and Thermodynamic Properties of Al11RE3 in Aluminum Alloys. Crystals. 2023; 13(2):347. https://doi.org/10.3390/cryst13020347
Chicago/Turabian StyleFan, Touwen, Lan Lin, Houjiang Liang, Yuhong Ma, Yuwei Tang, Te Hu, Zixiong Ruan, Dongchu Chen, and Yuanzhi Wu. 2023. "First-Principles Study of the Structural, Mechanical and Thermodynamic Properties of Al11RE3 in Aluminum Alloys" Crystals 13, no. 2: 347. https://doi.org/10.3390/cryst13020347
APA StyleFan, T., Lin, L., Liang, H., Ma, Y., Tang, Y., Hu, T., Ruan, Z., Chen, D., & Wu, Y. (2023). First-Principles Study of the Structural, Mechanical and Thermodynamic Properties of Al11RE3 in Aluminum Alloys. Crystals, 13(2), 347. https://doi.org/10.3390/cryst13020347
