Precise Manipulation of Amino Groups in Zr-MOFs for Efficient Adsorption Performance
Abstract
1. Introduction
2. Experiment
2.1. Material
2.2. Synthesis of Compounds
2.3. Characterization
2.4. Adsorption Experiment
2.5. Chromium Stability
3. Results and Discussion
3.1. Effect of the Regulator Concentration on Synthetic UiO-66
3.2. Structural and Pore Regulation of UiO-66-NH2
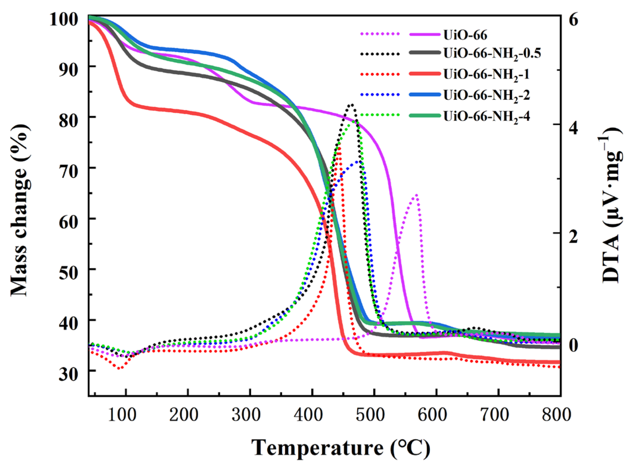
3.3. Stability of U-N-x
3.4. Adsorption Performance of UiO-66-NH2
3.5. Structural Characterization before and after Adsorption Measurement
3.6. Adsorption Kinetics
3.7. Adsorption Isotherms
3.8. Adsorption Mechanism
4. Conclusions
Author Contributions
Funding
Data Availability Statement
Acknowledgments
Conflicts of Interest
References
- Yaghi, O.M.; Li, G.; Li, H. Selective binding and removal of guests in a microporous metal–organic framework. Nature 1995, 378, 703–706. [Google Scholar] [CrossRef]
- Zeng, X.; Zhao, Y.; Hu, X.; Stucky, G.D.; Moskovits, M. Rational Component and Structure Design of Noble-Metal Composites for Optical and Catalytic Applications. Small Struct. 2021, 2, 2000138. [Google Scholar] [CrossRef]
- Lin, G.; Zeng, B.; Liu, X.; Li, J.; Zhang, B.; Zhang, L. Enhanced performance of functionalized MOF adsorbents for efficient removal of anthropogenic Hg(II) from water. J. Clean. Prod. 2022, 381, 134766. [Google Scholar] [CrossRef]
- Lee, G.; Park, G.; Kim, S.; Jhung, S.H. Adsorptive removal of aromatic diamines from water using metal-organic frameworks functionalized with a nitro group. J. Hazard. Mater. 2023, 443, 130133. [Google Scholar] [CrossRef] [PubMed]
- Huang, F.; Zhang, X.; Liu, W.; Gao, J.; Sun, L. Theoretical Investigations on MIL-100(M) (M=Cr, Sc, Fe) with High Adsorption Selectivity for Nitrogen and Carbon Dioxide over Methane. Chem. Asian J. 2022, 18, e202200985. [Google Scholar] [CrossRef]
- Yang, P.; Meng, X.; Guo, P.; Zhou, R.; Zhang, Y.; Cao, S.; Zhang, D.; Ji, H.; Duan, L. Highly selective separation of C3H6/C3H8 within hierarchical metal-organic CuxOy@HP-Cu-BTCs. Mater. Chem. Phys. 2023, 294, 127024. [Google Scholar] [CrossRef]
- Yin, X.; He, Y.; He, T.; Li, H.; Wu, J.; Zhou, L.; Li, S.; Li, C. A durable MOF-303-coated stainless steel mesh with robust anti-oil-fouling performance for multifunctional oil/water separation. Colloids Surf. A Physicochem. Eng. Asp. 2023, 657, 130515. [Google Scholar] [CrossRef]
- Behera, P.; Ray, A.; Tripathy, S.P.; Acharya, L.; Subudhi, S.; Parida, K. ZIF-8 derived porous C, N co-doped ZnO modified B-g-C3N4: A Z-Scheme charge dynamics approach operative towards photocatalytic hydrogen evolution and ciprofloxacin degradation. J. Photochem. Photobiol. A Chem. 2023, 436, 114415. [Google Scholar] [CrossRef]
- Yu, H.; Hong, Y.; Zeng, X.; Wei, J.; Wang, F.; Liu, M. Multilevel reconstruction of g-C3N4 nanorings via natural pollen for remarkable photocatalysis. Mater. Today Sustain. 2023, 21, 100267. [Google Scholar] [CrossRef]
- Tan, Y.; Yang, L.; Zhai, D.; Sun, L.; Zhai, S.; Zhou, W.; Wang, X.; Deng, W.-Q.; Wu, H. MXene-Derived Metal-Organic Frame-work@MXene Heterostructures toward Electrochemical NO Sensing. Small 2022, 18, 2204942. [Google Scholar] [CrossRef]
- Fan, Y.; Li, C.; Liu, X.; Ren, J.; Zhang, Y.; Chi, J.; Wang, L. Honeycomb structured nano MOF for high-performance sodium-ion hybrid capacitor. Chem. Eng. J. 2023, 452, 139585. [Google Scholar] [CrossRef]
- Zeng, X.; Ye, Y.; Wang, Y.; Yu, R.; Moskovits, M.; Stucky, G. Honeycomb-like MXene/NiFePx-NC with “continuous” single-crystal enable high activity and robust durability in electrocatalytic oxygen evolution reactions. J. Adv. Ceram. 2023, 12, 553–564. [Google Scholar] [CrossRef]
- Safinejad, M.; Rigi, A.; Zeraati, M.; Heidary, Z.; Jahani, S.; Chauhan, N.P.S.; Sargazi, G. Lanthanum-based metal organic framework (La-MOF) use of 3,4-dihydroxycinnamic acid as drug delivery system linkers in human breast cancer therapy. BMC Chem. 2022, 16, 93. [Google Scholar] [CrossRef]
- Zeng, X.; Zhao, C.; Nie, T.; Shen, Z.-Y.; Yu, R.; Stucky, G. Construction of 0D/1D/2D MXene nanoribbons-NiCo@NC hierarchical network and their coupling effect on electromagnetic wave absorption. Mater. Today Phys. 2022, 28, 100888. [Google Scholar] [CrossRef]
- Cavka, J.H.; Jakobsen, S.; Olsbye, U.; Guillou, N.; Lamberti, C.; Bordiga, S.; Lillerud, K.P. A New Zirconium Inorganic Building Brick Forming Metal Organic Frameworks with Exceptional Stability. J. Am. Chem. Soc. 2008, 130, 13850–13851. [Google Scholar] [CrossRef]
- Silva, C.G.; Luz, I.; Xamena, F.L.; Corma, A.; García, H. Water Stable Zr-Benzenedicarboxylate Metal-Organic Frameworks as Photocatalysts for Hydrogen Generation. Chem. Eur. J. 2010, 16, 11133–11138. [Google Scholar] [CrossRef]
- Zhang, W.; Yang, J.-M.; Yang, R.-N.; Yang, B.-C.; Quan, S.; Jiang, X. Effect of free carboxylic acid groups in UiO-66 analogues on the adsorption of dyes from water: Plausible mechanisms for adsorption and gate-opening behavior. J. Mol. Liq. 2019, 283, 160–166. [Google Scholar] [CrossRef]
- Xie, H.; Ma, D.; Liu, W.; Chen, Q.; Zhang, Y.; Huang, J.; Zhang, H.; Jin, Z.; Luo, T.; Peng, F.-M. Zr-Based MOFs as new photocatalysts for the rapid reduction of Cr(vi) in water. New J. Chem. 2020, 44, 7218–7225. [Google Scholar] [CrossRef]
- Schaate, A.; Roy, P.; Godt, A.; Lippke, J.; Waltz, F.; Wiebcke, M.; Behrens, P. Modulated Synthesis of Zr-Based Metal-Organic Frameworks: From Nano to Single Crystals. Chem. A Eur. J. 2011, 17, 6643–6651. [Google Scholar] [CrossRef]
- Zhang, A.; Liu, B.; Liu, M.; Xie, Z.; Wang, D.; Feng, G. The adsorption properties of defect controlled metal-organic frameworks of UiO-66. Sep. Purif. Technol. 2021, 270, 118842. [Google Scholar] [CrossRef]
- Wang, Y.; Peng, C.; Jiang, T.; Li, X. Research progress of defect-engineered UiO-66(Zr) MOFs for photocatalytic hydrogen pro-duction. Front. Energy 2021, 15, 656–666. [Google Scholar] [CrossRef]
- Shearer, G.; Chavan, S.; Bordiga, S.; Svelle, S.; Olsbye, U.; Lillerud, K. Defect Engineering: Tuning the Porosity and Compo-sition of the Metal-Organic Framework UiO-66 via Modulated Synthesis. Chem. Mater. 2016, 28, 3749–3761. [Google Scholar] [CrossRef]
- Zhang, X.; Zhang, S.; Ouyang, G.; Han, R. Removal of Cr(VI) from solution using UiO-66-NH2 prepared in a green way. Korean J. Chem. Eng. 2022, 39, 1839–1849. [Google Scholar] [CrossRef]
- Padmavathy, K.; Madhu, G.; Haseena, P. A study on Effects of pH, Adsorbent Dosage, Time, Initial Concentration and Adsorption Isotherm Study for the Removal of Hexavalent Chromium (Cr (VI)) from Wastewater by Magnetite Nanoparticles. Procedia Technol. 2016, 24, 585–594. [Google Scholar] [CrossRef]
- Zhuang, S.; Cheng, R.; Wang, J. Adsorption of diclofenac from aqueous solution using UiO-66-type metal-organic frameworks. Chem. Eng. J. 2019, 359, 354–362. [Google Scholar] [CrossRef]
- Arikawati, E.; Pranoto, T.; Saraswati, E. Preparation of Amine-Functionalized TiO2/Carbon Photocatalyst by Arc Discharge in Liquid. IOP Conf. Ser. Mater. Sci. Eng. 2017, 176, 012045. [Google Scholar] [CrossRef]
- Prakashbabu, D.; Krishna, R.H.; Nagabhushana, B.; Nagabhushana, H.; Shivakumara, C.; Chakradar, R.; Rama-lingam, H.; Sharma, S.; Chandramohan, R. Low temperature synthesis of pure cubic ZrO2 nanopowder: Structural and lumi-nescence studies, Spectrochim. Acta A Mol. Biomol. Spectrosc. 2014, 122, 216–222. [Google Scholar] [CrossRef]
- Abdullah, M.; Rajab, F.; Al-Abbas, S. Structural and optical characterization of Cr2O3 nanostructures: Evaluation of its dielectric properties. AIP Adv. 2014, 4, 027121. [Google Scholar] [CrossRef]
- Fang, L.; Ding, L.; Ren, W.; Hu, H.; Huang, Y.; Shao, P.; Yang, L.; Shi, H.; Ren, Z.; Han, K.; et al. High exposure effect of the ad-sorption site significantly enhanced the adsorption capacity and removal rate: A case of adsorption of hexavalent chromium by quaternary ammonium polymers (QAPs). J. Hazard. Mater. 2021, 416, 125829. [Google Scholar] [CrossRef]
- Yang, S.; He, D.; Zhang, L.; Zhang, Y.; Lu, J.; Luo, Y. Toxic chromium treatment induce amino-assisted electrostatic adsorption for the synthesis of highly dispersed chromium catalyst. J. Hazard. Mater. 2021, 417, 126155. [Google Scholar] [CrossRef]
- Ma, C.; Zhang, X.; Wen, K.; Wang, R.; Han, R. Facile synthesis of polyethyleneimine@Fe3O4 loaded with zirconium for enhanced phosphate adsorption: Performance and adsorption mechanism. Korean J. Chem. Eng. 2021, 38, 135–143. [Google Scholar] [CrossRef]
- Wang, C.; Xiong, C.; He, Y.; Yang, C.; Li, X.; Zheng, J.; Wang, S. Facile preparation of magnetic Zr-MOF for adsorption of Pb(II) and Cr(VI) from water: Adsorption characteristics and mechanisms. Chem. Eng. J. 2021, 415, 128923. [Google Scholar] [CrossRef]
- Xu, C.; Xu, Y.; Zhong, D.; Chang, H.; Mou, J.; Wang, H.; Shen, H. Zr4+ cross-linked chitosan-thiourea composite for efficient de-toxification of Cr(VI) ions in aqueous solution. Carbohydr. Polym. 2022, 296, 119872. [Google Scholar] [CrossRef]
- Zhang, Y.; Lan, G.; Liu, Y.; Zhang, T.; Qiu, H.; Li, F.; Yan, J.; Lu, Y. Enhanced adsorption of Cr (VI) from aqueous solution by zir-conium impregnated chitosan microspheres: Mechanism and equilibrium. Sep. Sci. Technol. 2021, 56, 2532–2545. [Google Scholar] [CrossRef]
- Zhang, X.; Liu, M.; Han, R. Adsorption of phosphate on UiO-66-NH2 prepared by a green synthesis method. J. Environ. Chem. Eng. 2021, 9, 106672. [Google Scholar] [CrossRef]













| MOFs | Specific Surface Area (m2·g−1) | Pore Size (nm) | Pore Volume (cm3·g−1) |
|---|---|---|---|
| U-N-0 | 1423.04 | 3.5 | 0.52 |
| U-N-0.5 | 1297.85 | 2.01 | 0.49 |
| U-N-1 | 1420.89 | 2.09 | 0.55 |
| U-N-2 | 1345.18 | 2.31 | 0.58 |
| U-N-4 | 1069.46 | 3.58 | 0.72 |
| Model | Equation | Parameter | qe(cal) (mg·g−1) | R2 |
|---|---|---|---|---|
| Pseudo-first-order | k1 = 0.00146 | 300.88 | 0.9662 | |
| Pseudo-first-order | k2 = 0.00000858 | 370.37 | 0.9885 |
| Temperature (K) | Langmuir Model | Freundlich Model | ||||
|---|---|---|---|---|---|---|
| qm (mg·g−1) | KL (L·mg−1) | R2 | KF (L·mg−1) | n | R2 | |
| 298 | 610.230 | 0.00754 | 0.9414 | 16.212 | 1.691 | 0.922 |
| 308 | 515.094 | 0.01496 | 0.9479 | 29.193 | 2.029 | 0.874 |
| 318 | 500.451 | 0.0204 | 0.9492 | 40.144 | 2.261 | 0.882 |
Disclaimer/Publisher’s Note: The statements, opinions and data contained in all publications are solely those of the individual author(s) and contributor(s) and not of MDPI and/or the editor(s). MDPI and/or the editor(s) disclaim responsibility for any injury to people or property resulting from any ideas, methods, instructions or products referred to in the content. |
© 2023 by the authors. Licensee MDPI, Basel, Switzerland. This article is an open access article distributed under the terms and conditions of the Creative Commons Attribution (CC BY) license (https://creativecommons.org/licenses/by/4.0/).
Share and Cite
Long, Q.; Wang, Y.; Zhao, R.; Wang, T.; Lai, F.; Hu, X.; Zeng, X. Precise Manipulation of Amino Groups in Zr-MOFs for Efficient Adsorption Performance. Crystals 2023, 13, 856. https://doi.org/10.3390/cryst13060856
Long Q, Wang Y, Zhao R, Wang T, Lai F, Hu X, Zeng X. Precise Manipulation of Amino Groups in Zr-MOFs for Efficient Adsorption Performance. Crystals. 2023; 13(6):856. https://doi.org/10.3390/cryst13060856
Chicago/Turabian StyleLong, Qinghua, Yongqing Wang, Ruiming Zhao, Tao Wang, Fanbing Lai, Xuebing Hu, and Xiaojun Zeng. 2023. "Precise Manipulation of Amino Groups in Zr-MOFs for Efficient Adsorption Performance" Crystals 13, no. 6: 856. https://doi.org/10.3390/cryst13060856
APA StyleLong, Q., Wang, Y., Zhao, R., Wang, T., Lai, F., Hu, X., & Zeng, X. (2023). Precise Manipulation of Amino Groups in Zr-MOFs for Efficient Adsorption Performance. Crystals, 13(6), 856. https://doi.org/10.3390/cryst13060856

