The Electrical Resistivity of Liquid Fe-16wt%S-2wt%Si at High Pressures and the Effect of S and Si on the Dynamo in the Ancient Vestan Core
Abstract
1. Introduction
1.1. Background
1.2. Previous Experiments

2. Materials and Methods
Electron Microprobe Analysis
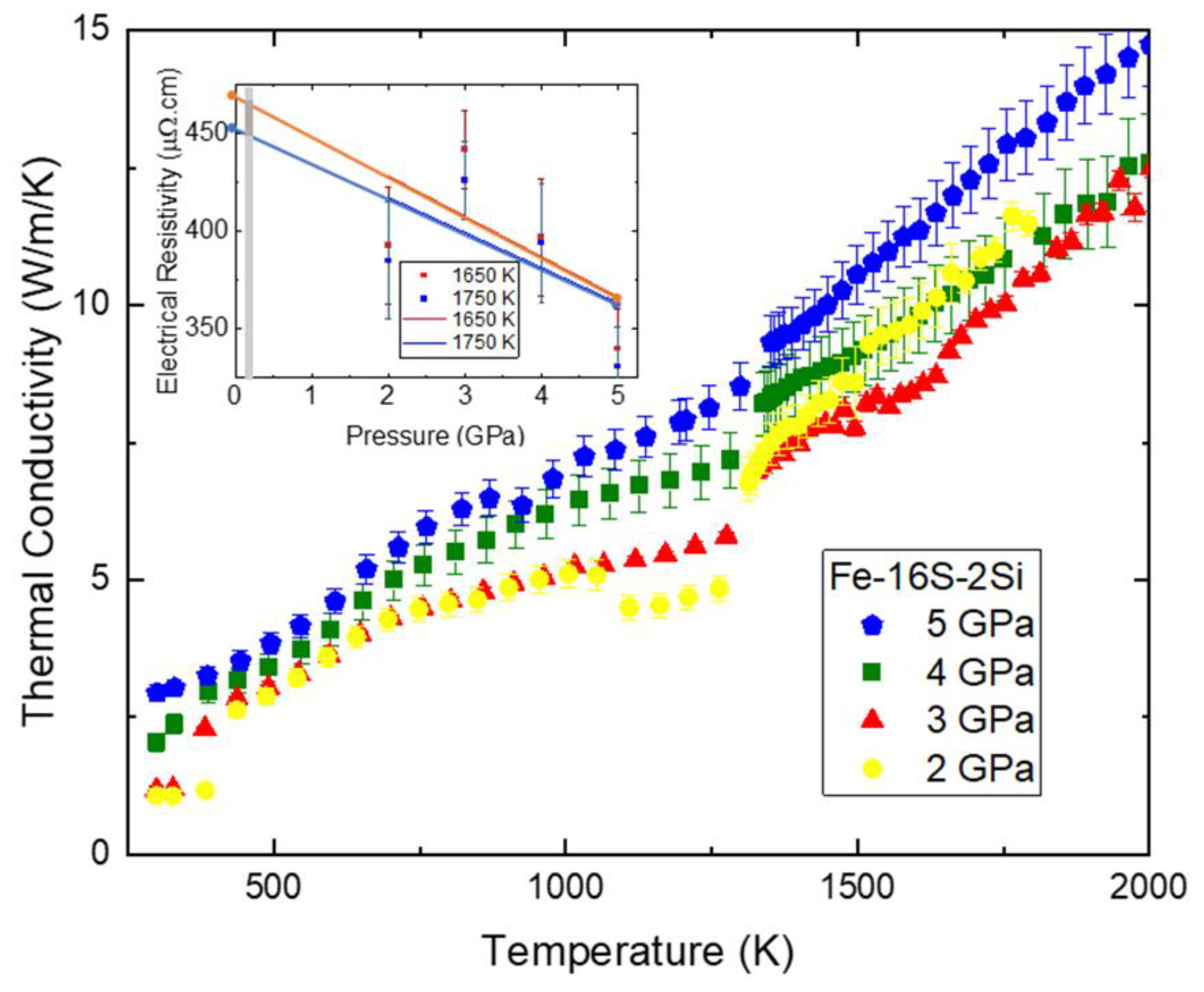
3. Results
4. Discussion
4.1. Heat Flux in the Core of Early Vesta
4.2. Modeling Heat Flow by Fe-16S-2Si Core Size
5. Conclusions
Author Contributions
Funding
Data Availability Statement
Acknowledgments
Conflicts of Interest
References
- Zhang, Y.; Sekine, T.; He, H.; Yu, Y.; Liu, F.; Zhang, M. Experimental constraints on light elements in the Earth’s outer core. Sci. Rep. 2016, 6, 22473. [Google Scholar] [CrossRef]
- Khan, A.; Sossi, P.A.; Liebske, C.; Rivoldini, A.; Giardini, D. Geophysical and cosmochemical evidence for a volatile-rich Mars. Earth Planet. Sci. Lett. 2022, 578, 117330. [Google Scholar] [CrossRef]
- Frost, D.A.; Avery, M.S.; Buffett, B.A.; Chidester, B.A.; Deng, J.; Dorfman, S.M.; Li, Z.; Liu, L.; Lv, M.; Martin, J.F. Multidisciplinary Constraints on the Thermal-Chemical Boundary Between Earth’s Core and Mantle. Geochem. Geophys. Geosystems 2022, 23, e2021GC009764. [Google Scholar] [CrossRef]
- Ricolleau, A.; Fei, Y.W.; Corgne, A.; Siebert, J.; Badro, J. Constraints on oxygen and silicon contents of Earth’s core from metal-silicate partitioning experiments at high pressure and temperature. Earth Planet. Sci. Lett. 2011, 310, 409–421. [Google Scholar] [CrossRef]
- Badro, J.; Fiquet, G.; Guyot, F.; Gregoryanz, E.; Occelli, F.; Antonangeli, D.; d’Astuto, M. Effect of light elements on the sound velocities in solid iron: Implications for the composition of Earth’s core. Earth Planet. Sci. Lett. 2007, 254, 233–238. [Google Scholar] [CrossRef]
- Georg, R.B.; Halliday, A.N.; Schauble, E.A.; Reynolds, B.C. Silicon in the Earth’s core. Nature 2007, 447, 1102–1106. [Google Scholar] [CrossRef]
- Trønnes, R.G.; Baron, M.A.; Eigenmann, K.R.; Guren, M.G.; Heyn, B.H.; Løken, A.; Mohn, C.E. Core formation, mantle differentiation and core-mantle interaction within Earth and the terrestrial planets. Tectonophysics 2019, 760, 165–198. [Google Scholar] [CrossRef]
- Malavergne, V.; Toplis, M.J.; Berthet, S.; Jones, J. Highly reducing conditions during core formation on Mercury: Implications for internal structure and the origin of a magnetic field. Icarus 2010, 206, 199–209. [Google Scholar] [CrossRef]
- Rama Murthy, V.; Hall, H.T. The Chemical Composition of the Earth’s Core: Possibility of Sulfur in the Core. Phys. Earth Planet. Inter. 1970, 2, 276–282. [Google Scholar] [CrossRef]
- Chabot, N.L.; McDonough, W.F.; Jones, J.H.; Saslow, S.A.; Ash, R.D.; Draper, D.S.; Agee, C.B. Partitioning behavior at 9 GPa in the Fe–S system and implications for planetary evolution. Earth Planet. Sci. Lett. 2009, 305, 425–434. [Google Scholar] [CrossRef]
- Keszthelyi, L.; Jaeger, W.L.; Turtle, E.P.; Milazzo, M.; Radebaugh, J. A post-Galileo view of Io’s interior. Icarus 2004, 169, 271–286. [Google Scholar] [CrossRef]
- Von Reichenbach, K.L. Über das innere Gefüge der näheren Bestandtheile des Meteoreisens. Ann. Der Phys. Chem. 1861, 21, 99–132. [Google Scholar] [CrossRef]
- Buchwald, V.F. Handbook of Iron Meteorites; University California Press: Oakland, CA, USA, 1975; 1418p. [Google Scholar]
- Wasson, J.T.; Kallemeyn, G.W. The IAB iron-meteorite complex: A group, five subgroups, numerous grouplets, closely related, mainly formed by crystal segregation in rapidly cooling melts. Geochim. Cosmochim. Acta 2002, 66, 2445–2473. [Google Scholar] [CrossRef]
- Russell, C.T.; Raymond, C.A.; Coradini, A.; Mcsween, H.Y.; Zuber, M.T.; Nathues, A.; Sanctis, M.C.D.E.; Jaumann, R.; Konopliv, A.S.; Preusker, F.; et al. Dawn at Vesta: Testing the Protoplanetary Paradigm. Science 2012, 336, 684–686. [Google Scholar] [CrossRef]
- Ermakov, A.I.; Zuber, M.T.; Smith, D.E.; Raymond, C.A.; Balmino, G.; Fu, R.R.; Ivanov, B.A. Constraints on Vesta’s interior structure using gravity and shape models from the Dawn mission. Icarus 2014, 240, 146–160. [Google Scholar] [CrossRef]
- Mittlefehldt, D.W. Asteroid (4) Vesta: I. The howardite-eucrite-diogenite (HED) clan of meteorites. Chem. Erde 2015, 75, 155–183. [Google Scholar] [CrossRef]
- Fu, R.R.; Weiss, B.P.; Shuster, D.L.; Gattacceca, J.; Grove, T.L.; Suavet, C.; Lima, E.A.; Li, L.; Kuan, A.T. An ancient core dynamo in asteroid Vesta. Science 2012, 338, 238–241. [Google Scholar] [CrossRef]
- Steenstra, E.S.; Dankers, D.; Berndt, J.; Klemme, S.; Matveev, S.; van Westrenen, W. Significant depletion of volatile elements in the mantle of asteroid Vesta due to core formation. Icarus 2019, 317, 669–681. [Google Scholar] [CrossRef]
- Toplis, M.J.; Mizzon, H.; Monnereau, M.; Forni, O.; McSween, H.Y.; Mittlefehldt, D.W.; McCoy, T.J.; Prettyman, T.H.; De Sanctis, M.C.; Raymond, C.A.; et al. Chondritic models of 4 Vesta: Implications for geochemical and geophysical properties. Meteorit. Planet. Sci. 2013, 48, 2300–2315. [Google Scholar] [CrossRef]
- Pringle, E.A.; Savage, P.S.; Badro, J.; Barrat, J.-A.; Moynier, F. Redox state during core formation on asteroid 4-Vesta. Earth Planet. Sci. Lett. 2013, 373, 75–82. [Google Scholar] [CrossRef]
- Dreibus, G.; Bruckner, J.; Wanke, H. On the Core Mass of the Asteroid Vesta. Meteorit. Planet. Sci. 1997, 32, A36. [Google Scholar]
- Weiss, B.P.; Gattacceca, J.; Stanley, S.; Rochette, P.; Christensen, U.R. Paleomagnetic Records of Meteorites and Early Planetesimal Differentiation. Space Sci. Rev. 2010, 152, 341–390. [Google Scholar] [CrossRef]
- Formisano, M.; Federico, C.; De Angelis, S.; De Sanctis, M.C.; Magni, G. A core dynamo in Vesta? Mon. Not. R. Astron. Soc. 2016, 458, 695–707. [Google Scholar] [CrossRef]
- Lenhart, E.M.; Secco, R.A. Implications for the Energy Source for an Early Dynamo in Vesta from Experiments on Electrical Resistivity of Liquid Fe-10wt%Ni at High Pressures. Icarus 2022, 378, 114962. [Google Scholar] [CrossRef]
- Dauphas, N.; Poitrasson, F.; Burkhardt, C.; Kobayashi, H.; Kurosawa, K. Planetary and meteoritic Mg/Si and δ30Si variations inherited from solar nebula chemistry. Earth Planet. Sci. Lett. 2015, 427, 236–248. [Google Scholar] [CrossRef]
- Sanloup, C.; Fei, Y. Closure of the Fe–S–Si liquid miscibility gap at high pressure. Phys. Earth Planet. Inter. 2004, 147, 57–65. [Google Scholar] [CrossRef]
- Morard, G.; Katsura, T. Pressure-temperature cartography of Fe-S-Si immiscibility system. Geochim. Cosmochim. Acta 2010, 74, 3659–3667. [Google Scholar] [CrossRef]
- Chabot, N.L.; Wollack, E.A.; Klima, R.L.; Manitti, M.E. Experimental constraints on Mercury’s core composition. Earth Planet. Sci. Lett. 2014, 390, 199–208. [Google Scholar] [CrossRef]
- Berrada, M.; Secco, R.A. Review of Electrical Resistivity Measurements and Calculations of Fe and Fe-Alloys Relating to Planetary Cores. Front. Earth Sci. 2021, 9, 732289. [Google Scholar] [CrossRef]
- Pommier, A.; Leinenweber, K.; Tran, T. Mercury’s thermal evolution controlled by an insulating liquid outermost core? Earth Planet. Sci. Lett. 2019, 517, 125–134. [Google Scholar] [CrossRef]
- Littleton, J.A.H.; Yong, W.; Secco, R.A. Electrical resistivity of the Fe-Si-S ternary system: Implications for timing of thermal convection shutdown in the lunar core. Sci. Rep. 2022, 12, 19031. [Google Scholar] [CrossRef]
- Lenhart, E.M.; Yong, W.; Secco, R.A.; Flemming, R. Electrical resistivity of liquid Fe-8wt%S-4.5wt%Si at high pressures with implications for heat flux through the cores of Io and sub-earth exoplanets. Icarus 2023, 395, 115472. [Google Scholar] [CrossRef]
- Suehiro, S.; Ohta, K.; Hirose, K.; Morard, G.; Ohishi, Y. The influence of sulfur on the electrical resistivity of hcp iron: Implications for the core conductivity of Mars and Earth. Geophys. Res. Lett. 2017, 44, 8254–8259. [Google Scholar] [CrossRef]
- Littleton, J.A.H.; Secco, R.A.; Yong, W. Thermal Convection in the Core of Ganymede Inferred from Liquid Eutectic Fe-FeS Electrical Resistivity at High Pressures. Crystals 2021, 11, 875. [Google Scholar] [CrossRef]
- Pommier, A. Influence of sulfur on the electrical resistivity of a crystallizing core in small terrestrial bodies. Earth Planet. Sci. Lett. 2018, 496, 37–46. [Google Scholar] [CrossRef]
- Berrada, M.; Secco, R.A.; Yong, W.; Littleton, J.A.H. Electrical Resistivity Measurements of Fe-Si with Implications for the Earth Lunar Dynamo. J. Geophys. Res. 2020, 125, e2020JE006380. [Google Scholar] [CrossRef]
- Silber, R.E.; Secco, R.A.; Yong, W.; Littleton, J.A.H. Heat Flow in Earth’s Core from Invariant Electrical Resistivity of Fe-Si on the Melting Boundary to 9 GPa: Do Light Elements Matter? J. Geophys. Res. 2019, 124, 5521–5543. [Google Scholar] [CrossRef]
- Orole, O.A.; Wenjun, Y.; Secco, R.A. Thermal Convection in Vesta’s Core from Experimentally-Based Conductive Heat Flow Estimates. Crystals 2022, 12, 1752. [Google Scholar] [CrossRef]
- Ezenwa, I.C.; Secco, R.A. Electronic transition in solid Nb at high pressure and temperature. J. Appl. Phys. 2017, 121, 22. [Google Scholar] [CrossRef]
- Littleton, J.A.H.; Secco, R.A.; Yong, W.; Berrada, M. Electrical resistivity and thermal conductivity of W and Re up to 5 GPa and 2300 K. J. Appl. Phys. 2019, 125, 13. [Google Scholar] [CrossRef]
- Zhang, Y.; Luo, K.; Hou, M.; Driscoll, P.; Salke, N.P.; Minár, J.; Prakapenka, V.B.; Greenberg, E.; Hemley, R.J.; Cohen, R.E.; et al. Thermal conductivity of Fe-Si alloys and thermal stratification in Earth’s core. Proc. Natl. Acad. Sci. USA 2021, 119, e2119001119. [Google Scholar] [CrossRef]
- Pozzo, M. (Department of Earth Sciences, University College London, London, UK). Personal communication, 2023.
- Pozzo, M.; Davies, C.; Gubbins, D.; Alfè, D. Thermal and electrical conductivity of iron at Earth’s core conditions. Nature 2012, 485, 355–358. [Google Scholar] [CrossRef]
- Pozzo, M.; Davies, C.; Gubbins, D.; Alfè, D. Transport properties for liquid silicon-oxygen-iron mixtures at Earth’s core conditions. Phys. Rev. B 2013, 87, 014110. [Google Scholar] [CrossRef]
- Pozzo, M.; Davies, C.; Gubbins, D.; Alfè, D. Thermal and electrical conductivity of solid iron and iron–silicon mixtures at Earth’s core conditions. Earth Planet. Sci. Lett. 2014, 393, 159–164. [Google Scholar] [CrossRef]
- Pozzo, M.; Alfè, D. Saturation of electrical resistivity of solid iron at Earth’s core conditions. SpringerPlus 2016, 5, 256. [Google Scholar] [CrossRef]
- Pozzo, M.; Davies, C.J.; Alfè, D. Towards reconciling experimental and computational determinations of Earth’s core thermal conductivity. Earth Planet. Sci. Lett. 2022, 584, 117466. [Google Scholar] [CrossRef]
- Secco, R.A. Thermal conductivity and Seebeck coefficient of Fe and Fe-Si alloys: Implications for variable Lorenz number. Phys. Earth Planet. Inter. 2017, 265, 23–34. [Google Scholar] [CrossRef]
- Mao, H.-K.; Mao, W.L. Treatise on Geophysics Volume 2 Mineral Physics; Price, G.D., Schubert, G., Eds.; Elsevier Ltd.: Waltham, MA, USA, 2007; pp. 231–267. [Google Scholar]
- Ryzhenko, B.; Kennedy, G.C. The Effect of Pressure on the Eutectic in the System Fe-FeS. Am. J. Sci. 1973, 273, 803–810. [Google Scholar] [CrossRef]
- Buono, A.S.; Walker, D. H, not O or pressure, causes eutectic T depression in the Fe-FeS System to 8 Gpa. Meteorit. Planet. Sci. 2014, 50, 547–554. [Google Scholar] [CrossRef]
- Weiss, R.J.; Marotta, A.S. Spin-dependence of the resistivity of magnetic metals. J. Phys. Chem. Solids 1959, 9, 302–308. [Google Scholar] [CrossRef]
- Silber, R.E.; Secco, R.A.; Yong, W.; Littleton, J.A.H. Electrical resistivity of liquid Fe to 12 GPa: Implications for heat flow in cores of terrestrial bodies. Sci. Rep. 2018, 8, 10758–10759. [Google Scholar] [CrossRef]
- Chen, B.; Gao, L.; Funakoshi, K.; Li, J. Thermal expansion of iron-rich alloys and implications for the Earth’s core. Proc. Natl. Acad. Sci. USA 2007, 104, 9162–9167. [Google Scholar] [CrossRef]
- Zhang, J.; Guyot, F. Thermal equation of state of iron and Fe 0.91 Si 0.09. Phys. Chem. Miner. 1999, 26, 206–211. [Google Scholar] [CrossRef]
- Morard, G.; Bouchet, J.; Rivoldini, A.; Antonangeli, D.; Roberge, M.; Boulard, E.; Denoeud, A.; Mezouar, M. Liquid properties in the Fe-FeS system under moderate pressure: Tool box to model small planetary cores. Am. Mineral. 2018, 103, 1770–1779. [Google Scholar]
- Pommier, A. Experimental investigation of the effect of nickel on the electrical resistivity of Fe-Ni and Fe-Ni-S alloys under pressure, Am. Mineral. 2020, 105, 1069–1077. [Google Scholar] [CrossRef]
- Kuang, W.; Bloxham, J. An Earth-like numerical dynamo model. Nature 1997, 389, 371–374. [Google Scholar] [CrossRef]
- Stevenson, D.J. Planetary Magnetic Fields: Achievements and Prospects. Space Sci. Rev. 2010, 152, 651–664. [Google Scholar] [CrossRef]
- Sanloup, C.; Guyot, F.; Gillet, P.; Fiquet, G.; Mezouar, M.; Martinez, I. Density measurements of liquid Fe-S alloys at high pressure. Geophys. Res. Lett. 2000, 27, 811–814. [Google Scholar] [CrossRef]








| Contribution to Error | Estimated Error Range | Data Units |
|---|---|---|
| Voltage Measurement | 0.1–2% | mV |
| Current Variation | 10−11–10−9% | A |
| Sample Geometry Variation | 1–10% | mm |
| Thermocouple Error | 0.1–1% | K |
| Temperature Measurement | 0.01–1% | K |
| Resistivity of Re | 0.1–1% | μΩ·cm |
Disclaimer/Publisher’s Note: The statements, opinions and data contained in all publications are solely those of the individual author(s) and contributor(s) and not of MDPI and/or the editor(s). MDPI and/or the editor(s) disclaim responsibility for any injury to people or property resulting from any ideas, methods, instructions or products referred to in the content. |
© 2024 by the authors. Licensee MDPI, Basel, Switzerland. This article is an open access article distributed under the terms and conditions of the Creative Commons Attribution (CC BY) license (https://creativecommons.org/licenses/by/4.0/).
Share and Cite
Lenhart, E.M.; Yong, W.; Secco, R.A. The Electrical Resistivity of Liquid Fe-16wt%S-2wt%Si at High Pressures and the Effect of S and Si on the Dynamo in the Ancient Vestan Core. Crystals 2024, 14, 565. https://doi.org/10.3390/cryst14060565
Lenhart EM, Yong W, Secco RA. The Electrical Resistivity of Liquid Fe-16wt%S-2wt%Si at High Pressures and the Effect of S and Si on the Dynamo in the Ancient Vestan Core. Crystals. 2024; 14(6):565. https://doi.org/10.3390/cryst14060565
Chicago/Turabian StyleLenhart, Erin M., Wenjun Yong, and Richard A. Secco. 2024. "The Electrical Resistivity of Liquid Fe-16wt%S-2wt%Si at High Pressures and the Effect of S and Si on the Dynamo in the Ancient Vestan Core" Crystals 14, no. 6: 565. https://doi.org/10.3390/cryst14060565
APA StyleLenhart, E. M., Yong, W., & Secco, R. A. (2024). The Electrical Resistivity of Liquid Fe-16wt%S-2wt%Si at High Pressures and the Effect of S and Si on the Dynamo in the Ancient Vestan Core. Crystals, 14(6), 565. https://doi.org/10.3390/cryst14060565

