Abstract
A hypothetical full-Heusler alloy, Sc2VGe, was analyzed, and the comparison between the XA and L21 structures of this alloy was studied based on first-principles calculations. We found that the L21-type structure was more stable than the XA one. Further, the electronic structures of both types of structure were also investigated based on the calculated band structures. Results show that the physical nature of L21-type Sc2VGe is metallic; however, XA-type Sc2VGe is a half-metal (HM) with 100% spin polarization. When XA-type Sc2VGe is at its equilibrium lattice parameter, its total magnetic moment is 3 , and its total magnetism is mainly attributed to the V atom. The effects of uniform strain and tetragonal lattice distortion on the electronic structures and half-metallic states of XA-type Sc2VGe were also studied. All the aforementioned results indicate that XA-type Sc2VGe would be an ideal candidate for spintronics studies, such as spin generation and injection.
1. Introduction
Since 1983 Groot et al. [1] reported NiMnSb was a half-metal (HM) for the first time, Heusler alloys, including half-Heulser (HH) [2,3,4,5] and full-Heusler (FH) alloys [6,7,8,9,10,11,12,13,14,15], have attracted extensive attention from researchers. HMs [16,17,18,19,20] have broad application prospects in the field of spintronics or magnetoelectronics due to the theoretical prediction of their 100% spin polarization.
In recent years, HH compounds with HM properties have been widely reported [21,22,23]. Some examplesare as follows: in 2011, Chen et al. [24] found that GeKCa and SnKCa exhibit HM properties, and that these alloys have large HM band gap values of 0.28 eV and 0.27 eV, respectively. In 2012, Yao et al. [25] found that CoCrP and CoCrAs have HM properties with HM band gap values of 0.46 eV and 0.50 eV, respectively. It was also found that, in terms of lattice distortion, the HM properties of these alloys can be maintained in the range of −4.8% to 6.6% and −7.7% to 4.5%, respectively. The discovery of the presence of HM properties in HH alloys has led to the availability of more options for spintronics materials [26,27].
A series of FH compounds with HM properties were also reported by researchers [28]. For example, Kogachi et al. [29] studied the electronic and magnetic properties of Co2MnZ (Z = Si, Ge, Sn). Liu et al. [30] investigated the electronic structures of Mn2CoZ (Z = Al, Si, Ge, Sn, Sb) in detail and found two mechanisms to induce the band gap for minority spin states near the Fermi level; Wang et al. [31] studied the electronic and magnetic properties of FH alloy Zr2CoZ (Z = Al, Ga, In, Si, Ge, Sn, Pb, Sb) and found that the half-metallicities are robust against lattice distortion; Wang et al. also studied the site preferences of the Titanium-based [32] and Hf2V-based [33] FH alloys, and found that most of these alloys are likely to form the L21 structure instead of the XA structure. Thus, the traditional site-preference rule (SPR) may not be suitable for all FH alloys, such as X2YZ, where X is a low-valent transition metal element, such as, Ti, Zr, Sc, and Hf.
There are also some reports about the scandium-based (SB) FH alloys. In 2013, Zhang et al. [34] studied a series of SB FH compounds and found that some SB compounds with the XA structure can exhibit nontrivial topological band ordering. In 2017, Li et al. [35] studied the thermoelectric characteristics of FH Sc2FeSi and Sc2FeGe and found maximum power factors of 48.77 × 1014 µW cm−1 K−2 s−1 and 47.11 × 1014 µW cm−1 K−2 s−1 for Sc2FeSi and Sc2FeGe, respectively.
In this study, we will focus on a new FH alloy, Sc2VGe, and perform a complete first-principle study of the site-preference, electronic, magnetic, and half-metallic properties of this material. Further, phase stability in terms of the calculated formation and cohesive energies is also explained. Moreover, the conduction band minimum (CBM), valence band maximum (VBM), band gap and half-metallic band gap, total and atomic magnetic moments, and electronic band structures as functions of the lattice parameter and c/a ratio will be discussed in detail.
2. Calculation Methods
In this study, the plane-wave pseudopotential method within CASTEP [36], which uses density functional theory, was used to calculate the physical properties of the material. The generalized gradient approximation (GGA) [37] was used in the scheme of Perdew–Burke–Ernzerh of (PBE) [38] to deal with the exchange and correlation functions between electrons. The cutoff energy for plane waves was set to 450 eV, and the convergence was set to 5 × 10−7 eV using 12 × 12 × 12 mesh points grid. The above parameters ensure the accuracy of the calculated results based on the references [39]. Similar methods to investigate the electronic structures of Heusler alloys can be found in [30,31,32,33].
3. Results and Discussions
3.1. Competition of L21 and XA Structurein Full-Heusler Sc2VGe
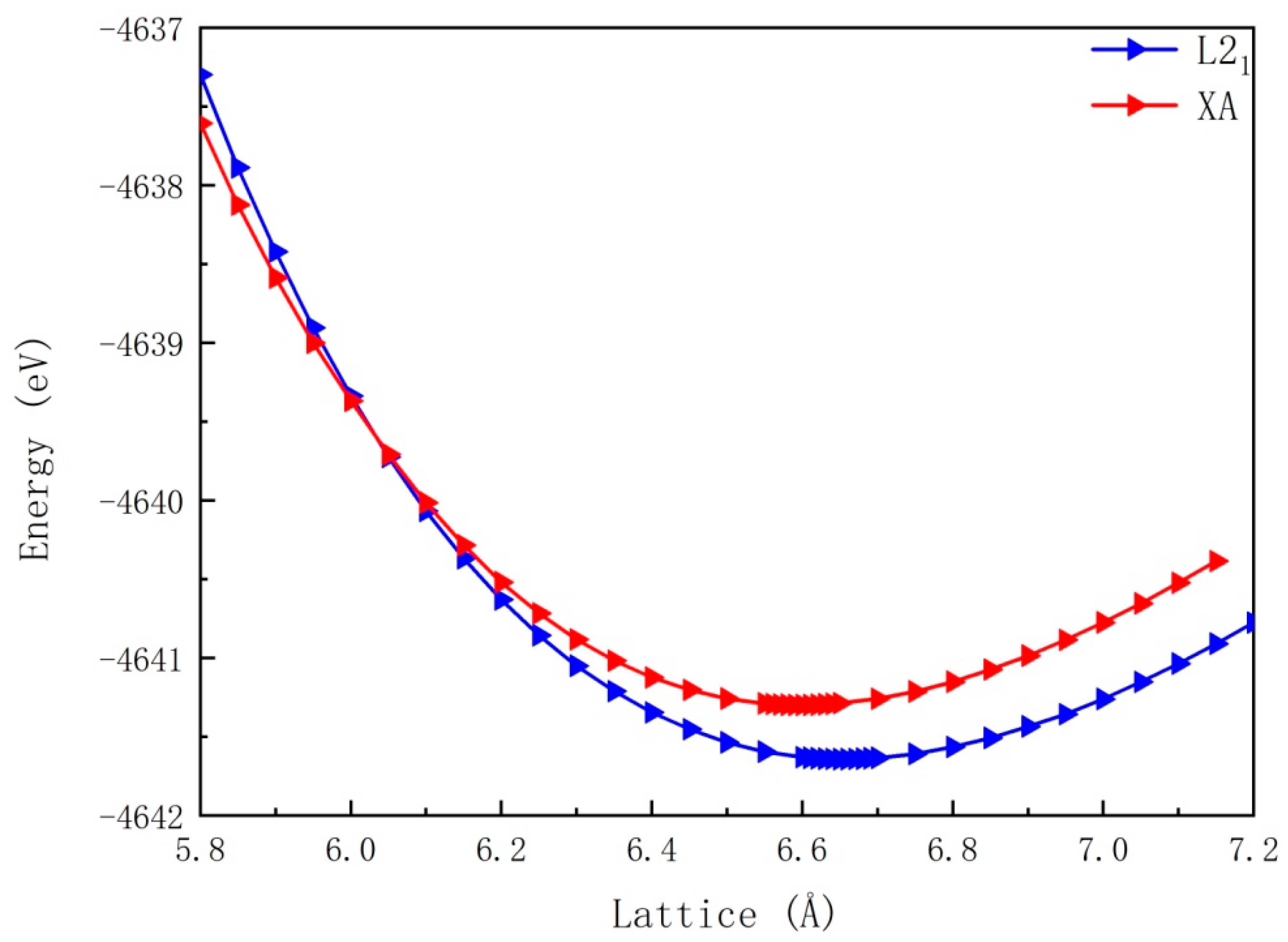
It is well known that there are four atomic sites for FH alloys, i.e., A (0, 0, 0), B (0.25, 0.25, 0.25), C (0.5, 0.5, 0.5), and D (0.75, 0.75, 0.75). When atomic occupancy is X (A)-X (B)-Y (C)-Z (D), the XA structure is formed; on the other hand, when atomic occupancy is X (A)-Y (B)-X (C)-Z (D), the L21 structure is formed [40]. For Sc2VGe compound, the two structures are shown in Figure 1. According to the traditional SPR [40,41,42,43,44,45], the V atom has more valence electrons than the Sc atom and tends to occupy the C position, the two Sc atoms occupy A and B positions, respectively, and the Ge atom occupies the D position, thus, preferring to form the XA structure. However, we should point out that traditional SPR may not be suitable for all FH alloys. Therefore, for both the types, we focused on the relationship between their total energies during FM state and lattice parameters in this study. From Figure 2 and Table 1, we see that L21 type has a lower total energy; therefore, L21-type structure is considered more stable than the XA type. Interestingly, the calculated results are contrary to that of SPR, that is, here, the most stable structure of Heusler Sc2VGe alloy is found to be the L21 type instead of XA type. For the XA-type Sc2VGe, the calculated magnetic moment is 3 and it conforms well to the Slater–Pauling rule: Mt = Zt − 18 [46,47].
Figure 1.
Crystal structures of XA and L21-type for Sc2VGe compound.
Figure 2.
Between the lattice parameter and the total energy for Sc2VGe compound with XA and L21 structures. The energies in this figure were calculated per unit cell of Sc2VGe.
Table 1.
Calculated total and atomic magnetic moments and total energy for Sc2VGe compound. The energies in this table were calculated per unit cell of Sc2VGe.
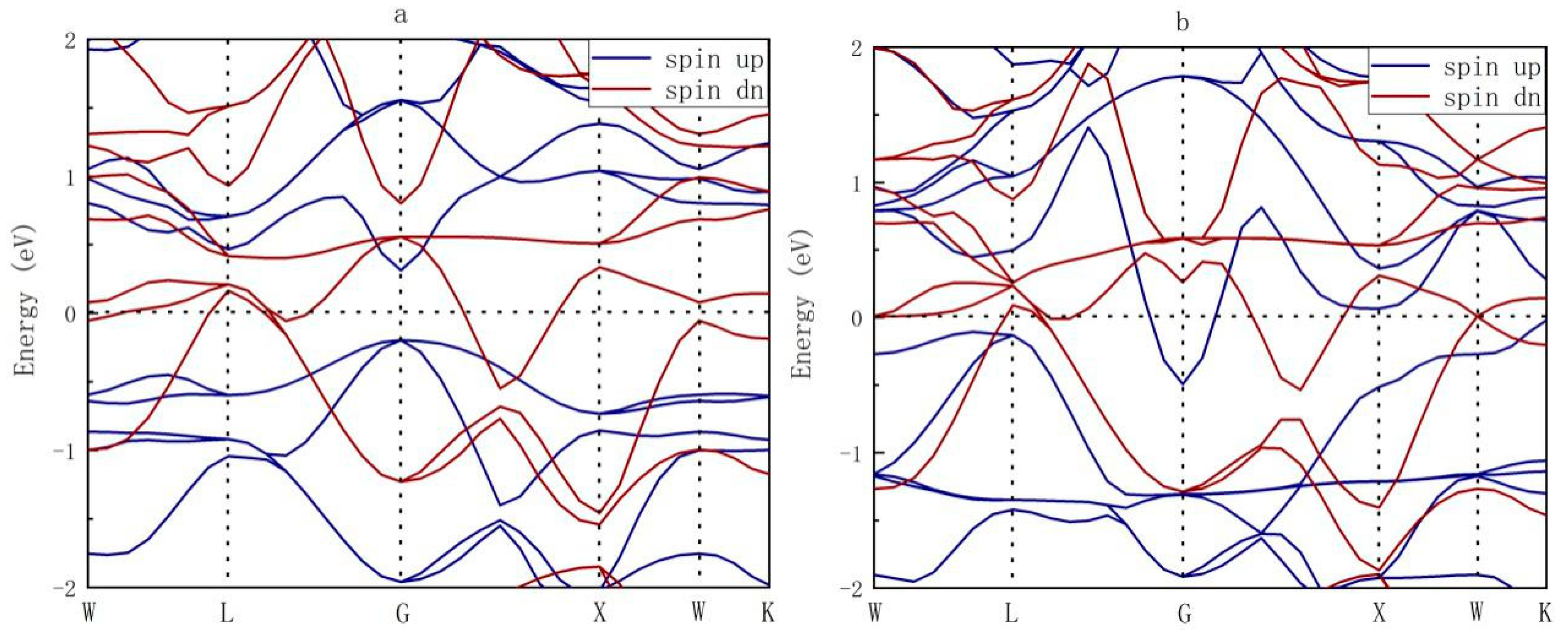
We further calculated the band structures of the two types of Sc2VGe compound. It can be noted from Figure 3 that XA-type Sc2VGe (Figure 3a) is a HM with a direct band gap (at point G). Furthermore, the spin-up channel of Sc2VGe exhibits semiconducting property and the spin-down channel of it shows a metallic behavior. Based on the obtained band structures of XA-type Sc2VGe, we can see that 100% spin polarization [48,49] occurs near the Fermi level. On the other hand, L21-type Sc2VGe (Figure 3b) shows metallic behavior. In short, the band structures for both the spin channels in the Fermi level overlap with each other and reflect a metallic behavior.
Figure 3.
Band structures for Sc2VGe: (a) XA type and (b) L21 type.
3.2. Thermal Stability of XA-Type Sc2VGe
To determine the stability of XA-type Sc2VGe compound, the cohesive energy (Ec) was calculated. The Ec per unit cell can be expressed using the following formula [50]:
where is the total energy of the Sc2VGe compound, , , and are the energies of the isolated atoms Sc, V, and Ge, respectively. The calculated Ec of Sc2VGe compound is 20.62 eV, indicating that the chemical bonding of Sc2VGe compound is firm.
In addition, formation energy (Ef) is another way to describe the stability of crystals. We use the following formula to characterize Ef per unit cell of Sc2VGe [50]:
where is the same as mentioned above, , , and are energies of Sc, V, and Ge bulks, respectively. The calculated Ef of Sc2VGe compound is −3.64 eV, which is a negative value theoretically indicating that Sc2VGe compound is thermally stable.
Based on the results of Ec and Ef, it can be said that the XA-type Sc2VGe compound is found to be stable in terms of theory. We hope this material can be experimentally synthesized in the near future.
3.3. Total and Partial Density of States of XA-Type Sc2VGe
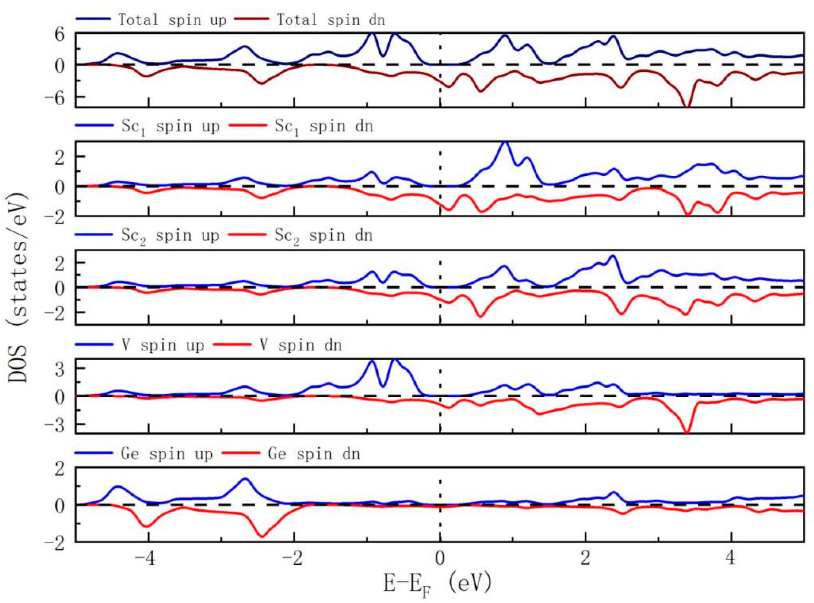
To analyze the contribution of each atom to the energy bands, we calculated the total density of states (TDOS) and the partial density of states (PDOS) for each atom. It can be seen from Figure 4 that the low range of energy states (lower than −2 eV) of TDOS are mainly due to the contribution of the atoms of the main group element Ge, such as the peak in the energies between −4 eV and −5 eV and peak in the energies between −3 eV and −2 eV. There are two obvious peaks in spin-up channels near the Fermi level that range from −1 eV to 0 eV, and the main TDOS in this range comes from the contributions of V atom. Further, Sc1 and Sc2 atoms also contribute a small part to the energy states from −1 eV to 0 eV. Near the Fermi level, the TDOS of the spin-up channel is zero and has a large energy gap, whereas the spin-down channel is not zero, which mainly results from the hybridization among Sc1, Sc2, and V atoms. From the DOS, similar to the calculated band structures, one can see that half-metallic property with full spin polarization is found in XA-type Sc2VGe. Moreover, from the TDOS, we can see that the energy gap in the spin-up direction is generated by four peaks, two peaks below, and two peaks above the Fermi level. As discussed previously, the two peaks below the Fermi level are mainly derived from the d orbital of V atoms. The two peaks above the Fermi level, as can be clearly seen, are mainly derived from the d orbital of Sc atoms. Moreover, the hybridization of d-d orbitals between V and Sc atoms plays an important role, which cannot be ignored, in the formation of energy gap in the spin-up channel.
Figure 4.
Density of states (TDOS) and partial density of states (PDOS) for XA-type Sc2VGe.
3.4. Effect of Uniform Strain on XA-Type Sc2VGe
Uniform strain is an important way to regulate the band structures, i.e., the physics nature of alloys. In this section, we will discuss the effect of uniform strain on the band structures of XA-type Sc2VGe alloy. Firstly, we aim to study the physical nature transition of XA-type Sc2VGe as the lattice parameter changes from 5.80 Å to 7.20 Å. The results are shown in Figure 5. When the lattice parameter of XA-type Sc2VGe is smaller than 6.16 Å, it is considered to be a magnetic metal, as shown in Figure 5a. When the lattice parameter is between 6.16 Å and 6.54 Å (see Figure 5b), XA-type Sc2VGe is a HM material with an indirect band gap in the spin-up channel. When the lattice parameter is between 6.54 Å and 6.69 Å, half-metallic behavior with direct band gap can be found in the XA-type Sc2VGe, as exhibited in Figure 5c,d. When the lattice parameter is larger than 6.69 Å, the HM property of this alloy breaks and a metallic property appears instead.
Figure 5.
Band structures for the XA-type Sc2VGe at its uniform strained lattice parameters. The blue lines represent the spin-up channel.
Figure 6a shows the calculated CBM, VBM, band gap, and half-metallic band gap in the spin-up channel at different lattice parameters for XA-type Sc2VGe. One can see that the half-metallic band gap gradually increases from 6.2 Å, and then gradually decreases after reaching a maximum value at 6.6 Å, and finally disappears at approximately 6.7 Å. More importantly, the maximum half-metallic band gap at around 6.6 Å is about 0.2 eV. Such a large value ensures that the half-metallic property of this material is not affected by external factors. On the other hand, we can see that the band gap in the spin-up direction of this material almost remains constant over the lattice range of 6.2 Å to 6.4 Å. When the lattice parameter is in the range of 6.4 Å to 6.7 Å, the band gap is significantly reduced.
Figure 6.
(a) band minimum (CBM), valence band maximum (VBM), Band gaps, and half-metal (HM) gaps of the spin-up channel bands as a function of lattice parameter, and (b) the total and atomic magnetic moments as a function of lattice parameter for XA-type Sc2VGe.
The total and atomic magnetic moments under uniform strain were also studied. The results are shown in Figure 6b. We can see that the total magnetic moment of XA-type Sc2VGe hardly changes as the lattice parameter changes. For atomic magnetic moments, as the lattice parameters increase, the atomic magnetic moment of V gradually increases, while the atomic magnetic moments of other atoms gradually decrease.
3.5. The effect of Tetragonal Lattice Distortion on XA-Type Sc2VGe
The effect of tetragonal distortion on the electronic structures of XA-type Sc2VGe was studied. Firstly, we studied the physical transition during a change in the c/a ratio when in the range of 0.75~1.25. As shown in Figure 7, when the range of c/a ratio is between 0.80 to 1.22 (see Figure 7b–e), the compound shows the HM property. On the other hand, it is a metal when the c/a ratio is lower than 0.80 (see Figure 7a) or higher than 1.22 (see Figure 7f).
Figure 7.
Band structures for the XA-type Sc2VGe at its tetragonal distortion lattice parameters.
As shown in Figure 8a, the largest HM gap appears when c/a=1. As the c/a ratio increases (or decreases), the VBM in the spin-up channel gradually decreases, and therefore, the HM band gap decreases. The band gap does not change much when the c/a ratio is in the range of 0.85 to 1.15. The reason behind this can be understood from Figure 8a. In this interval, when c/a increases or decreases, although the VBM always decreases, the CBM shows an increasing trend, such that the overall band gap remains almost unchanged.
Figure 8.
(a) VBM, Bandgaps, and HM gaps of the spin-up channel band as a function of c/a for XA-type Sc2VGe, and (b) the total and atomic magnetic moments as a function of c/a for XA-type Sc2VGe.
Finally, we study the effect of tetragonal distortion of XA-type Sc2VGe on its magnetic property. It can be seen from Figure 8b that the magnetic moments of unit cell and each atom vary slightly when the c/a ratio ranges from 0.75 to 1.25, which show that the magnetism of the material is quite stable and has a strong resistance to tetragonal lattice distortion.
4. Conclusions
In this study, we focused on FH alloy Sc2VGe, and showed a complete first-principle study on the site-preference, electronic, magnetic, and half-metallic properties of this material. The main results are as follows:
- (i)
- The site-preference of FH alloy Sc2VGe was examined, and results showed that the L21 type is more stable than the XA type. We further calculated the electronic structures of both types of Sc2VGe and found that the XA-type alloy was an excellent half-metallic material, whereas the L21-type alloy was a magnetic metal. XA-type Sc2VGe can intrinsically provide single spin channel electrons, and therefore this material can be used for pure spin generation and injection.
- (ii)
- When XA-type Sc2VGe is at its equilibrium lattice parameter, its total magnetic moment is 3 μB, which is in accordance with the well-known Slater–Pauling rule, and the main contribution to the total magnetism came from V atoms.
- (iii)
- The effects of uniform strain and tetragonal lattice distortion on the electronic structures of XA-type Sc2VGe were also studied. We found that the half-metallic state can be maintained in a large area of the lattice parameter and the c/a ratio, indicating that XA-type Sc2VGe is a robust half-metallic material.
- (iv)
- The formation energy and cohesive energy were calculated and results showed that this alloy has extensive scope for use in experiments.
- (v)
- The half-metallic band gap and the band gap in the spin-up channel as a function of the lattice parameter and the c/a ratio were taken into consideration for XA-type Sc2VGe, and we found that the maximum half-metallic band gap around 6.6 Å was approximately 0.2 eV. Such a large value ensures that the half-metallic property of this material is not affected by external factors.
- (vi)
- All the aforementioned results indicate that XA-type Sc2VGe would be an ideal candidate in spintronics.
Author Contributions
Methodology, Z.C.; software, Z.C.; investigation, Z.C., H.X.; writing—original draft preparation, Z.C.; writing—review and editing, Y.G.; supervision, X.W., T.Y., Y.G.
Funding
This research received no external funding.
Conflicts of Interest
The authors declare no conflict of interest.
References
- Groot, R.A.D.; Mueller, F.M.; Engen, P.G.V.; Buschow, K.H.J. New class of materials: Half-metallic ferromagnets. Phys. Rev. Lett. 1983, 50, 2024–2027. [Google Scholar] [CrossRef]
- Haque, E.; Hossain, M.A. First-principles study of elastic, electronic, thermodynamic, and thermoelectric transport properties of TaCoSn. Results Phys. 2018, 10, 458–465. [Google Scholar] [CrossRef]
- Tang, Y.; Li, X.; Martin, H.J.; Reyes, E.C.; Ivas, T.; Leinenbach, C.; Anand, S.; Peters, M.; Snyde, G.; Battaglia, C. Impact of Ni content on the thermoelectric properties of half-Heusler TiNiSn. Energy Environ. Sci. 2018, 11, 311–320. [Google Scholar] [CrossRef]
- Liu, Y.; Fu, C.; Xia, K.; Yu, J.; Zhao, X.; Pan, H.; Felser, C.; Zhu, T.J. Lanthanide Contraction as a Design Factor for High-Performance Half-Heusler Thermoelectric Materials. Adv. Mater. 2018, 30, 1800881. [Google Scholar] [CrossRef] [PubMed]
- Zhang, Y.J.; Liu, Z.H.; Wu, Z.G.; Ma, X.Q. Prediction of fully compensated ferrimagnetic spin-gapless semiconducting FeMnGa/Al/In half Heusler alloys. IUCrJ 2019, 6, 610–618. [Google Scholar] [CrossRef] [PubMed]
- Han, Y.; Bouhemadou, A.; Khenata, R.; Cheng, Z.; Yang, T.; Wang, X. Prediction of possible martensitic transformations in all-d-metal Zinc-based Heusler alloys from first-principles. J. Magn. Magn. Mater. 2019, 471, 49–55. [Google Scholar] [CrossRef]
- Anjami, A.; Boochani, A.; Elahi, S.M.; Akbari, H. Ab-initio study of mechanical, half-metallic and optical properties of Mn2ZrX (X= Ge, Si) compounds. Results Phys. 2017, 7, 3522–3529. [Google Scholar] [CrossRef]
- Faleev, S.V.; Ferrante, Y.; Jeong, J.; Samant, M.G.; Jones, B.; Stuart, P. Origin of the tetragonal ground state of Heusler compounds. Phys. Rev. Appl. 2017, 7, 034022. [Google Scholar] [CrossRef]
- Sanvito, S.; Oses, C.; Xue, J.; Tiwari, A.; Zic, M.; Archer, T.; Tozman, P.; Venkatesan, M.; Coey, M.; Curtarolo, S. Accelerated discovery of new magnets in the Heusler alloy family. Sci. Adv. 2017, 3, e1602241. [Google Scholar] [CrossRef] [PubMed]
- Xin, Y.; Ma, Y.; Hao, H.; Luo, H.; Meng, F.; Liu, H.; Liu, E.; Wu, G. Structure and magnetic properties of Heusler alloy Co2RuSi melt-spun ribbons. J. Magn. Magn. Mater. 2017, 435, 76–80. [Google Scholar] [CrossRef]
- Li, T.; Wu, Y.; Han, Y.; Wang, X. Tuning the topological nontrivial nature in a family of alkali-metal-based inverse Heusler compounds: A first-principles study. J. Magn. Magn. Mater. 2018, 463, 44–49. [Google Scholar] [CrossRef]
- Galdun, L.; Ryba, T.; Prida, V.M.; Zhukova, V.; Zhukov, A.; Diko, P.; Kavečanský, V.; Vargova, Z.; Varga, R. Monocrystalline Heusler Co2FeSi alloy glass-coated microwires: Fabrication and magneto-structural characterization. J. Magn. Magn. Mater. 2018, 453, 96–100. [Google Scholar] [CrossRef]
- Marchenkov, V.V.; Perevozchikova, Y.A.; Kourov, N.I.; Irkhin, V.Y.; Eisterer, M.; Gao, T. Peculiarities of the electronic transport in half-metallic Co-based Heusler alloys. J. Magn. Magn. Mater. 2018, 459, 211–214. [Google Scholar] [CrossRef]
- Hu, Y.; Zhang, J.M. First-principles study of the Hf-based Heusler alloys: Hf2CoGa and Hf2CoIn. J. Magn. Magn. Mater. 2017, 421, 1–6. [Google Scholar] [CrossRef]
- Ahmad, N.; Ahmed, N.; Han, X.F. Analysis of electronic, magnetic and half-metallic properties of L21-type (Co2Mn0.5Fe0.5Sn) Heusler alloy nanowires synthesized by AC-electrodeposition in AAO templates. J. Magn. Magn. Mater. 2018, 460, 120–127. [Google Scholar]
- Djefal, A.; Amari, S.; Obodo, K.O.; Beldi, L.; Bendaoud, H.; Evans, R.F.L.; Bouhafs, B. Half-metallic ferromagnetism in double perovskite Ca2CoMoO6 compound: DFT + U calculations. Spin 2017, 7, 1750009. [Google Scholar] [CrossRef]
- Yan, W.; Zhang, X.; Shi, Q.; Yu, X.; Zhang, Z.; Wang, Q. Study of magnetocaloric effect in half-metallic ferromagnet Co3Sn2S2. Results Phys. 2018, 11, 1004–1007. [Google Scholar]
- Li, Y.; Liu, G.D.; Wang, X.T.; Liu, E.K.; Xi, X.K.; Wang, W.H.; Wu, G.H.; Wang, L.Y.; Dai, X.F. First-principles study on electronic structure, magnetism and half-metallicity of the NbCoCrAl and NbRhCrAl compounds. Results Phys. 2017, 7, 2248–2254. [Google Scholar] [CrossRef]
- Akbar, W.; Nazir, S. Origin of p-type half-metallic ferromagnetism in carbon-doped BeS: First-principles characterization. J. Alloy. Compd. 2018, 743, 83–86. [Google Scholar] [CrossRef]
- Yousuf, S.; Gupta, D.C. Insight into half-metallicity, spin-polarization and mechanical properties of L21 structured MnY2Z (Z = Al, Si, Ga, Ge, Sn, Sb) Heusler alloys. J. Alloy. Compd. 2018, 735, 1245–1252. [Google Scholar] [CrossRef]
- Boehnke, A.; Martens, U.; Sterwerf, C.; Niesen, A.; Huebner, T.; Ehe, M.; Meinert, M.; Kuschel, T.; Thomas, A.; Heiliger, C.; et al. Large magneto-Seebeck effect in magnetic tunnel junctions with half-metallic Heusler electrodes. Nat. Commun. 2017, 8, 1626. [Google Scholar] [CrossRef]
- Zhang, L.; Wang, X.; Cheng, Z. Electronic, magnetic, mechanical, half-metallic and highly dispersive zero-gap half-metallic properties of rare-earth-element-based quaternary Heusler compounds. J. Alloy. Compd. 2017, 718, 63–74. [Google Scholar] [CrossRef]
- Chadov, S.; Wu, S.C.; Felser, C.; Galanakis, I. Stability of Weyl points in magnetic half-metallic Heusler compounds. Phys. Rev. B 2017, 96, 024435. [Google Scholar] [CrossRef]
- Chen, J.; Gao, G.Y.; Yao, K.L.; Song, M.H. Half-metallic ferromagnetism in the half-Heusler compounds GeKCa and SnKCa from first-principles calculations. J. Alloy. Compd. 2011, 509, 10172–10178. [Google Scholar] [CrossRef]
- Yao, Z.; Zhang, Y.S.; Yao, K.L. Large half-metallic gap in ferromagnetic semi-Heusler alloys CoCrP and CoCrAs. Appl. Phys. Lett. 2012, 101, 062402. [Google Scholar] [CrossRef]
- Hirohata, A.; Sagar, J.; Lari, L.; Fleet, L.R.; Lazarov, V.K. Heusler-alloy films for spintronic devices. Appl. Phys. A 2013, 111, 423–430. [Google Scholar] [CrossRef]
- Azadani, J.; Munira, K.; Romero, J.; Ma, J.; Sivakumar, C.; Ghosh, A.W.; Butler, W.H. Anisotropy in layered half-metallic Heusler alloy superlattices. J. Appl. Phys. 2016, 119, 043904. [Google Scholar] [CrossRef]
- Nazemi, N.; Ahmadian, F. Half-Metallic Characteristic in the New Full–Heusler SrYO2 (Y = Sc, Ti, V, and Cr). Phys. Solid State 2019, 61, 1–10. [Google Scholar] [CrossRef]
- Kogachi, M.; Fujiwara, T.; Kikuchi, S. Atomic disorder and magnetic property in Co-based heusler alloys Co2MnZ (Z = Si, Ge, Sn). J. Alloy. Compd. 2009, 475, 723–729. [Google Scholar] [CrossRef]
- Liu, G.D.; Dai, X.F.; Liu, H.Y.; Chen, J.L.; Li, Y.X.; Xiao, G.; Wu, G.H. Mn2CoZ (Z = Al, Ga, In, Si, Ge, Sn, Sb) compounds: Structural, electronic, and magnetic properties. Phys. Rev. B 2008, 77, 117–119. [Google Scholar] [CrossRef]
- Wang, X.T.; Cui, Y.T.; Liu, X.F.; Liu, G.D. Electronic structures and magnetism in the Li2AgSb-type heusler alloys, Zr2CoZ (Z = Al, Ga, In, Si, Ge, Sn, Sb, Pb, Sb): A first-principles study. J. Magn. Magn. Mater. 2015, 394, 50–59. [Google Scholar] [CrossRef]
- Wang, X.T.; Cheng, Z.X.; Yuan, H.K.; Khenata, R. L21 and XA ordering competition in Titanium-based full-heusler alloys. J. Mater. Chem. C 2017, 5, 11559–11564. [Google Scholar] [CrossRef]
- Wang, X.T.; Cheng, Z.X.; Wang, W.H. L21 and XA ordering competition in hafnium-based full-heusler alloys Hf2VZ (Z = Al, Ga, In, Tl, Si, Ge, Sn, Pb). Materials 2017, 10, 1200. [Google Scholar] [CrossRef]
- Zhang, X.M.; Liu, E.K.; Liu, Z.Y.; Liu, G.D.; Wu, G.H.; Wang, W.H. Prediction of topological insulating behavior in inverse Heusler compounds from first principles. Comput. Mater. Sci. 2013, 70, 145–149. [Google Scholar] [CrossRef]
- Li, J.; Yang, G.; Yang, Y.; Ma, H.; Zhang, Q.; Zhang, Z.; Fang, W.; Yin, F.; Li, J. Electronic and thermoelectric properties of nonmagnetic inverse Heusler semiconductors Sc2FeSi and Sc2FeGe. J. Magn. Magn. Mater. 2017, 442, 151–158. [Google Scholar] [CrossRef]
- Segall, M.D.; Lindan, P.J.; Probert, M.A.; Pickard, C.J.; Hasnip, P.J.; Clark, S.J.; Payne, M.C. First-principles simulation: Ideas, illustrations and the CASTEP code. J. Phys. 2002, 14, 2717. [Google Scholar] [CrossRef]
- Perdew, J.P.; Burke, K.; Ernzerhof, M. Generalized gradient approximation made simple. Phys. Rev. Lett. 1996, 77, 3865–3868. [Google Scholar] [CrossRef]
- Maximoff, S.N.; Ernzerhof, M.; Scuseria, G.E. Current-dependent extension of the Perdew-Burke-Ernzerhof exchange-correlation functional. J. Chem. Phys. 2004, 120, 2105–2109. [Google Scholar] [CrossRef]
- Chen, Z.; Rozale, H.; Gao, Y.; Xu, H. Strain Control of the Tunable Physical Nature of a Newly Designed Quaternary Spintronic Heusler Compound ScFeRhP. Appl. Sci. 2018, 8, 1581. [Google Scholar] [CrossRef]
- Galanakis, I.; Dederichs, P.H.; Papanikolaou, N. Slater-Pauling behavior and origin of the half-metallicity of the full-Heusler alloys. Phys. Rev. B 2002, 66, 174429. [Google Scholar] [CrossRef]
- Skaftouros, S.; Özdoğan, K.; Şaşıoğlu, E.; Galanakis, I. Generalized Slater-Pauling rule for the inverse Heusler compounds. Phys. Rev. B 2013, 87, 024420. [Google Scholar] [CrossRef]
- Meng, F.; Hao, H.; Ma, Y.; Guo, X.; Luo, H. Site preference of Zr in Heusler alloys Zr2YAl (Y = Cr, Mn, Fe, Co, Ni) and its influence on the electronic properties. J. Alloy. Compd. 2017, 695, 2995–3001. [Google Scholar] [CrossRef]
- Ni, Z.; Ma, Y.; Liu, X.; Luo, H.; Liu, H.; Meng, F. Site preference, electronic structure and possible martensitic transformation in Heusler alloys Ni2CoZ (Z = Al, Ga, In, Si, Ge, Sn, Sb). Intermetallics 2017, 81, 1–8. [Google Scholar]
- Ma, Y.; Hao, H.; Xin, Y.; Luo, H.; Liu, H.; Meng, F.; Liu, E. Atomic ordering and magnetic properties of quaternary Heusler alloys NiCuMnZ (Z = In, Sn, Sb). Intermetallics 2017, 86, 121–125. [Google Scholar] [CrossRef]
- Luo, H.; Xin, Y.; Liu, B.; Men, F.; Li, H.; Liu, E.; Wu, G. Competition of L21 and XA structural ordering in Heusler alloys X2CuAl (X = Sc, Ti, V, Cr, Mn, Fe, Co, Ni). J. Alloy. Compd. 2016, 665, 180–185. [Google Scholar] [CrossRef]
- Wang, J.X.; Chen, Z.B.; Gao, Y.C. Phase stability, magnetic, electronic, half-metallic and mechanical properties of a new equiatomic quaternary Heusler compound ZrRhTiIn: A first-principles investigation. J. Phys. Chem. Solids 2018, 116, 72–78. [Google Scholar] [CrossRef]
- Han, Y.; Wu, Y.; Li, T.; Khenata, R.; Yang, T.; Wang, X. Electronic, magnetic, half-metallic, and mechanical properties of a new equiatomic quaternary Heusler compound YRhTiGe: A first-principles study. Materials 2018, 11, 797. [Google Scholar] [CrossRef] [PubMed]
- Chandra, A.R.; Jain, V.; Lakshmi, N.; Jain, V.K.; Jain, R.; Venugopalan, K. Spin polarization in Co2CrAl/GaAs 2D-slabs: A computational study. J. Magn. Magn. Mater. 2018, 448, 75–81. [Google Scholar] [CrossRef]
- Bhat, T.M.; Gupta, D.C. First-principles study of high spin-polarization and thermoelectric efficiency of ferromagnetic CoFeCrAs quaternary Heusler alloy. J. Magn. Magn. Mater. 2018, 449, 493–499. [Google Scholar] [CrossRef]
- Wang, X.; Cheng, Z.; Liu, G.; Dai, X.; Bouhemadou, A. Rare earth-based quaternary Heusler compounds MCoVZ (M = Lu, Y.; Z= Si, Ge) with tunable band characteristics for potential spintronic applications. IUCrJ 2017, 4, 758–768. [Google Scholar] [CrossRef] [PubMed]
© 2019 by the authors. Licensee MDPI, Basel, Switzerland. This article is an open access article distributed under the terms and conditions of the Creative Commons Attribution (CC BY) license (http://creativecommons.org/licenses/by/4.0/).







