The Persistence Length of Semiflexible Polymers in Lattice Monte Carlo Simulations
Abstract
:1. Introduction
2. Theoretical Persistence Length
3. Models and Simulation Methods
3.1. Lattice MC Simulations
3.2. Calculation of Persistence Length
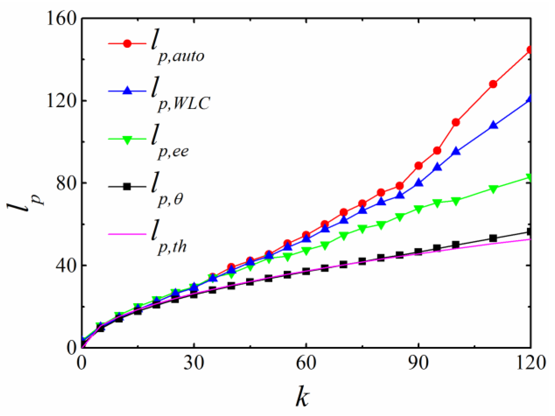
4. Results and Discussion
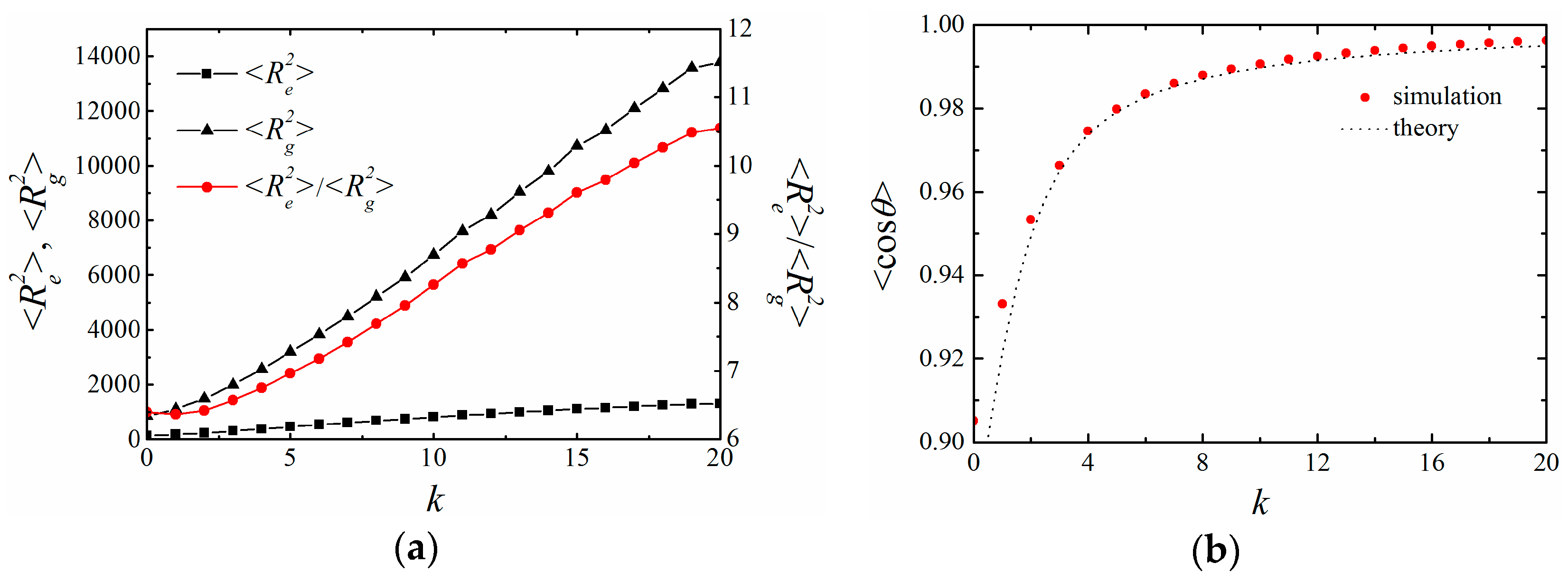
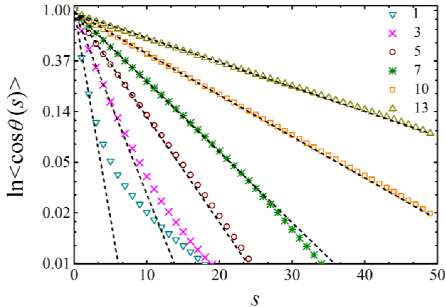
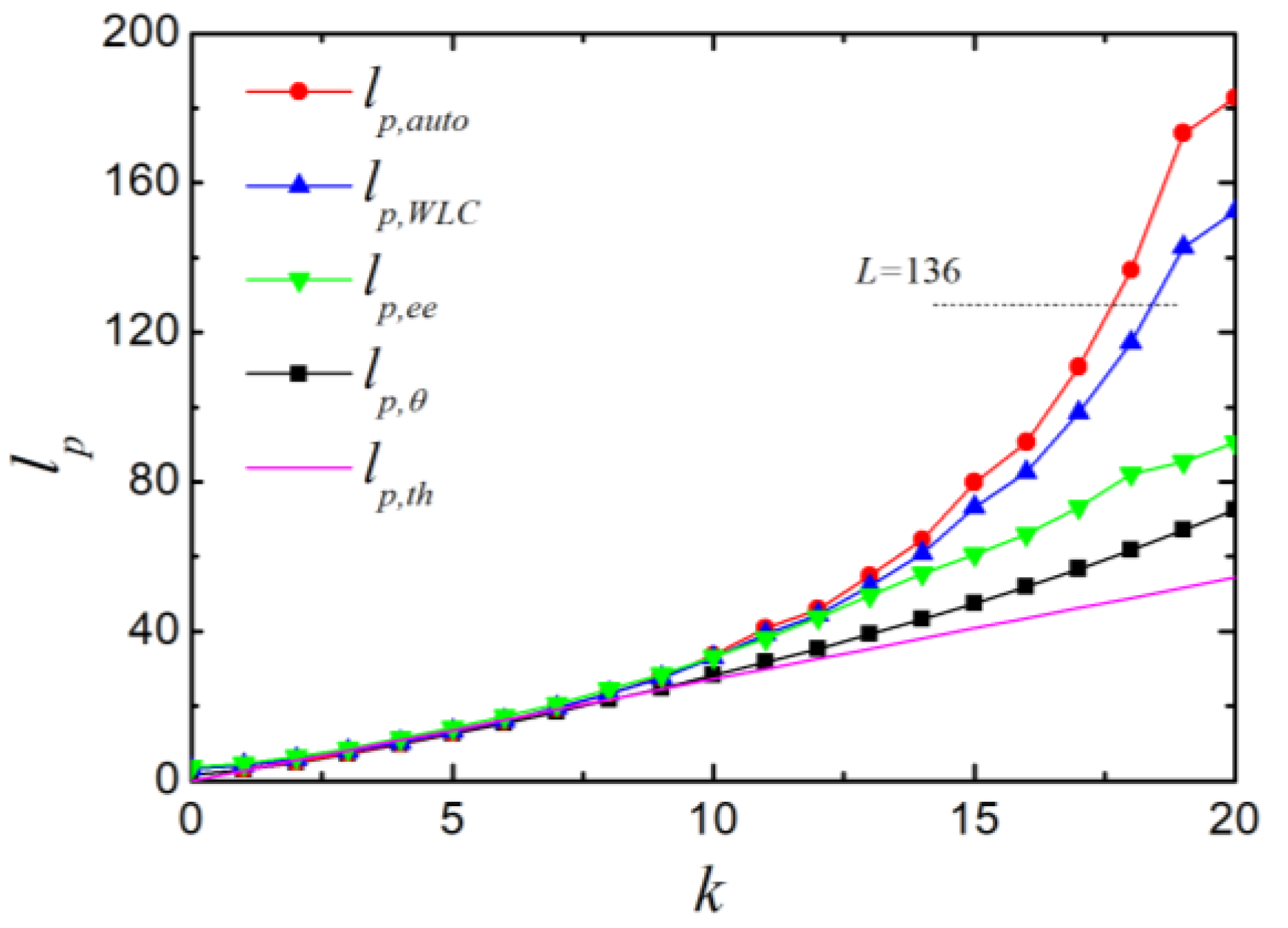
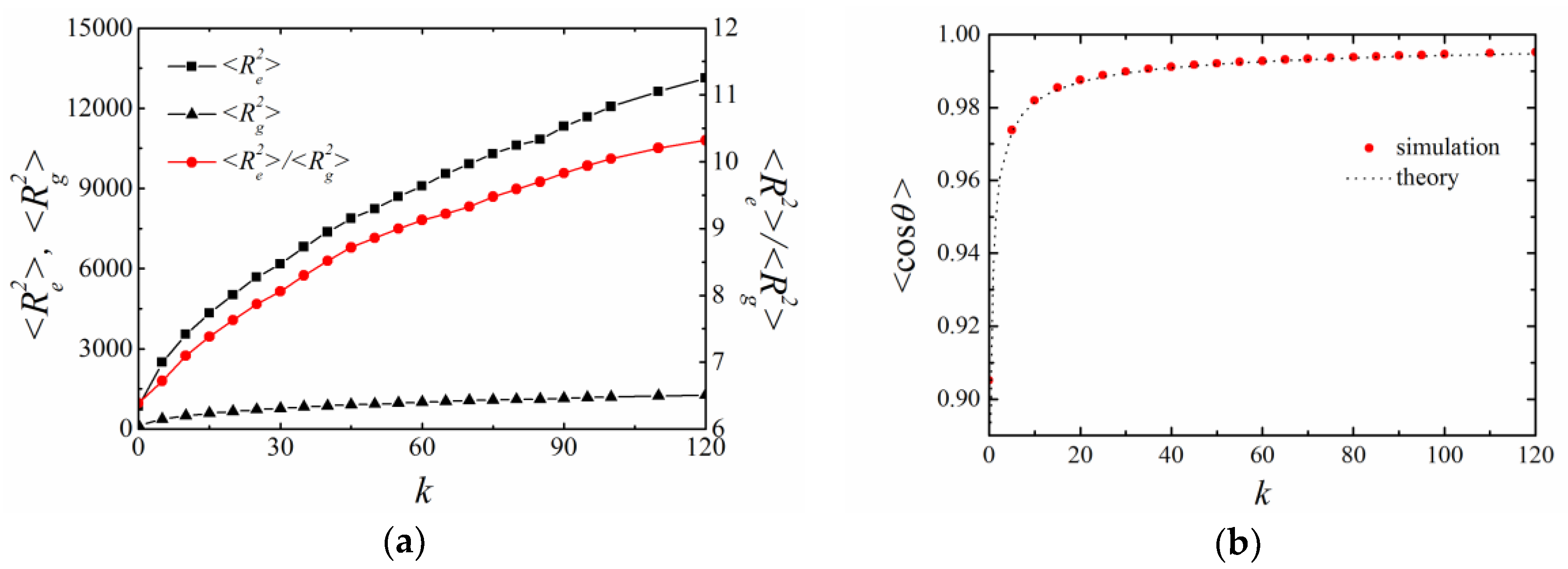
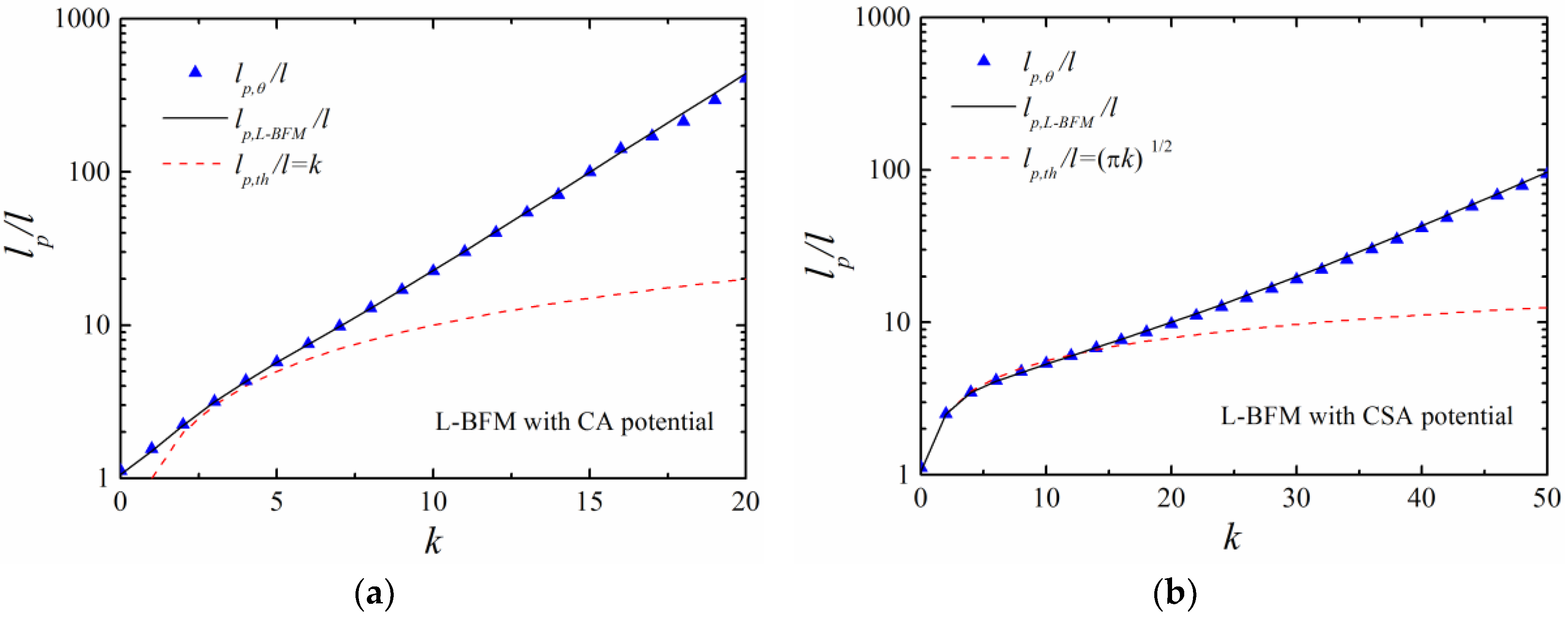
4.1. BFM with CA Potential
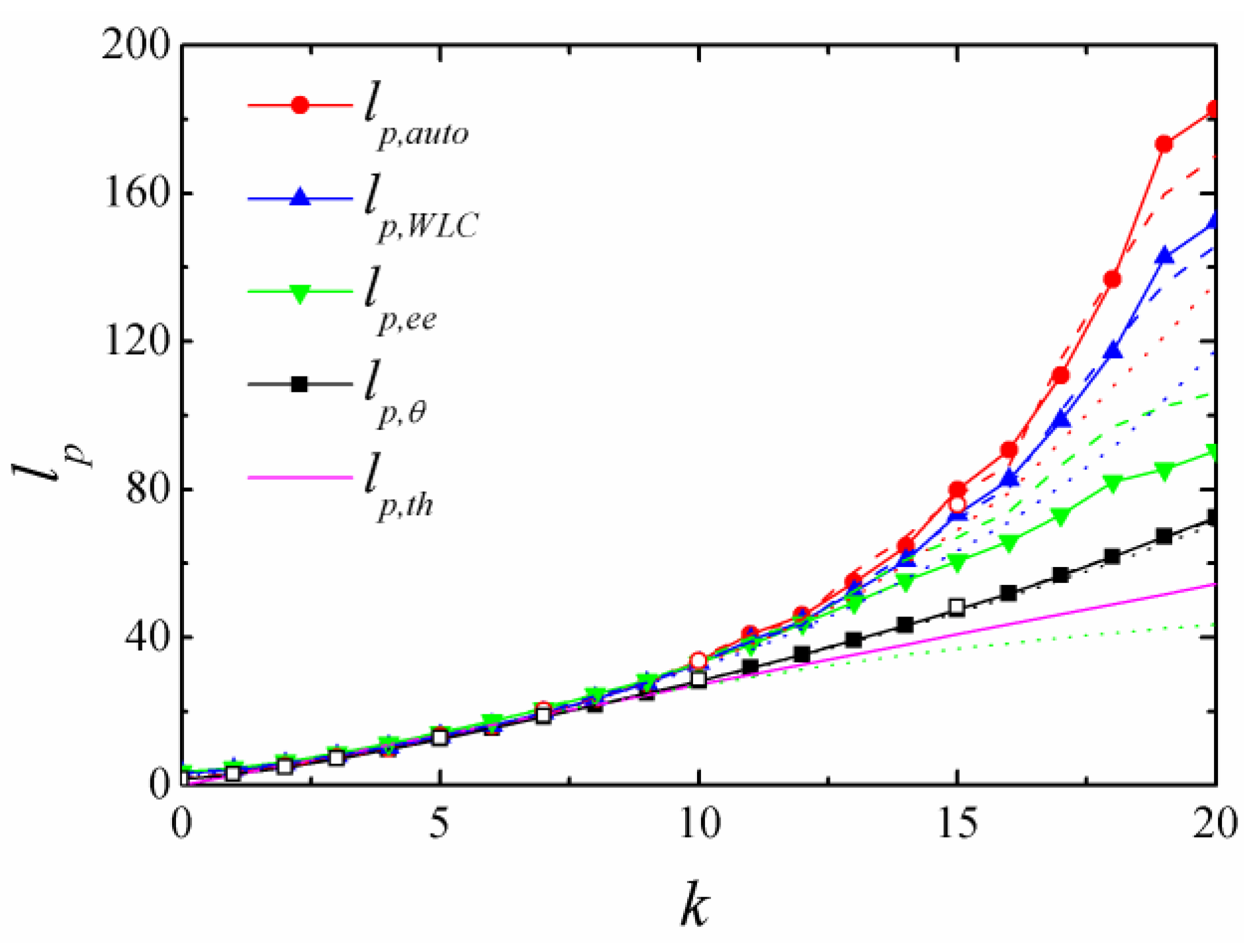
4.2. BFM with CSA Potential
4.3. Theoretical Persistence Length in Lattice Simulations
5. Conclusions
Author Contributions
Acknowledgments
Conflicts of Interest
References
- Saitô, N.; Takahashi, K.; Yunoki, Y. The statistical mechanical theory of stiff chains. J. Phys. Soc. Jpn. 1967, 22, 219–226. [Google Scholar] [CrossRef]
- Wang, Y.; Zhao, H.; Shu, X.; Yang, Y.; Ren, Q. Radius of gyration of comb-shaped copolymers by the wormlike chain model: Theory and its applications to MPEG-type polycarboxylate-type superplasticizers. Acta Ploym. Sin. 2017, 11, 1816–1831. [Google Scholar]
- Jiang, Y.; Chen, J.Z.Y. The applications of the wormlike chain model on polymer physics. Acta Phys. Sin. 2016, 65, 178201. [Google Scholar]
- Wiggins, P.A.; Van Der Heijden, T.; Moreno-Herrero, F.; Spakowitz, A.; Phillips, R.; Widom, J.; Dekker, C.; Nelson, P.C. High flexibility of DNA on short length scales probed by atomic force microscopy. Nat. Nanotechnol. 2006, 1, 137. [Google Scholar] [CrossRef] [PubMed]
- Ya, L.; Bulbul, C. Shapes of semiflexible polymers in confined spaces. Phys. Biol. 2008, 5, 026004. [Google Scholar]
- Hsu, H.-P.; Binder, K. Stretching semiflexible polymer chains: Evidence for the importance of excluded volume effects from Monte Carlo simulation. J. Chem. Phys. 2012, 136, 024901. [Google Scholar] [CrossRef] [PubMed]
- Hsu, H.-P.; Paul, W.; Binder, K. Polymer chain stiffness vs. excluded volume: A Monte Carlo study of the crossover towards the worm-like chain model. EPL 2010, 92, 28003. [Google Scholar] [CrossRef]
- Hsu, H.-P.; Paul, W.; Binder, K. Standard definitions of persistence length do not describe the local “Intrinsic” stiffness of real polymer chains. Macromolecules 2010, 43, 3094–3102. [Google Scholar] [CrossRef]
- Cifra, P. Differences and limits in estimates of persistence length for semi-flexible macromolecules. Polymer 2004, 45, 5995–6002. [Google Scholar] [CrossRef]
- Huang, A.; Hsu, H.-P.; Bhattacharya, A.; Binder, K. Semiflexible macromolecules in quasi-one-dimensional confinement: Discrete versus continuous bond angles. J. Chem. Phys. 2015, 143, 243102. [Google Scholar] [CrossRef]
- Hsu, H.-P. Monte Carlo simulations of lattice models for single polymer systems. J. Chem. Phys. 2014, 141, 164903. [Google Scholar] [CrossRef] [PubMed]
- Li, Y.; Huang, Q.; Shi, T.; An, L. Effects of chain flexibility on polymer conformation in dilute solution studied by lattice monte carlo simulation. J. Phys. Chem. B. 2006, 110, 23502–23506. [Google Scholar] [CrossRef] [PubMed]
- Allison, S.; Sorlie, S.S.; Pecora, R. Brownian dynamics simulations of wormlike chains: Dynamic light scattering from a 2311 base pair DNA fragment. Macromolecules 1990, 23, 1110–1118. [Google Scholar] [CrossRef]
- Ji, S.; Jiang, R.; Winkler, R.G.; Gompper, G. Mesoscale hydrodynamic modeling of a colloid in shear-thinning viscoelastic fluids under shear flow. J. Chem. Phys. 2011, 135, 134116. [Google Scholar] [CrossRef] [PubMed]
- Zhou, X.; Jiang, Y.; Chen, J.; He, L.; Zhang, L. Size-dependent nanoparticle dynamics in semiflexible ring polymer nanocomposites. Polymer 2017, 131, 243–251. [Google Scholar] [CrossRef]
- Sakaue, T.; Yoshikawa, K. Folding/unfolding kinetics on a semiflexible polymer chain. J. Chem. Phys. 2002, 117, 6323–6330. [Google Scholar] [CrossRef]
- Chen, W.; Chen, J.; Liu, L.; Xu, X.; An, L. Effects of chain stiffness on conformational and dynamical properties of individual ring polymers in shear flow. Macromolecules 2013, 46, 7542–7549. [Google Scholar] [CrossRef]
- Lamura, A.; Burkhardt, T.W.; Gompper, G. Semiflexible polymer in a uniform force field in two dimensions. Phys. Rev. E 2001, 64, 061801. [Google Scholar] [CrossRef]
- Anand, S.K.; Singh, S.P. Structure and dynamics of a self-propelled semiflexible filament. Phys. Rev. E 2018, 98, 042501. [Google Scholar] [CrossRef]
- Suhonen, P.M.; Linna, R.P. Dynamics of driven translocation of semiflexible polymers. Phys. Rev. E 2018, 97, 062413. [Google Scholar] [CrossRef]
- Benková, Z.; Rišpanová, L.; Cifra, P. Structural behavior of a semiflexible polymer chain in an array of nanoposts. Polymers 2017, 9, 313. [Google Scholar] [CrossRef]
- Caraglio, M.; Micheletti, C.; Orlandini, E. Mechanical pulling of linked ring polymers: Elastic response and link localisation. Polymers 2017, 9, 327. [Google Scholar] [CrossRef]
- Zierenberg, J.; Marenz, M.; Janke, W. Dilute semiflexible polymers with attraction: Collapse, folding and aggregation. Polymers 2016, 8, 333. [Google Scholar] [CrossRef]
- Narambuena, C.F.; Leiva, E.P.M.; Chávez-Páez, M.; Pérez, E. Effect of chain stiffness on the morphology of polyelectrolyte complexes. A Monte Carlo simulation study. Polymer 2010, 51, 3293–3302. [Google Scholar] [CrossRef]
- Kang, D.; Cai, Z.; Wei, Y.; Zhang, H. Structure and chain conformation characteristics of high acyl gellan gum polysaccharide in DMSO with sodium nitrate. Polymer 2017, 128, 147–158. [Google Scholar] [CrossRef]
- Xu, X.; Chen, J. Structural mechanism for viscosity of semiflexible polymer melts in shear flow. ACS Macro Lett. 2017, 6, 331–336. [Google Scholar] [CrossRef]
- Yang, Y.; Bu, X.; Zhang, X. Structure factor based on the wormlike-chain model of single semiflexible polymer. Acta Phys. Sin. 2016, 8, 1002–1010. [Google Scholar]
- Beuwer, M.A.; Knopper, M.; Albertazzi, L.; van der Zwaag, D.; Ellenbroek, W.G.; Meijer, E.W.; Prins, M.W.J.; Zijlstra, P. Mechanical properties of single supramolecular polymers from correlative AFM and fluorescence microscopy. Polym. Chem. 2016, 7, 7260–7268. [Google Scholar] [CrossRef]
- Wang, X.; Tang, M.; Wang, Y. Equilibrium distribution of semiflexible polymer chains between a macroscopic dilute solution phase and small voids of cylindrical shape. Macromol. Theory Simul. 2015, 24, 490–499. [Google Scholar] [CrossRef]
- Tree, D.R.; Wang, Y.; Dorfman, K.D. Extension of DNA in a nanochannel as a rod-to-coil transition. Phys. Rev. Lett. 2013, 110, 208103. [Google Scholar] [CrossRef]
- Lezon, T. Statistical Mechanics of Chain Molecules: An Overview. Available online: https://ccbb.pitt.edu/Faculty/lezon/teaching/smcm.pdf (accessed on 9 February 2019).
- Baschnagel, J.; Binder, K.; Doruker, P.; Gusev, A.A.; Hahn, O.; Kremer, K.; Mattice, W.L.; Müller-Plathe, F.; Murat, M.; Paul, W.; et al. Bridging the gap between atomistic and coarse-grained models of polymers: Status and perspectives. Adv. Polym. Sci. 2000, 152, 141–156. [Google Scholar]
- Ivanov, V.; Paul, W.; Binder, K. Finite chain length effects on the coil–globule transition of stiff-chain macromolecules: A Monte Carlo simulation. J. Chem. Phys. 1998, 109, 5659–5669. [Google Scholar] [CrossRef]
- Zhang, H.; Yang, Y. Monte Carlo simulations of an oriented semirigid polymer film formation of band textures. Macromolecules 1998, 31, 7550–7552. [Google Scholar] [CrossRef]
- Binder, K. Monte Carlo and Molecular Dynamics Simulations in Polymer Science; Oxford University Press, Inc.: New York, NY, USA, 1995. [Google Scholar]
- Haakansson, C.; Elvingson, C. Semiflexible chain molecules with nonuniform curvature. 1. Structural properties. Macromolecules 1994, 27, 3843–3849. [Google Scholar] [CrossRef]
- Auhl, R.; Everaers, R.; Grest, G.S.; Kremer, K.; Plimpton, S.J. Equilibration of long chain polymer melts in computer simulations. J. Chem. Phys. 2003, 119, 12718–12728. [Google Scholar] [CrossRef]
- Jian, H.; Vologodskii, A.V.; Schlick, T. A combined wormlike-chain and bead model for dynamic simulations of long linear DNA. J. Comput. Phys. 1997, 136, 168–179. [Google Scholar] [CrossRef]
- Deutsch, H.P.; Binder, K. Interdiffusion and self-diffusion in polymer mixtures: A Monte Carlo study. J. Chem. Phys. 1991, 94, 2294–2304. [Google Scholar] [CrossRef]
- Wittmer, J.; Beckrich, P.; Meyer, H.; Cavallo, A.; Johner, A.; Baschnagel, J. Intramolecular long-range correlations in polymer melts: The segmental size distribution and its moments. Phys. Rev. E 2007, 76, 011803. [Google Scholar] [CrossRef]
- Ji, S.; Ding, J. Rheology of polymer brush under oscillatory shear flow studied by nonequilibrium Monte Carlo simulation. J. Chem. Phys. 2005, 123, 144904. [Google Scholar] [CrossRef]
- Larson, R.; Scriven, L.; Davis, H. Monte Carlo simulation of model amphiphile–oil–water systems. J. Chem. Phys. 1985, 83, 2411–2420. [Google Scholar] [CrossRef]
- Ji, S.; Ding, J. Spontaneous formation of vesicles from mixed amphiphiles with dispersed molecular weight: Monte Carlo simulation. Langmuir 2006, 22, 553–559. [Google Scholar] [CrossRef] [PubMed]
- Metropolis, N.; Rosenbluth, A.W.; Rosenbluth, M.N.; Teller, A.H.; Teller, E. Equation of state calculations by fast computing machines. J. Chem. Phys. 1953, 21, 1087–1092. [Google Scholar] [CrossRef]
- Flory, P.J. Statistical Mechanics of Chain Molecules; Interscience: New York, NY, USA, 1969. [Google Scholar]
- Hu, W. Polymer Physics: A Molecular Approach; Springer: Viena, Austria, 2013. [Google Scholar]










© 2019 by the authors. Licensee MDPI, Basel, Switzerland. This article is an open access article distributed under the terms and conditions of the Creative Commons Attribution (CC BY) license (http://creativecommons.org/licenses/by/4.0/).
Share and Cite
Zhang, J.-Z.; Peng, X.-Y.; Liu, S.; Jiang, B.-P.; Ji, S.-C.; Shen, X.-C. The Persistence Length of Semiflexible Polymers in Lattice Monte Carlo Simulations. Polymers 2019, 11, 295. https://doi.org/10.3390/polym11020295
Zhang J-Z, Peng X-Y, Liu S, Jiang B-P, Ji S-C, Shen X-C. The Persistence Length of Semiflexible Polymers in Lattice Monte Carlo Simulations. Polymers. 2019; 11(2):295. https://doi.org/10.3390/polym11020295
Chicago/Turabian StyleZhang, Jing-Zi, Xiang-Yao Peng, Shan Liu, Bang-Ping Jiang, Shi-Chen Ji, and Xing-Can Shen. 2019. "The Persistence Length of Semiflexible Polymers in Lattice Monte Carlo Simulations" Polymers 11, no. 2: 295. https://doi.org/10.3390/polym11020295
APA StyleZhang, J.-Z., Peng, X.-Y., Liu, S., Jiang, B.-P., Ji, S.-C., & Shen, X.-C. (2019). The Persistence Length of Semiflexible Polymers in Lattice Monte Carlo Simulations. Polymers, 11(2), 295. https://doi.org/10.3390/polym11020295

