On the Gas Storage Properties of 3D Porous Carbons Derived from Hyper-Crosslinked Polymers
Abstract
1. Introduction
2. Experimental Section
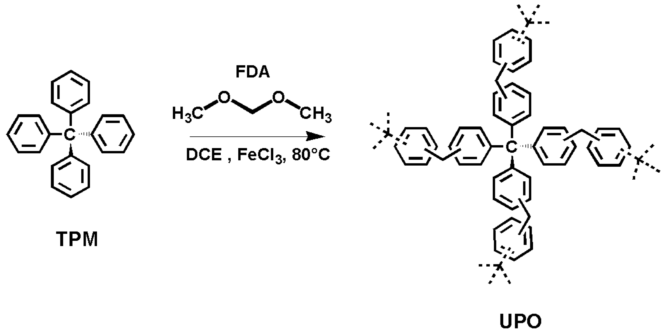
2.1. Synthesis of UPO Materials
2.2. Post Synthesis Treatments
2.3. Characterization Techniques
3. Results and Discussion
3.1. Effects of Thermal Treatment at 380 °C
3.2. Effects of Chemical Activation at High Temperature
3.3. High Pressure Gas Uptake
3.4. Packing Densities
3.5. Methane Storage Capacity of KUPO16-2-750
4. Conclusions
Author Contributions
Funding
Conflicts of Interest
References
- Deanna, M.D.; Berend, S.; Jeffrey, R.L. Carbon Dioxide Capture: Prospects for New Materials. Angew. Chem. Int. Ed. 2010, 49, 6058–6082. [Google Scholar]
- Frota, W.M.; Sa, J.A.S.; Moraes, S.S.B.; Rocha, B.R.P.; Ismail, K.A.R. Natural gas: The option for a sustainable development and energy in the state of Amazonas. Energy Policy 2010, 38, 3830–3836. [Google Scholar] [CrossRef]
- Jain, I.P. Hydrogen the fuel for 21st century. Int. J. Hydrog. Energy 2009, 34, 7368–7378. [Google Scholar] [CrossRef]
- Kelly, N.A.; Gibson, T.L.; Cai, M.; Spearot, J.A.; Ouwerkerk, D.B. Development of a renewable hydrogen economy: Optimization of existing technologies. Int. J. Hydrog. Energy 2010, 35, 892–899. [Google Scholar] [CrossRef]
- Matsuda, R. Design and Synthesis of Porous Coordination Polymers Showing Unique Guest Adsorption Behaviors. Bull. Chem. Soc. Jpn. 2013, 86, 1117–1131. [Google Scholar] [CrossRef]
- Broom, D.P.; Thomas, K.M. Gas Adsorption by Nanoporous Materials: Future Applications and Experimental Challenges. MRS Bull. 2013, 38, 412–421. [Google Scholar] [CrossRef]
- Marco-Lozar, J.P.; Kunowsky, M.; Carruthers, J.D.; Linares-Solano, A. Gas Storage Scale-up At Room Temperature on High Density Carbon Materials. Carbon 2014, 76, 123–132. [Google Scholar] [CrossRef]
- Casco, M.E.; Martnez-Escandell, M.; Gadea-Ramos, E.; Kaneko, K.; Silvestre-Albero, J.; Rodriguez-Reinoso, F. High-pressure Methane Storage in Porous Materials: Are Carbon Materials in the Pole Position? Chem. Mater. 2015, 27, 959–964. [Google Scholar] [CrossRef]
- Guerra, G.; Daniel, C.; Rizzo, P.; Tarallo, O. Advanced Materials Based on Polymer Cocrystalline Forms. J. Polym. Sci. Part B Polym. Phys. 2012, 50, 305–322. [Google Scholar] [CrossRef]
- Kim, W.-G.; Nair, S. Membranes from Nanoporous 1D and 2D Materials: A Review of Opportunities Developments and Challenges. Chem. Eng. Sci. 2013, 104, 908–924. [Google Scholar] [CrossRef]
- Ouyang, Y.; Shi, H.; Fu, R.; Wu, D. Highly Monodisperse Microporous Polymeric and Carbonaceous Nanospheres with Multifunctional Properties. Sci. Rep. 2013, 3, 1430. [Google Scholar] [CrossRef]
- Zheng, Y.; Liu, J.; Liang, J.; Jaroniec, M.; Qiao, S.Z. Graphitic Carbon Nitride Materials: Controllable Synthesis and Applications in Fuel Cells and Photocatalysis. Energy Environ. Sci. 2012, 5, 6717–6731. [Google Scholar] [CrossRef]
- Rose, M. Nanoporous Polymers: Bridging the Gap Between Molecular and Solid Catalysts. ChemCatChem 2014, 6, 1166–1182. [Google Scholar] [CrossRef]
- Pal, N.; Bhaumik, A. Mesoporous Materials: Versatile Supports in Heterogeneous Catalysis for Liquid Phase Catalytic Transformations. RSC Adv. 2015, 5, 24363–24391. [Google Scholar] [CrossRef]
- Kowalczyk, P.; Solarz, L.; Do, D.D.; Samborski, A.; MacElroy, J.M.D. Nanoscale Tubular Vessels for Storage of Methane at Ambient Temperatures. Langmuir 2006, 22, 9035–9040. [Google Scholar] [CrossRef]
- Yang, C.-M.; Noguchi, H.; Murata, K.; Yudasaka, M.; Hashimoto, A.; Iijima, S.; Kaneko, K. Highly Ultramicroporous Single-walled Carbon Nanohorn Assemblies. Adv. Mater. 2005, 17, 866–870. [Google Scholar] [CrossRef]
- Linares-Solano, A.; Jordá-Beneyto, M.; Kunowsky, M.; Lozano-Castelló, D.; Suárez-García, F.; Cazorla-Amorós, D. Hydrogen storage in carbon materials. In Carbon Materials: Theory and Practice; Terzyk, A.P., Gauden, P.A., Kowalczyk, P., Eds.; Research Signpost: Irvine, CA, USA, 2008; pp. 245–282. [Google Scholar]
- Lim, K.L.; Kazemian, H.; Yaakob, Z.; Daud, W.R.W. Solid-state Materials and Methods for Hydrogen Storage: A Critical Review. Chem. Eng. Technol. 2010, 33, 213–226. [Google Scholar] [CrossRef]
- Marco-Lozar, J.P.; Kunowsky, M.; Surez-Garca, F.; Carruthers, J.D.; Linares, A. Activated Carbon Monoliths for Gas Storage at Room Temperature. Energy Environ. Sci. 2012, 5, 9833–9842. [Google Scholar] [CrossRef]
- Thomas, K.M. Adsorption and Desorption of Hydrogen on Metal-organic Framework Materials for Storage Applications: Comparison with Other Nanoporous Materials. Dalton Trans. 2009, 9, 1487–1505. [Google Scholar] [CrossRef] [PubMed]
- Marco-Lozar, J.P.; Juan-Juan, J.; Surez-Garca, F.; Cazorla-Amors, D.; Linares-Solano, A. MOF-5 and Activated Carbons as Adsorbents for Gas Storage. Int. J. Hydrog. Energy 2012, 37, 2370–2381. [Google Scholar] [CrossRef]
- Peng, Y.; Krungleviciute, V.; Eryazici, I.; Hupp, J.T.; Farha, O.K.; Yildirim, T. Methane Storage in Metal-organic Frameworks: Current Records Surprise Findings and Challenges. J. Am. Chem. Soc. 2013, 135, 11887–11894. [Google Scholar] [CrossRef] [PubMed]
- Diaz, U.; Corma, A. Ordered Covalent Organic Frameworks COFs and PAFs from Preparation to Application. Coord. Chem. Rev. 2016, 311, 85–124. [Google Scholar] [CrossRef]
- Furukawa, H.; Yaghi, O.M. Storage of Hydrogen Methane and Carbon Dioxide in Highly Porous Covalent Organic Frameworks for Clean Energy Applications. J. Am. Chem. Soc. 2009, 131, 8875–8883. [Google Scholar] [CrossRef]
- Sang, S.H.; Furukawa, H.; Yaghi, O.M.; Goddard, W.A. Covalent Organic Frameworks as Exceptional Hydrogen Storage Materials. J. Am. Chem. Soc. 2008, 130, 11580–11581. [Google Scholar]
- Ben, T.; Qiu, S. Porous Aromatic Frameworks: Synthesis Structure and Functions. Cryst. Eng. Commun. 2013, 15, 17–26. [Google Scholar] [CrossRef]
- Beaudoin, D.; Maris, T.; Wuest, J.D. Constructing Monocrystalline Covalent Organic Networks By Polymerization. Nat. Chem. 2013, 5, 830–834. [Google Scholar] [CrossRef] [PubMed]
- Pei, C.; Ben, T.; Qiu, S. Great Prospects for PAF-1 and Its Derivatives. Mater. Horiz. 2015, 2, 11–21. [Google Scholar] [CrossRef]
- Ben, T.; Pei, C.; Zhang, D.; Xu, J.; Deng, F.; Jing, X.; Qiu, S. Gas Storage in Porous Aromatic Frameworks (PAFs). Energy Environ. Sci. 2011, 4, 3991–3999. [Google Scholar] [CrossRef]
- Errahali, M.; Gatti, G.; Tei, L.; Paul, G.; Rolla, G.; Canti, L.; Fraccarollo, A.; Cossi, M.; Comotti, A.; Sozzani, P.; et al. Microporous Hyper-crosslinked Aromatic Polymers Designed for Methane and Carbon Dioxide Adsorption. J. Phys. Chem. C 2014, 118, 28699–28710. [Google Scholar] [CrossRef]
- Ahmed, A.; Babarao, R.; Huang, R.; Medhekar, N.; Todd, B.D.; Hill, M.R.; Thornton, A.W. Porous Aromatic Frameworks Impregnated with Lithiated Fullerenes for Natural Gas Purification. J. Phys. Chem. C 2015, 119, 9347–9354. [Google Scholar] [CrossRef]
- Babarao, R.; Dai, S.; Jiang, D.-E. Functionalizing Porous Aromatic Frameworks with Polar Organic Groups for High-capacity and Selective CO2 Separation: A Molecular Simulation Study. Langmuir 2011, 27, 3451–3460. [Google Scholar] [CrossRef]
- Fu, J.; Wu, J.; Custelcean, R.; Jiang, D.-E. Nitrogen-doped Porous Aromatic Frameworks for Enhanced CO2 Adsorption. J. Colloid Interface Sci. 2015, 438, 191–195. [Google Scholar] [CrossRef]
- Fraccarollo, A.; Canti, L.; Marchese, L.; Cossi, M. Monte Carlo Modeling of Carbon Dioxide Adsorption in Porous Aromatic Frameworks. Langmuir 2014, 30, 4147–4156. [Google Scholar] [CrossRef] [PubMed]
- Dhanalaxmi, K.; Yadav, R.; Kundu, S.K.; Reddy, B.M.; Amoli, V.; Sinha, A.K.; Mondal, J. MnFe2O4 Nanocrystals Wrapped in a Porous Organic Polymer: A Designed Architecture for Water-Splitting Photocatalysis. Chem. Eur. J. 2016, 22, 15639–15644. [Google Scholar] [CrossRef] [PubMed]
- Dhanalaxmi, K.; Singuru, R.; Mondal, S.; Bai, L.; Reddy, B.M.; Bhaumik, A.; Mondal, J. Magnetic nanohybrid decorated porous organic polymer: Synergistic catalyst for high performance levulinic acid hydrogenation. ACS Sustain. Chem. Eng. 2017, 5, 1033–1045. [Google Scholar] [CrossRef]
- Sun, Y.; Webley, P.A. Preparation of activated carbons from corncob with large specific surface area by a variety of chemical activators and their application in gas storage. Chem. Eng. J. 2010, 162, 883–892. [Google Scholar] [CrossRef]
- Krishnan, K.A.; Anirudhan, T. Removal of cadmium(II) from aqueous solutions by steam-activated sulphurised carbon prepared from sugar-cane bagasse pith: Kinetics and equilibrium studies. Water 2003, 29, 147–156. [Google Scholar] [CrossRef]
- Crini, G. Non-conventional low-cost adsorbents for dye removal: A review. Bioresour. Technol. 2006, 97, 1061–1085. [Google Scholar] [CrossRef]
- Leonard, A.D.; Hudson, J.L.; Fan, H.; Booker, R.; Simpson, L.J.; O’Neill, K.J.; Parilla, P.A.; Heben, M.J.; Pasquali, M.; Kittrell, C.; et al. Nano engineered carbon scaffolds for hydrogen storage. J. Am. Chem. Soc. 2009, 131, 723–728. [Google Scholar] [CrossRef] [PubMed]
- Illan-Gomez, M.J.; Garcìa-Garcıìa, A.; Salinas-Martınez de Lecea, C.; Linares-Solano, A. Activated Carbons from Spanish Coals 2: Chemical Activation. Energy Fuels 1996, 10, 1108–1114. [Google Scholar] [CrossRef]
- Bansal, R.C.; Donnet, J.B.; Stoeckli, F. Active Carbon; Marcel Dekker: New York, NY, USA, 1988. [Google Scholar]
- Munoz-Guillena, M.J.; Illan-Gomez, M.J.; Martın-Martınez, A.; Salinas-Martınez de Lecea, C. Activated carbons from Spanish coals 1 Two-stage CO2 activation. Energy Fuels 1992, 6, 9–15. [Google Scholar] [CrossRef]
- Joshi, S.; Adhikari, M.; Pokharel, B.P.; Pradhananga, R.R. Effects of Activating Agents on the Activated Carbons Prepared from Lapsi Seed Stone. Res. J. Chem. Sci. 2013, 3, 19–24. [Google Scholar]
- Hameed, B.H.; Din, A.T.M.; Ahmed, A.L. Adsorption of methylene blue onto bamboo-based activated carbon: Kinetics and equilibrium studies. J. Hazard. Mater. 2007, 141, 819–825. [Google Scholar] [CrossRef]
- Badie, S.G.; Amina, A.A.; Nady, A.F. Modification in adsorption characteristics of activated carbon produced by H3PO4 under flowing gases. Colloids Surf. A Phys. Chem. Eng. Asp. 2007, 299, 79–87. [Google Scholar]
- Onal, Y.; Akmil-Basar, C.; Sarici-Ozdemir, C. Elucidation of the naproxen sodium adsorption onto activated carbon prepared from waste apricot: Kinetic equilibrium and thermodynamic characterization. J. Hazard. Mater. 2007, 148, 727–734. [Google Scholar] [CrossRef]
- Ramakrishnan, K.; Namasivayam, C. Development and Characteristics of Activated Carbons from Jatropha husk an Agro Industrial Solid Waste by Chemical Activation Methods. J. Environ. Eng. Manag. 2009, 19, 173–178. [Google Scholar]
- Yang, K.; Peng, J.; Srinivasakannan, C.; Zhang, L.; Xia, H.; Duan, X. Preparation of high surface area activated carbon from coconut shells using microwave heating. Bioresour. Technol. 2010, 101, 6163–6169. [Google Scholar] [CrossRef] [PubMed]
- Qiang, Z.; Gurkan, B.; Ma, J.; Liu, X.; Guo, Y.; Cakmak, M.; Cavicchi, K.A.; Vogt, B.D. Roll-to-roll fabrication of high surface area mesoporous carbon with process-tunable pore texture for optimization of adsorption capacity of bulky organic dyes. Microporous Mesoporous Mater. 2016, 227, 57–64. [Google Scholar] [CrossRef]
- Qiang, Z.; Liu, X.; Zou, F.; Cavicchi, K.A.; Zhu, Y.; Vogt, B.D. Bimodal Porous Carbon-Silica Nanocomposites for Li-Ion Batteries. J. Phys. Chem. C 2017, 121, 16702–16709. [Google Scholar] [CrossRef]
- Hu, Z.; Srinivasan, M.P. Preparation of High-surface-area Activated Carbons from Coconut Shell. Microporous Mesoporous Mater. 1999, 27, 11–18. [Google Scholar] [CrossRef]
- Pandey, S.S.; Gerard, M.; Sharma, A.L.; Malhotra, B.D. Thermal Analysis of Chemically Synthesized Polyemeraldine Base. J. Appl. Polym. Sci. 2000, 75, 149–155. [Google Scholar] [CrossRef]
- Modak, A.; Bhaumik, A. Porous Carbon Derived Via KOH Activation of a Hypercrosslinked Porous Organic Polymer for Efficient CO2 CH4 H2 Adsorptions and High CO2/N2 Selectivity. J. Solid State Chem. 2015, 232, 157–162. [Google Scholar] [CrossRef]
- Zhang, Y.; Li, B.; Williams, K.; Gao, W.-Y.; Ma, S.A. New Microporous Carbon Material Synthesized Via Thermolysis of a Porous Aromatic Framework Embedded with An Extra Carbon Source for Low-pressure CO2 Uptake. Chem. Commun. 2013, 49, 10269–10271. [Google Scholar] [CrossRef]
- Ben, T.; Li, Y.; Zhu, L.; Zhang, D.; Cao, D.; Xiang, Z.; Yao, X.; Qiu, S. Selective Adsorption of Carbon Dioxide by Carbonized Porous Aromatic Framework (PAF). Energy Environ. Sci. 2012, 5, 8370–8376. [Google Scholar] [CrossRef]
- Li, Y.; Ben, T.; Zhang, B.; Fu, Y.; Qiu, S. Ultrahigh Gas Storage Both at Low and High Pressures in KOH-activated Carbonized Porous Aromatic Frameworks. Sci. Rep. 2013, 3, 2420. [Google Scholar] [CrossRef] [PubMed]
- Dawson, R.; Stckel, E.; Holst, J.R.; Adams, D.J.; Cooper, A.I. Microporous Organic Polymers for Carbon Dioxide Capture. Energy Environ. Sci. 2011, 4, 4239–4245. [Google Scholar] [CrossRef]
- Dawson, R.; Ratvijitvech, T.; Corker, M.; Laybourn, A.; Khimyak, Y.A.; Cooper, A.I.; Adams, D.J. Microporous Copolymers for Increased Gas Selectivity. Polym. Chem. 2012, 3, 2034–2038. [Google Scholar] [CrossRef]
- Wood, C.D.; Bien, T.; Trewin, A.; Hongjun, N.; Bradshaw, D.; Rosseinsky, M.J.; Khimyak, Y.Z.; Campbell, N.L.; Kirk, R.; Stöckel, E.; et al. Hydrogen Storage in Microporous Hypercrosslinked Organic Polymer Networks. Chem. Mater. 2007, 19, 2034–2048. [Google Scholar] [CrossRef]
- Luo, Y.; Li, B.; Wang, W.; Wu, K.; Tan, B. Hypercrosslinked Aromatic Heterocyclic Microporous Polymers: A New Class of Highly Selective CO2 Capturing Materials. Adv. Mater. 2012, 24, 5703–5707. [Google Scholar] [CrossRef]
- Mondal, J.; Kundu, S.K.; Hung Ng, W.K.; Singuru, R.; Borah, P.; Hirao, H.; Zhao, Y.; Bhaumik, A. Fabrication of Ruthenium Nanoparticles in Porous Organic Polymers: Towards Advanced Heterogeneous Catalytic Nanoreactors. Chem. Eur. J. 2015, 21, 19016–19027. [Google Scholar] [CrossRef]
- Srinivasu, P.; Venkanna, D.; Kantam, M.L.; Tang, J.; Bhargava, S.K.; Aldalbahi, A.; Wu, K.C.; Yamauchi, Y. Ordered hexagonal mesoporous aluminosilicates and their application in ligand-free synthesis of secondary amines. ChemCatChem 2015, 7, 747–751. [Google Scholar] [CrossRef]
- Canti, L.; Fraccarollo, A.; Gatti, G.; Errahali, M.; Marchese, L.; Cossi, M. An atomistic model of a disordered nanoporous solid: Interplay between Monte Carlo simulations and gas adsorption experiments. AIP Adv. 2017, 7, 045013. [Google Scholar] [CrossRef]
- Lozano-Castello, D.; Calo, J.M.; Cazorla-Amoros, D.; Linares-Solano, A. Carbon activation with KOH as explored by temperature programmed techniques and the effects of hydrogen. Carbon 2007, 45, 2529–2536. [Google Scholar] [CrossRef]
- Zhao, J.; Yang, L.; Li, F.; Yu, R.; Jin, C. Structural evolution in the graphitization process of activated carbon by high-pressure sintering. Carbon 2009, 47, 744–751. [Google Scholar] [CrossRef]
- Tuinstra, F.; Koenig, J.L. Raman spectrum of graphite. J. Chem. Phys. 1970, 53, 1126–1130. [Google Scholar] [CrossRef]
- Neimark, A.V.; Lin, Y.; Ravikovitch, P.I.; Thommes, M. Quenched Solid Density Functional Theory and Pore Size Analysis of Micro-mesoporous Carbons. Carbon 2009, 47, 1617–1628. [Google Scholar] [CrossRef]
- Yang, S.J.; Im, J.H.; Nishihara, H.; Jung, H.; Lee, K.; Kyotani, T.; Park, C.R. General Relationship between Hydrogen Adsorption Capacities at 77 and 298 K and Pore Characteristics of the Porous Adsorbents. J. Phys. Chem. C 2012, 116, 10529–10540. [Google Scholar] [CrossRef]
- Presser, V.; McDonough, J.; Yeon, S.-H.; Gogotsi, Y. Effect of pore size on carbon dioxide sorption by carbide derived carbon. Energy Environ. Sci. 2011, 4, 3059–3066. [Google Scholar] [CrossRef]
- Jorda-Beneyto, M.; Suarez-Garcia, F.; Lozano-Castello, D.; Cazorla-Amoros, D.; Linares-Solano, A. Hydrogen storage on chemically activated carbons and carbon nanomaterials at high pressures. Carbon 2007, 45, 293–303. [Google Scholar] [CrossRef]
- Yeon, S.H.; Knoke, I.; Gogotsi, Y.; Fischer, J.E. Enhanced volumetric hydrogen and methane storage capacity of monolithic carbide-derived carbon. Microporous Mesoporous Mater. 2010, 131, 423–428. [Google Scholar] [CrossRef]
- Jorda-Beneyto, M.; Lozano-Castello, D.; Suarez-Garcia, F.; Cazorla-Amoros, D.; Linares-Solano, A. Advanced activated carbon monoliths and activated carbons for hydrogen storage. Microporous Mesoporous Mater. 2008, 112, 235–242. [Google Scholar] [CrossRef]
- Zacharia, R.; Cossement, D.; Lafi, L.; Chahine, R. Volumetric hydrogen sorption capacity of monoliths prepared by mechanical densification of MOF-177. J. Mater. Chem. 2010, 20, 2145–2151. [Google Scholar] [CrossRef]
- Ganesan, A.; Shaijumon, M.M. Activated graphene-derived porous carbon with exceptional gas adsorption properties. Microporous Mesoporous Mater. 2016, 220, 21–27. [Google Scholar] [CrossRef]
- Coromina, H.M.; Walsh, D.A.; Mokaya, R. Biomass-derived activated carbon with simultaneously enhanced CO2 uptake for both pre and post combustion capture applications. J. Mater. Chem. A 2016, 4, 280–289. [Google Scholar] [CrossRef]
- Panella, B.; Hirscher, M.; Roth, S. Hydrogen adsorption in different carbon nanostructures. Carbon 2005, 43, 2209–2214. [Google Scholar] [CrossRef]
- Wang, J.; Senkovsk, I.; Kaskel, S.; Liu, Q. Chemically activated fungi-based porous carbons for hydrogen storage. Carbon 2014, 75, 371–380. [Google Scholar] [CrossRef]
- Wang, J.; Oschatz, M.; Biemelt, T.; Borchardt, L.; Senkovska, I.; Lohe, M.R.; Kaskel, S. Synthesis characterization and hydrogen storage capacities of hierarchical porous carbide derived carbon monolith. J. Mater. Chem. 2012, 22, 23893–23899. [Google Scholar] [CrossRef]
- Kockrick, E.; Schrage, C.; Borchardt, L.; Klein, N.; Rose, M.; Senkovska, I.; Kaskel, S. Ordered mesoporous carbide derived carbons for high pressure gas storage. Carbon 2010, 48, 1707–1717. [Google Scholar] [CrossRef]
- Wrobel-Iwaniec, I.; Dıez, N.; Gryglewicz, G. Chitosan-based highly activated carbons for hydrogen storage. Int. J. Hydrog. Energy 2015, 40, 5788–5796. [Google Scholar] [CrossRef]
- Himeno, S.; Komatsu, T.; Fujita, S. High-pressure adsorption equilibria of methane and carbon dioxide on several activated carbons. J. Chem. Eng. Data 2015, 50, 369–376. [Google Scholar] [CrossRef]
- Gandara, F.; Furukawa, H.; Lee, S.; Yaghi, O.M. High Methane Storage Capacity in Aluminum Metal−Organic Frameworks. J. Am. Chem. Soc. 2014, 136, 5271–5274. [Google Scholar] [CrossRef] [PubMed]
- Yang, S.J.; Jung, H.; Kim, T.; Park, C.R. Recent advances in hydrogen storage technologies based on nanoporous carbon materials. Prog. Nat. Sci. Mater. Int. 2012, 22, 631–638. [Google Scholar] [CrossRef]
- Casco, M.E.; Martinez-Escandell, M.; Gadea-Ramos, E.; Kaneko, K.; Silvestre-Albero, J.; Rodriguez-Reinoso, F. Very high methane uptake on activated carbons prepared from mesophase pitch: A compromise between microporosity and bulk density. Carbon 2015, 93, 11–21. [Google Scholar] [CrossRef]









| Sample | SSA BET (m2g−1) a | Volume TOTAL (cm3g−1) b | Volume MICRO (cm3g−1) c | Volume MESO (cm3g−1) c | ||
|---|---|---|---|---|---|---|
| <7 Å | 7 < Å< 20 | Total | ||||
| UPO8 | 1435 | 1.09 | -- | 0.31 | 0.31 | 0.78 |
| UPO8-380 | 1528 | 1.04 | 0.14 | 0.27 | 0.41 | 0.63 |
| UPO16 | 1289 | 0.96 | 0.09 | 0.22 | 0.31 | 0.65 |
| UPO16-380 | 1513 | 0.99 | 0.14 | 0.28 | 0.42 | 0.57 |
| Curve | Sample | ID/IG |
|---|---|---|
| a | KUPO8-1-750 | 1.81 |
| b | KUPO8-1-800 | 1.78 |
| c | KUPO16-1-800 | 1.51 |
| d | KUPO8-2-750 | 1.35 |
| e | KUPO8-2-800 | 1.34 |
| f | KUPO16-2-750 | 1.27 |
| g | KUPO8-3-750 | 1.66 |
| h | KUPO8-3-800 | 1.65 |
| i | KUPO16-3-800 | 1.45 |
| Sample | SSABET (m2g−1) a | Vtotal (cm3g−1) b | Vmicro (cm3g−1) c | Vmeso (cm3g−1) c | ||
|---|---|---|---|---|---|---|
| <7 Å | 7 < Å< 20 | Total | ||||
| UPO8 | 1435 | 1.09 | -- | 0.31 | 0.31 | 0.78 |
| UPO16 | 1289 | 0.96 | 0.09 | 0.22 | 0.31 | 0.65 |
| KUPO8-1-750 | 2500 | 1.03 | -- | 0.93 | 0.93 | 0.11 |
| KUPO8-1-800 | 2400 | 1.19 | -- | 0.84 | 0.84 | 0.35 |
| KUPO16-1-800 | 2700 | 1.20 | -- | 0.98 | 0.98 | 0.22 |
| KUPO8-2-750 | 2527 | 1.09 | -- | 0.95 | 0.95 | 0.14 |
| KUPO8-2-800 | 2318 | 1.21 | 0.14 | 0.50 | 0.64 | 0.57 |
| KUPO16-2-750 | 2975 | 1.24 | -- | 1.12 | 1.12 | 0.12 |
| KUPO8-3-750 | 2562 | 1.20 | 0.24 | 0.54 | 0.78 | 0.42 |
| KUPO8-3-800 | 2666 | 1.12 | -- | 0.99 | 0.99 | 0.13 |
| KUPO16-3-800 | 2950 | 1.30 | -- | 1.07 | 1.07 | 0.23 |
| Material | CH4 Uptake, 298 K 35 bar (100 bar) | H2 Uptake, 77 K 30 bar | CO2 Uptake, 298 K 40 bar |
|---|---|---|---|
| Wt % | Wt % | Wt % | |
| KUPO16-2-750 | 15.1 (17.5) | 4.7 | 51.3 |
| K-PAFs [57] | 8.7–17.1 | 3.5–6.2 | 31.5–56.9 |
| GDC [75] | 13.2–15.3 | 3.73–3.82 (10 bar) | 41.0–48.0 (20 bar) |
| Maxsorb [8] | 10.7 (12.3) | 5.3 (40 bar) [79] | 52.4 (50 bar) [82] |
| AX21 | 14.5 [83] | 4.8 (40 bar) [84] | 49.7 (20 bar) [76] |
| Packing Pressure (tons cm−2) | Time (min) | rpack (g cm−3) |
|---|---|---|
| 0.75 | 10 | 0.35 |
| 0.75 | 180 | 0.41 |
| 15.0 | 10 | 0.47 |
| Sample | SSABET (m2∙g−1) | Vtotal (cm3∙g−1) | Vmicro (cm3∙g−1) | Vmeso (cm3∙g−1) |
|---|---|---|---|---|
| As-synthesized | 2975 | 1.24 | 1.12 | 0.12 |
| After compression | 2578 | 1.09 | 0.97 | 0.12 |
© 2019 by the authors. Licensee MDPI, Basel, Switzerland. This article is an open access article distributed under the terms and conditions of the Creative Commons Attribution (CC BY) license (http://creativecommons.org/licenses/by/4.0/).
Share and Cite
Gatti, G.; Errahali, M.; Tei, L.; Cossi, M.; Marchese, L. On the Gas Storage Properties of 3D Porous Carbons Derived from Hyper-Crosslinked Polymers. Polymers 2019, 11, 588. https://doi.org/10.3390/polym11040588
Gatti G, Errahali M, Tei L, Cossi M, Marchese L. On the Gas Storage Properties of 3D Porous Carbons Derived from Hyper-Crosslinked Polymers. Polymers. 2019; 11(4):588. https://doi.org/10.3390/polym11040588
Chicago/Turabian StyleGatti, Giorgio, Mina Errahali, Lorenzo Tei, Maurizio Cossi, and Leonardo Marchese. 2019. "On the Gas Storage Properties of 3D Porous Carbons Derived from Hyper-Crosslinked Polymers" Polymers 11, no. 4: 588. https://doi.org/10.3390/polym11040588
APA StyleGatti, G., Errahali, M., Tei, L., Cossi, M., & Marchese, L. (2019). On the Gas Storage Properties of 3D Porous Carbons Derived from Hyper-Crosslinked Polymers. Polymers, 11(4), 588. https://doi.org/10.3390/polym11040588

