Manifestation of Interactions of Nano-Silica in Silicone Rubber Investigated by Low-Frequency Dielectric Spectroscopy and Mechanical Tests
Abstract
1. Introduction
2. Materials and Methods
2.1. Material Fabrication
2.2. Parameters of Fumed Nano-Silica
2.2.1. Morphology
2.2.2. FTIR and XPS Analyses
2.3. Dielectric Response Measurement
2.4. Mechanical Strength Measurement
3. Results
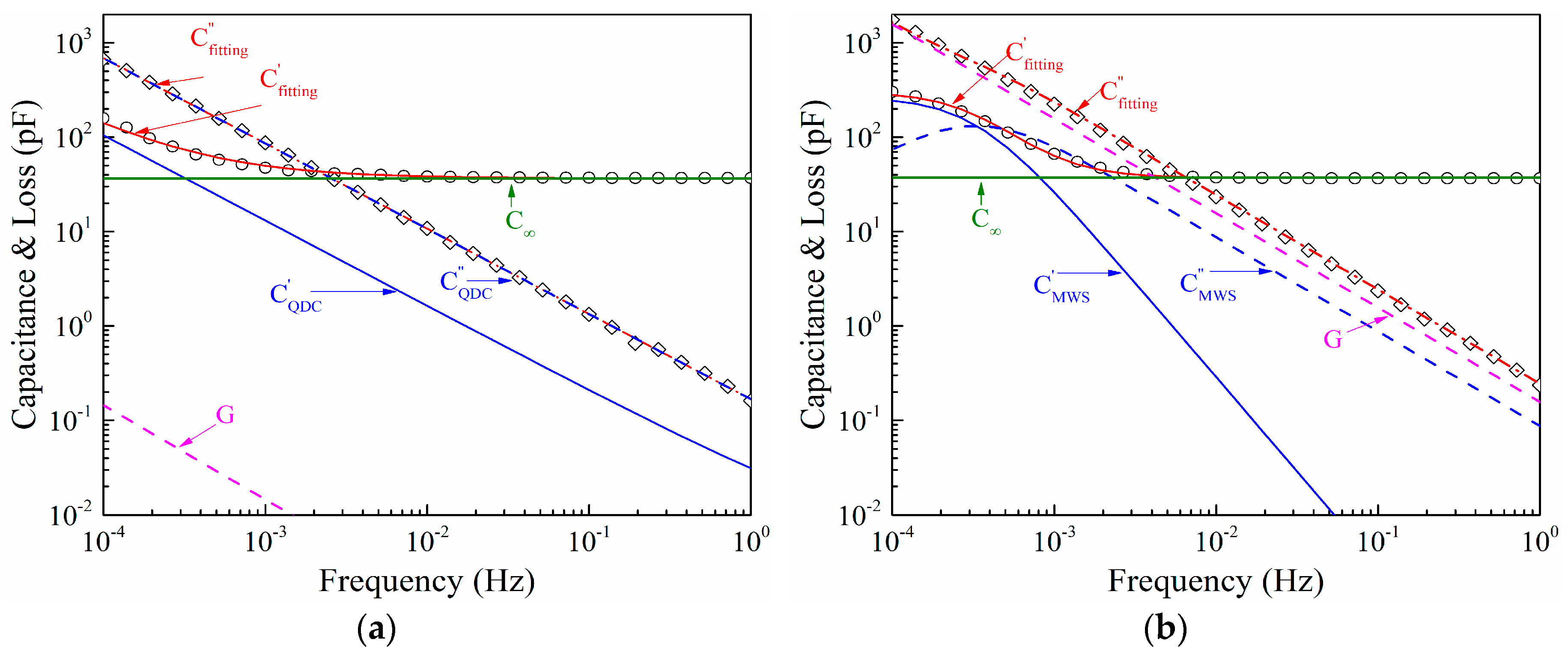
3.1. Capacitance and Susceptibility
3.2. Equivalent Circuit Analysis
3.3. Temperature Dependence of Susceptibility
3.4. Mechanical Performance
4. Discussion
5. Conclusions
Author Contributions
Acknowledgments
Conflicts of Interest
References
- Liang, X.; Wang, S.; Fan, J.; Guan, Z. Development of composite insulators in China. IEEE Trans. Dielectr. Electr. Insul. 1999, 6, 586–594. [Google Scholar] [CrossRef]
- Gubanski, S.M. Modern outdoor insulation-concerns and challenges. IEEE Electr. Insul. Mag. 2005, 21, 5–11. [Google Scholar] [CrossRef]
- Lei, W.; Wu, K.; Wang, Y.; Cheng, Y.; Zheng, X.; Dissado, L.A.; Dodd, S.J.; Chalashkanov, N.M.; Fotherglll, J.C.; Zhang, C.; et al. Are nano-composites really better DC insulators? A study using silica nanoparticles in XLPE. IEEE Trans. Dielectr. Electr. Insul. 2017, 24, 2268–2270. [Google Scholar] [CrossRef]
- Marx, P.; Wanner, A.; Zhang, Z.; Jin, H.; Tsekmes, I.; Smit, J.; Kern, W.; Wiesbrock, F. Effect of interfacial polarization and water absorption on the dielectric properties of epoxy-nanocomposites. Polymers 2017, 9, 195. [Google Scholar] [CrossRef] [PubMed]
- Liu, J.; Cheng, Y.; Xu, K.; An, L.; Su, Y.; Li, X.; Zhang, Z. Effect of nano-silica filler on microstructure and mechanical properties of polydimethylsiloxane-based nanocomposites prepared by “inhibition-grafting” method. Compos. Sci. Technol. 2018, 167, 355–363. [Google Scholar] [CrossRef]
- Li, H.; Liu, F.; Tian, H.; Wang, C.; Guo, Z.; Liu, P.; Peng, Z.; Wang, Q. Synergetic enhancement of mechanical and electrical strength in epoxy/silica nanocomposites via chemically-bonded interface. Compos. Sci. Technol. 2018, 167, 539–546. [Google Scholar] [CrossRef]
- Zhang, L.; Khani, M.M.; Krentz, T.M.; Huang, Y.; Zhou, Y.; Benicewicz, B.C.; Nelson, J.K.; Schadler, L.S. Suppression of space charge in crosslinked polyethylene filled with poly(stearyl methacrylate)-grafted SiO2 nanoparticles. Appl. Phys. Lett. 2017, 110, 132903. [Google Scholar] [CrossRef]
- Pourrahimi, A.M.; Pallon, L.K.H.; Liu, D.; Hoang, T.A.; Gubanski, S.; Hedenqvist, M.S.; Olsson, R.T.; Gedde, U.W. Polyethylene Nanocomposites for the Next Generation of Ultralow-Transmission-Loss HVDC Cables: Insulation Containing Moisture-Resistant MgO Nanoparticles. ACS Appl. Mater. Interfaces 2016, 8, 14824–14835. [Google Scholar] [CrossRef]
- Otegui, J.; Schwartz, G.A.; Cerveny, S.; Colmenero, J. Influence of water and filler content on the dielectric response of silica-filled rubber compounds. Macromolecules 2013, 46, 2407–2416. [Google Scholar] [CrossRef][Green Version]
- Min, D.; Yan, C.; Huang, Y.; Li, S.; Ohki, Y. Dielectric and carrier transport properties of silicone rubber degraded by gamma irradiation. Polymers 2017, 9, 533. [Google Scholar] [CrossRef]
- Linde, E.; Verardi, L.; Fabiani, D.; Gedde, U.W. Dielectric spectroscopy as a condition monitoring technique for cable insulation based on crosslinked polyethylene. Polym. Test. 2015, 44, 135–142. [Google Scholar] [CrossRef]
- Kremer, F.; Schönhals, A. Broadband Dielectric Spectroscopy; Springer: Berlin, Germany, 2003. [Google Scholar]
- Dissado, L.A.; Rowe, R.C.; Haidar, A.; Hill, R.M. The Characterization of Heterogeneous Gels by Means of a Dielectric Technique I. Theory and Preliminary Evaluation. J. Colloid Interface Sci. 1987, 117, 310–324. [Google Scholar] [CrossRef]
- Rowe, R.C.; Dissado, L.A.; Zaidi, S.H.; Hill, R.M. The Characterization of Heterogeneous Gels by Means of a Dielectric Technique II. Formulation and Structural Considerations. J. Colloid Interface Sci. 1998, 122, 354–366. [Google Scholar] [CrossRef]
- Abdelmalik, A.A.; Dodd, S.J.; Dissado, L.A.; Chalashkanov, N.M.; Fothergill, J.C. Charge transport in thermally aged paper impregnated with natural ester oil. IEEE Trans. Dielectr. Electr. Insul. 2014, 21, 2318–2328. [Google Scholar] [CrossRef]
- Chalashkanov, N.M.; Dodd, S.J.; Dissado, L.A.; Fothergill, J.C. Re-examination of the Dielectric Spectra of Epoxy Resins: Bulk Charge Transport and Interfacial Polarization Peaks. IEEE Trans. Dielectr. Electr. Insul. 2014, 21, 1330–1341. [Google Scholar] [CrossRef]
- Gao, Y.; Liang, X.; Dissado, L.A.; Dodd, S.J.; Chalashkanov, N.M. Dielectric response of filled high temperature vulcanized silicone rubber. IEEE Trans. Dielectr. Electr. Insul. 2016, 23, 3683–3695. [Google Scholar] [CrossRef]
- Wu, C.; Liang, X.; Dissado, L.A.; Chalashkanov, N.M.; Dodd, S.J.; Gao, Y.; Xu, S. Dielectric response of nano aluminium tri-hydrate filled silicone rubber. Compos. Sci. Technol. 2018, 163, 56–62. [Google Scholar] [CrossRef]
- Dissado, L.A.; Hill, R.M. Anomalous low-frequency dispersion. Near direct current conductivity in disordered low-dimensional materials. J. Chem. Soc. Faraday Trans. 2 Mol. Chem. Phys. 1984, 80, 291–319. [Google Scholar] [CrossRef]
- Tuncer, E.; Gubanski, S.M. Dielectric behavior of filled silicone rubbers: Effects of cross-linking agent and surface modified fillers. In Proceedings of the 2000 Annual Report Conference on Electrical Insulation and Dielectric Phenomena, Vicrotia, BC, Canada, 15–18 October 2000; pp. 175–178. [Google Scholar]
- Kirst, K.; Kremer, F.; Litvinov, V. Broad-band dielectric spectroscopy on the molecular dynamics of bulk and adsorbed poly(dimethylsiloxane). Macromolecules 1993, 26, 975–980. [Google Scholar] [CrossRef]
- Tuncer, E.; Gubanski, S.M. Electrical properties of filled silicone rubber. J. Phys. Condens. Matter 2000, 12, 1873–1897. [Google Scholar] [CrossRef]
- Yuan, C.; Xie, C.; Li, L.; Xu, X.; Gubanski, S.M. Dielectric response characterization of in-service aged sheds of (U)HVDC silicone rubber composite insulators. IEEE Trans. Dielectr. Electr. Insul. 2016, 23, 1418–1426. [Google Scholar] [CrossRef]
- Sillars, R.W. The properties of a dielectric containing semiconducting particles of various shapes. J. Inst. Electr. Eng. 1937, 12, 139–155. [Google Scholar]
- Cai, J.J.; Salovey, R. Model filled rubber IV: Dependence of stress-strain relationship on filler particle morphology. J. Mater. Sci. 1999, 34, 4719–4726. [Google Scholar] [CrossRef]
- Merckel, Y.; Diani, J.; Brieu, M.; Caillard, J. Effects of the amount of fillers and of the crosslink density on the mechanical behavior of carbon-black filled styrene butadiene rubbers. J. Appl. Polym. Sci. 2013, 129, 2086–2091. [Google Scholar] [CrossRef]
- Polgar, L.M.; Hagting, E.; Raffa, P.; Mauri, M.; Simonutti, R.; Picchioni, F.; Duin, M. Effect of rubber polarity on cluster formation in rubbers cross-linked with diels-alder chemistry. Macromolecules 2017, 50, 8955–8964. [Google Scholar] [CrossRef] [PubMed]
- Rubber, Vulcanized or Thermoplastic—Determination of Tensile Stress-Strain Properties; International Standard ISO 37: 2005(E); International Organization for Standardization (ISO): Geneva, Switzerland, 2005.
- Vilgis, T.A.; Heienrich, G.; Kluppel, M. Reinforcement of Polymer Nano-Composites: Theory, Experiments and Applications; Cambridge University Press: Cambridge, UK, 2009. [Google Scholar]
- Seiler, J.; Kindersberger, J. Insight into the Interphase in Polymer Nanocomposites. IEEE Trans. Dielectr. Electr. Insul. 2014, 21, 537–547. [Google Scholar] [CrossRef]
- Jonscher, A.K. Dielectric Relaxation in Solids; Chelsea Dielectrics Press: London, UK, 1983. [Google Scholar]
- Hill, R.M.; Dissado, L.A. The temperature dependence of relaxation processes. J. Phys. C Solid State Phys. 1982, 15, 5171–5193. [Google Scholar] [CrossRef]
- Jonscher, A.K. Universal Relaxation Law; Chelsea Dielectrics Press: London, UK, 1996. [Google Scholar]
- Andritsch, T.M. Epoxy Based Nanodielectrics for High Voltage DC-Applications—Synthesis, Dielectric Properties and Space Charge Dynamics. Ph.D. Thesis, Technische Universiteit Delft, Delft, The Netherlands, 2010. [Google Scholar]
- Zou, C. The Effect of Humidity and Surface Functionalisation on the Dielectric Properties of Nanocomposites. Ph.D. Thesis, University of Leicester, Leicester, UK, 2007. [Google Scholar]










| Composition (parts) | PMV SiR | Un_silica x | Mo_silica x |
|---|---|---|---|
| PMV SiR | 100 | 100 | 100 |
| SiO2 | 0 | x (x = 10/20/30) | x (x = 10/20/30) |
| DCP | 2 | 2 | 2 |
| Circuit Element | Parameters | |
|---|---|---|
| Q-DC process | χ(0) | 8.58 × 10−4 |
| ωc (rad/s) | >50 × 2π | |
| p | 0.9 | |
| n | - | |
| G (pS) | 9.15 × 10−5 | |
| C∞ (pF) | 36.79 | |
| Circuit Element | Parameters | |
|---|---|---|
| MWS polarization | Cbarrier (pF) | 265.3 |
| GMWS (pS) | 0.55 | |
| χ (0) | 19.2 | |
| ωmws (rad/s) | 1.3 × 10−2 | |
| Gdc (pS) | 0.986 | |
| C∞ (pF) | 37.2 | |
© 2019 by the authors. Licensee MDPI, Basel, Switzerland. This article is an open access article distributed under the terms and conditions of the Creative Commons Attribution (CC BY) license (http://creativecommons.org/licenses/by/4.0/).
Share and Cite
Wu, C.; Gao, Y.; Liang, X.; Gubanski, S.M.; Wang, Q.; Bao, W.; Li, S. Manifestation of Interactions of Nano-Silica in Silicone Rubber Investigated by Low-Frequency Dielectric Spectroscopy and Mechanical Tests. Polymers 2019, 11, 717. https://doi.org/10.3390/polym11040717
Wu C, Gao Y, Liang X, Gubanski SM, Wang Q, Bao W, Li S. Manifestation of Interactions of Nano-Silica in Silicone Rubber Investigated by Low-Frequency Dielectric Spectroscopy and Mechanical Tests. Polymers. 2019; 11(4):717. https://doi.org/10.3390/polym11040717
Chicago/Turabian StyleWu, Chao, Yanfeng Gao, Xidong Liang, Stanislaw M. Gubanski, Qian Wang, Weining Bao, and Shaohua Li. 2019. "Manifestation of Interactions of Nano-Silica in Silicone Rubber Investigated by Low-Frequency Dielectric Spectroscopy and Mechanical Tests" Polymers 11, no. 4: 717. https://doi.org/10.3390/polym11040717
APA StyleWu, C., Gao, Y., Liang, X., Gubanski, S. M., Wang, Q., Bao, W., & Li, S. (2019). Manifestation of Interactions of Nano-Silica in Silicone Rubber Investigated by Low-Frequency Dielectric Spectroscopy and Mechanical Tests. Polymers, 11(4), 717. https://doi.org/10.3390/polym11040717

