Design and Synthesis of a New Mannitol Stearate Ester-Based Aluminum Alkoxide as a Novel Tri-Functional Additive for Poly(Vinyl Chloride) and Its Synergistic Effect with Zinc Stearate
Abstract
1. Introduction
2. Experimental
2.1. Materials
2.2. Preparation of MSE and MSE-Al
2.3. Characterization of MSE and MSE-Al
2.4. Preparation of PVC Samples
2.5. Thermal Stability Test of MSE-Al
2.5.1. Congo Red Test
2.5.2. Conductivity Measurement
2.5.3. Thermal Aging Test
2.5.4. UV–Vis Spectroscopy Test
2.5.5. Torque Rheometer Test
2.6. The Capacity for Neutralizing HCl
3. Results and Discussion
3.1. Characterization of MSE-Al
3.2. Thermal Analysis of MSE-Al
3.3. Thermal Stability Tests of MSE-Al on PVC
3.3.1. Appropriate Dosage of MSE-Al
3.3.2. Oven Aging Test of MSE-Al on PVC
3.4. Thermal Stability Tests of MSE-Al/ZnSt2 on PVC
3.4.1. Congo Red Test
3.4.2. Conductivity Test
3.4.3. Thermal Aging Test
3.4.4. UV–Vis Spectroscopy Test
3.4.5. Torque Rheometer Test
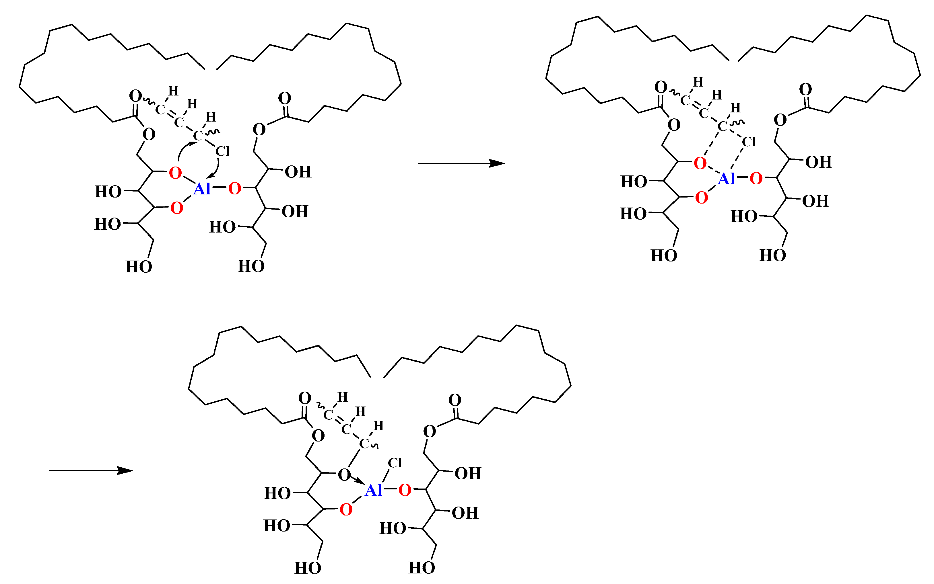
3.5. Thermal Stabilizing Mechanism of MSE-Al
3.5.1. Neutralize HCl
3.5.2. Replacement of the Labile Chlorine Atoms in the PVC
3.5.3. Formation of a Complex with AlCl3 and ZnCl2
4. Conclusions
Author Contributions
Funding
Conflicts of Interest
References
- Avalos, A.S.; Hakkarainen, M.; Odelius, K. Superiorly plasticized PVC/PBSA blends through crotonic and acrylic acid functionalization of PVC. Polymers 2017, 9, 84. [Google Scholar] [CrossRef] [PubMed]
- Ye, F.; Ye, Q.F.; Zhan, H.H.; Ge, Y.Q.; Ma, X.T.; Xu, Y.Y.; Wang, X. Synthesis and Study of Zinc Orotate and Its Synergistic Effect with Commercial Stabilizers for Stabilizing Poly(Vinyl Chloride). Polymers 2019, 11, 194. [Google Scholar] [CrossRef] [PubMed]
- Dong, T.B.; Li, D.G.; Li, Y.P.; Han, W.Y.; Zhang, L.P.; Xie, G.; Sunarso, T.; Liu, S.M. Design and synthesis of polyol ester-based zinc metal alkoxides as a bi-functional thermal stabilizer for poly(vinyl chloride). Polym. Degrad. Stab. 2019, 159, 125–132. [Google Scholar] [CrossRef]
- Ye, F.; Guo, X.J.; Zhan, H.H.; Lin, J.X.; Lou, W.C.; Ma, X.T.; Wang, X. The synergistic effect of zinc urate with calcium stearate and commercial assistant stabilizers for stabilizing poly(vinyl chloride). Polym. Degrad. Stab. 2018, 156, 193–201. [Google Scholar] [CrossRef]
- Wang, M.; Song, X.H.; Jiang, J.L.; Xia, L.; Li, S.H.; Li, M. Excellent hydroxyl and nitrogen rich groups-containing tung-oil-based Ca/Zn and polyol stabilizers for enhanced thermal stability of PVC. Thermochim. Acta 2017, 658, 84–92. [Google Scholar] [CrossRef]
- Arkış, E.; Balköse, D. Thermal stabilisation of poly(vinyl chloride) by organotin compounds. Polym. Degrad. Stab. 2005, 88, 46–51. [Google Scholar] [CrossRef]
- Li, S.M.; Yao, Y.W. Effect of thermal stabilizers composed of zinc barbiturate and calcium stearate for rigid poly(vinyl chloride). Polym. Degrad. Stab. 2011, 96, 637–641. [Google Scholar] [CrossRef]
- Starnes, W.H.; Ge, X. Mechanism of Autocatalysis in the Thermal Dehydrochlorination of Poly(vinyl chloride). Macromolecules 2003, 37, 352–359. [Google Scholar] [CrossRef]
- Kalouskova, R.; Novotna, M.; Vymazal, Z. Investigation of thermal stabilization of poly(vinyl chloride) by lead stearate and its combination with synthetic hydrotalcite. Polym. Degrad. Stab. 2004, 85, 903–909. [Google Scholar] [CrossRef]
- Li, M.; Liang, Y.D.; Wang, X.B.; Li, K.S.; Liu, X.R. Synthesis of the complex of lanthanum (III) with N-(2-amino ethyl) maleamic acid radical and its application to PVC as thermal stabilizer. Polym. Degrad. Stab. 2016, 124, 87–94. [Google Scholar] [CrossRef]
- Wang, M.; Xia, J.L.; Jiang, J.C.; Li, S.H.; Huang, K.; Mao, W.; Li, M. A novel liquid Ca/Zn thermal stabilizer synthesized from tung-maleic anhydride and its effects on thermal stability and mechanical properties of PVC. Polym. Degrad. Stab. 2016, 133, 136–143. [Google Scholar] [CrossRef]
- Wang, M.; Xu, J.Y.; Wu, H.; Guo, S.Y. Effect of pentaerythritol and organic tin with calcium/zinc stearates on the stabilization of poly(vinyl chloride). Polym. Degrad. Stab. 2006, 91, 2101–2109. [Google Scholar] [CrossRef]
- Balköse, D.; Gökçelb, H.İ.; Göktepe, S.E. Synergism of Ca/Zn soaps in poly(vinyl chloride) thermal stability. Eur. Polym. J. 2001, 37, 1191–1197. [Google Scholar] [CrossRef]
- Bensemra, N.; Hoang, T.V.; Michel, A.; Bartholin, M.; Guyot, A. Thermal dehydrochlorination and stabilization of poly(vinyl chloride) in solution: Part III—Zn-Ca stearates as stabilizers. Polym. Degrad. Stab. 1989, 24, 33–50. [Google Scholar] [CrossRef]
- Wu, B.Z.; Wang, Y.W.; Chen, S.; Wang, M.Y.; Ma, M.; Shi, Y.Q.; Wang, X. Stability, mechanism and unique “zinc burning” inhibition synergistic effect of zinc dehydroacetate as thermal stabilizer for poly(vinyl chloride). Polym. Degrad. Stab. 2018, 152, 228–234. [Google Scholar] [CrossRef]
- Benavides, R.; Edge, M.; Allen, N.S.; Téllez, M.M. Stabilization of poly(vinyl chloride) with preheated metal stearates and costabilizers. II. Use of a polyol. J. Appl. Polym. Sci. 1998, 68, 11–27. [Google Scholar] [CrossRef]
- Li, D.G.; Xie, L.H.; Fu, M.; Zhang, J.; Indrawirawan, S.; Zhang, Y.L.; Tang, S.Y. Synergistic effects of lanthanum-pentaerythritol alkoxide with zincstearates and with β-diketone on the thermal stability of poly(vinyl chloride). Polym. Degrad. Stab. 2015, 114, 52–59. [Google Scholar] [CrossRef]
- Xie, L.H.; Li, D.G.; Zhang, J. The effect of pentaerythritol-aluminum on the thermal stability of rigid poly(vinyl chloride). J. Appl. Polym. Sci. 2013, 130, 3704–3709. [Google Scholar] [CrossRef]
- Mehrotra, R.C. Synthesis and reactions of metal alkoxides. J. Non-Cryst. Solids. 1988, 100, 1–15. [Google Scholar] [CrossRef]
- Bradley, D.C. Metal Alkoxides. Prog. Inorg. Chem. 1959, 23, 10–36. [Google Scholar]
- ISO 182-1-1990. Plastics Determination of the Tendency of Compounds andProducts Based on Vinyl Chloride Homopolymers and Copolymers to Evolve Hydrogen Chloride and Any Other Acidic Products at Elevated Temperatures; Part 1: Congo Red Method, 1st ed.; Technical Committee ISO/TC 61: Geneva, Switzerland, 1990. [Google Scholar]
- ISO 305-1990(E). Plastics Determination of Thermal Stability of Poly(vinyl Chloride), Related Chlorine-containing Homopolymers and Copolymers and Their Compounds- Discoloration Method, 2nd ed.; Technical Committee ISO/TC 61: Geneva, Switzerland, 1990. [Google Scholar]
- Tomar, N.; Nagarajan, R. Effect of phenyl group on the structure and formation of transitional alumina from Al (OPh)3. J. Sol-Gel. Sci. Technol. 2010, 53, 293–299. [Google Scholar] [CrossRef]
- Khosravi, M.; Andrus, M.B.; Burt, S.R.; Woodfield, B.F. Generalized preparation method and characterization of aluminum isopropoxide, aluminum phenoxide, and aluminum n-hexyloxide. Polyhedron 2013, 62, 18–25. [Google Scholar] [CrossRef]
- Hosney, H.; Nadiem, B.; Ashour, I.; Mustafa, I.; El-Shibiny, A. Epoxidized vegetable oil and bio-based materials as PVC plasticizer. J. Appl. Polym. Sci. 2018, 135, 46270–46281. [Google Scholar] [CrossRef]
- Chen, J.; Liu, Z.; Wang, K.; Huang, J.; Li, K.; Nie, X.; Jiang, J. Epoxidized castor oil-based diglycidyl-phthalate plasticizer: Synthesis and thermal stabilizing effects on poly(vinyl chloride). J. Appl. Polym. Sci. 2018, 135, 47142–47150. [Google Scholar] [CrossRef]
- Van Oosterhout, J.T.; Gilbert, M. Interactions between PVC and binary or ternary blends of plasticizers. Part I. PVC/plasticizer compatibility. Polymers 2003, 44, 8081–8094. [Google Scholar] [CrossRef]
- Abbas, K.B.; Sörvik, E.M. Heat stabilizers for poly (vinyl chloride) II. Improvement of non-toxic systems. J. Vinyl. Addit. Tech. 1980, 2, 152–159. [Google Scholar] [CrossRef]
- Raymond, L.; Morin, F.G.; Marchessault, R.H. Degree of deacetylation of chitosan using conductometric titration and solid-state NMR. Carbohyd. Res. 1993, 246, 331–336. [Google Scholar] [CrossRef]
- Li, D.G.; Zhou, M.; Xie, L.H.; Yu, X.J.; Yu, Y.Z.; Ai, H.Q.; Tang, S.Y. Synergism of pentaerythritol-zinc with β-diketone and calcium stearate in poly(vinyl chloride) thermal stability. Polym. J. 2013, 45, 775–782. [Google Scholar] [CrossRef]
- Sanaei, Z.; Shahrabi, T.; Ramezanzadeh, B. Synthesis and characterization of an effective green corrosion inhibitive hybrid pigment based on zinc acetate Cichorium intybus L leaves extract (ZnA-CIL.L): Electrochemical in vestigations on the synergistic corrosion inhibition of mild steel in aqueous chloride solutions. Dyes. Pigments. 2017, 139, 218–232. [Google Scholar]
















| Stabilizers | Induction Time/min | Stabilization Time/min | |
|---|---|---|---|
| MSE-Al /phr | ZnSt2 /phr | ||
| / | / | 12.7 | 19.9 | 
| 4 | / | 46.3 | 64.3 | 
| 3 | 1 | 49.5 | 84.1 | 
| 2 | 2 | 25.2 | 52.4 | 
| 1 | 3 | 17.8 | 21.5 | 
| / | 4 | 10.3 | 11.7 | 
| Stabilizer | HCl Absorption Capacity (1g of Thermal Stabilizer Absorbs the Mass of HCl) | 
|---|---|
| Lead salt | 278.50 mg | 
| ZnSt2 | 95.38 mg | 
| MSE-Al | 61.95 mg | 
© 2019 by the authors. Licensee MDPI, Basel, Switzerland. This article is an open access article distributed under the terms and conditions of the Creative Commons Attribution (CC BY) license (http://creativecommons.org/licenses/by/4.0/).
Share and Cite
Han, W.; Zhang, M.; Li, D.; Dong, T.; Ai, B.; Dou, J.; Sun, H. Design and Synthesis of a New Mannitol Stearate Ester-Based Aluminum Alkoxide as a Novel Tri-Functional Additive for Poly(Vinyl Chloride) and Its Synergistic Effect with Zinc Stearate. Polymers 2019, 11, 1031. https://doi.org/10.3390/polym11061031
Han W, Zhang M, Li D, Dong T, Ai B, Dou J, Sun H. Design and Synthesis of a New Mannitol Stearate Ester-Based Aluminum Alkoxide as a Novel Tri-Functional Additive for Poly(Vinyl Chloride) and Its Synergistic Effect with Zinc Stearate. Polymers. 2019; 11(6):1031. https://doi.org/10.3390/polym11061031
Chicago/Turabian StyleHan, Wenyuan, Manqi Zhang, Degang Li, Tianbao Dong, Bing Ai, Jianping Dou, and Hongqi Sun. 2019. "Design and Synthesis of a New Mannitol Stearate Ester-Based Aluminum Alkoxide as a Novel Tri-Functional Additive for Poly(Vinyl Chloride) and Its Synergistic Effect with Zinc Stearate" Polymers 11, no. 6: 1031. https://doi.org/10.3390/polym11061031
APA StyleHan, W., Zhang, M., Li, D., Dong, T., Ai, B., Dou, J., & Sun, H. (2019). Design and Synthesis of a New Mannitol Stearate Ester-Based Aluminum Alkoxide as a Novel Tri-Functional Additive for Poly(Vinyl Chloride) and Its Synergistic Effect with Zinc Stearate. Polymers, 11(6), 1031. https://doi.org/10.3390/polym11061031
 
        


 
                         
       