Synthesis and Impedance Spectroscopy of Poly(p-phenylenediamine)/Montmorillonite Composites
Abstract
:1. Introduction
2. Materials and Methods
2.1. Preparation of Composites
2.2. Characterization
3. Results and Discussion
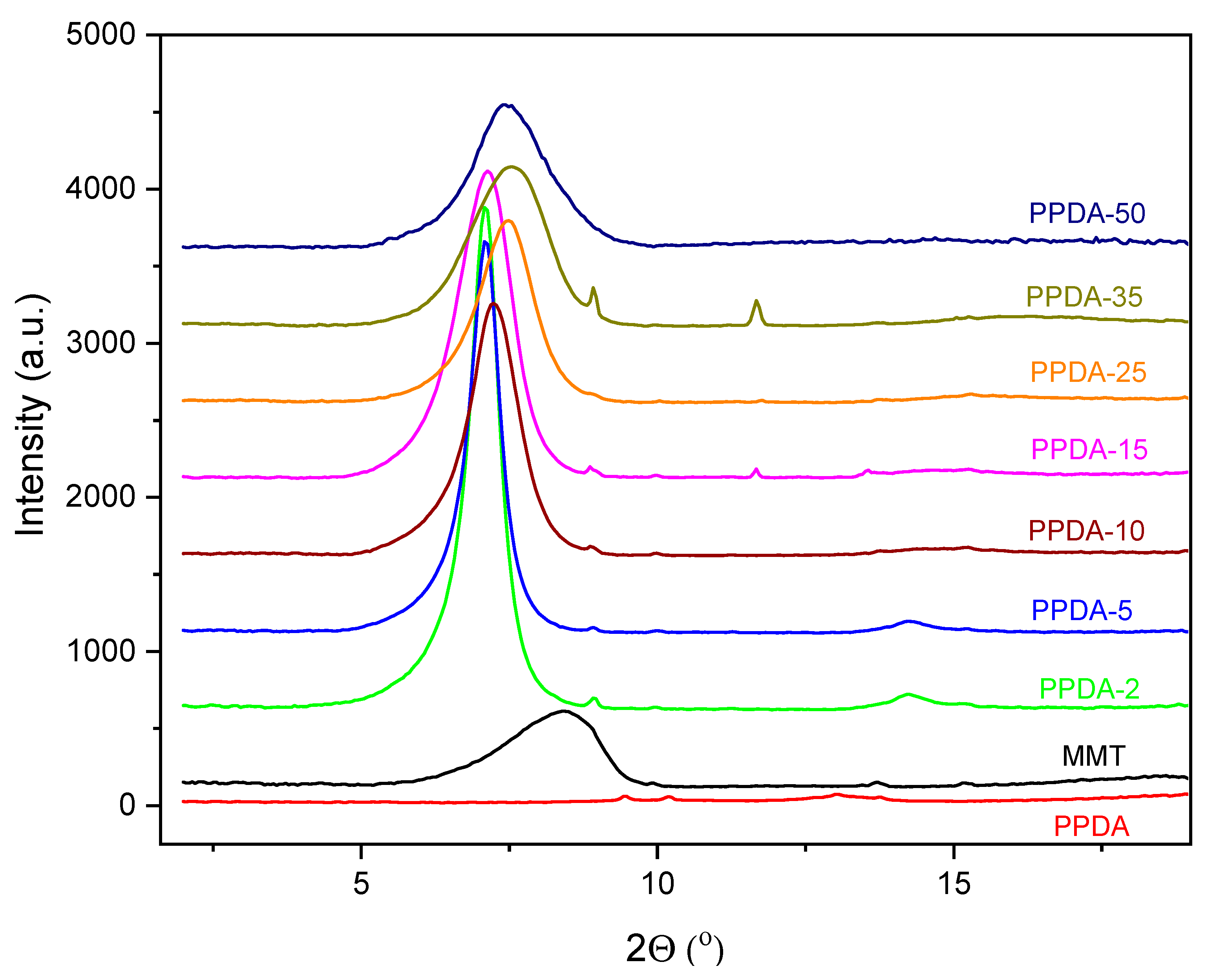
3.1. X-ray Diffraction Analysis
3.2. Infrared and Raman Spectroscopies
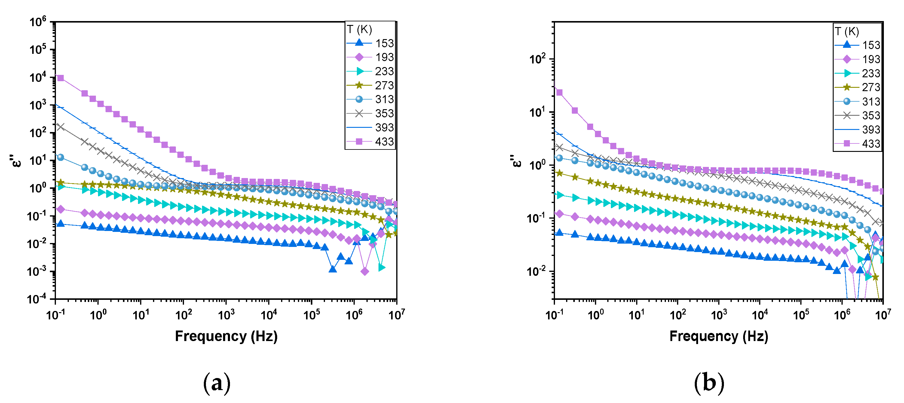
3.3. Impedance Spectroscopy
4. Conclusions
Author Contributions
Funding
Data Availability Statement
Acknowledgments
Conflicts of Interest
References
- Faustini, M.; Nicole, L.; Ruiz-Hitzky, E.; Sanchez, C. History of Organic–Inorganic Hybrid Materials: Prehistory, Art, Science, and Advanced Applications. Adv. Funct. Mater. 2018, 28, 1704158. [Google Scholar] [CrossRef]
- Kenane, A.; Galca, A.-C.; Matei, E.; Yahiaoui, A.; Hachemaoui, A.; Benkouider, A.M.; Bartha, C.; Istrate, M.C.; Galatanu, M.; Rasoga, O.; et al. Synthesis and Characterization of Conducting Aniline and O-Anisidine Nanocomposites Based on Montmorillonite Modified Clay. Appl. Clay Sci. 2020, 184, 105395. [Google Scholar] [CrossRef]
- Li, S.; Fan, Z. Encapsulation Methods of Sulfur Particles for Lithium-Sulfur Batteries: A Review. Energy Storage Mater. 2021, 34, 107–127. [Google Scholar] [CrossRef]
- Li, S.; Leng, D.; Li, W.; Qie, L.; Dong, Z.; Cheng, Z.; Fan, Z. Recent Progress in Developing Li2S Cathodes for Li–S Batteries. Energy Storage Mater. 2020, 27, 279–296. [Google Scholar] [CrossRef]
- Li, S.; Fan, Z. Nitrogen-Doped Carbon Mesh from Pyrolysis of Cotton in Ammonia as Binder-Free Electrodes of Supercapacitors. Microporous Mesoporous Mater. 2019, 274, 313–317. [Google Scholar] [CrossRef]
- Hosseini, M.G.; Raghibi-Boroujeni, M.; Ahadzadeh, I.; Najjar, R.; Seyed Dorraji, M.S. Effect of Polypyrrole–Montmorillonite Nanocomposites Powder Addition on Corrosion Performance of Epoxy Coatings on Al 5000. Prog. Org. Coat. 2009, 66, 321–327. [Google Scholar] [CrossRef]
- Oraon, R.; De Adhikari, A.; Tiwari, S.K.; Nayak, G.C. Enhanced Specific Capacitance of Self-Assembled Three-Dimensional Carbon Nanotube/Layered Silicate/Polyaniline Hybrid Sandwiched Nanocomposite for Supercapacitor Applications. ACS Sustain. Chem. Eng. 2016, 4, 1392–1403. [Google Scholar] [CrossRef]
- Bober, P.; Stejskal, J.; Špírková, M.; Trchová, M.; Varga, M.; Prokeš, J. Conducting Polyaniline–Montmorillonite Composites. Synth. Met. 2010, 160, 2596–2604. [Google Scholar] [CrossRef]
- De León-Almazán, C.M.; Estrada-Moreno, I.A.; Olmedo-Martínez, J.L.; Rivera-Armenta, J.L. Semiconducting Elastomers Based on Polyaniline/Clay Nanocomposites and SEBS Obtained by an Alternative Processing Technique. Synth. Met. 2020, 268, 116460. [Google Scholar] [CrossRef]
- Kazim, S.; Ahmad, S.; Pfleger, J.; Plestil, J.; Joshi, Y.M. Polyaniline–Sodium Montmorillonite Clay Nanocomposites: Effect of Clay Concentration on Thermal, Structural, and Electrical Properties. J. Mater. Sci. 2012, 47, 420–428. [Google Scholar] [CrossRef]
- Contri, G.; Barra, G.M.O.; Ramoa, S.D.A.S.; Merlini, C.; Ecco, L.G.; Souza, F.S.; Spinelli, A. Epoxy Coating Based on Montmorillonite-Polypyrrole: Electrical Properties and Prospective Application on Corrosion Protection of Steel. Prog. Org. Coat. 2018, 114, 201–207. [Google Scholar] [CrossRef]
- Vilímová, P.; Kulhánková, L.; Peikertová, P.; Mamulová Kutláková, K.; Vallová, S.; Koníčková, H.; Plaček, T.; Tokarský, J. Effect of Montmorillonite/Polypyrrole Ratio and Oxidizing Agent on Structure and Electrical Conductivity of Intercalated Nanocomposites. Appl. Clay Sci. 2019, 168, 459–468. [Google Scholar] [CrossRef]
- Aradilla, D.; Estrany, F.; Azambuja, D.S.; Casas, M.T.; Puiggali, J.; Ferreira, C.A.; Alemán, C. Conducting Poly(3,4-Ethylenedioxythiophene)-Montmorillonite Exfoliated Nanocomposites. Eur. Polym. J. 2010, 46, 977–983. [Google Scholar] [CrossRef]
- Do Nascimento, G.M.; Sestrem, R.H.; Temperini, M.L.A. Structural Characterization of Poly-Para-Phenylenediamine–Montmorillonite Clay Nanocomposites. Synth. Met. 2010, 160, 2397–2403. [Google Scholar] [CrossRef]
- Ramya, E.; Rajashree, C.; Nayak, P.L.; Narayana Rao, D. New Hybrid Organic Polymer Montmorillonite/Chitosan/Polyphenylenediamine Composites for Nonlinear Optical Studies. Appl. Clay Sci. 2017, 150, 323–332. [Google Scholar] [CrossRef]
- Rajapakse, R.M.G.; Murakami, K.; Bandara, H.M.N.; Rajapakse, R.M.M.Y.; Velauthamurti, K.; Wijeratne, S. Preparation and Characterization of Electronically Conducting Polypyrrole-Montmorillonite Nanocomposite and Its Potential Application as a Cathode Material for Oxygen Reduction. Electrochim. Acta 2010, 55, 2490–2497. [Google Scholar] [CrossRef]
- de Barros, A.; Constantino, C.J.L.; da Cruz, N.C.; Bortoleto, J.R.R.; Ferreira, M. High Performance of Electrochemical Sensors Based on LbL Films of Gold Nanoparticles, Polyaniline and Sodium Montmorillonite Clay Mineral for Simultaneous Detection of Metal Ions. Electrochim. Acta 2017, 235, 700–708. [Google Scholar] [CrossRef] [Green Version]
- Zheng, H.; Liu, M.; Yan, Z.; Chen, J. Highly Selective and Stable Glucose Biosensor Based on Incorporation of Platinum Nanoparticles into Polyaniline-Montmorillonite Hybrid Composites. Microchem. J. 2020, 152, 104266. [Google Scholar] [CrossRef]
- Špírková, M.; Bober, P.; Kotek, J.; Stejskal, J. Bi-Hybrid Coatings: Polyaniline-Montmorillonite Filler in Organic-Inorganic Polymer Matrix. Chem. Pap. 2013, 67, 1020–1027. [Google Scholar] [CrossRef]
- Ben Ali, M.; Wang, F.; Boukherroub, R.; Lei, W.; Xia, M. Phytic Acid-Doped Polyaniline Nanofibers-Clay Mineral for Efficient Adsorption of Copper (II) Ions. J. Colloid Interface Sci. 2019, 553, 688–698. [Google Scholar] [CrossRef] [PubMed]
- Pham, Q.L.; Haldorai, Y.; Nguyen, V.H.; Tuma, D.; Shim, J.-J. Facile Synthesis of Poly(p-Phenylenediamine)/MWCNT Nanocomposites and Characterization for Investigation of Structural Effects of Carbon Nanotubes. Bull. Mater. Sci. 2011, 34, 37–43. [Google Scholar] [CrossRef]
- Lakouraj, M.M.; Zare, E.N.; Moghadam, P.N. Synthesis of Novel Conductive Poly(p-Phenylenediamine)/Fe3O4 Nanocomposite via Emulsion Polymerization and Investigation of Antioxidant Activity. Adv. Polym. Technol. 2014, 33, 21385:1–21385:7. [Google Scholar] [CrossRef]
- Magdziarz, P.; Bober, P.; Trchová, M.; Morávková, Z.; Bláha, M.; Prokeš, J.; Stejskal, J. Conducting Composites Prepared by the Reduction of Silver Ions with Poly(p-Phenylenediamine). Polym. Int. 2015, 64, 496–504. [Google Scholar] [CrossRef]
- Minisy, I.M.; Zasońska, B.A.; Petrovský, E.; Veverka, P.; Šeděnková, I.; Hromádková, J.; Bober, P. Poly(p-Phenylenediamine)/Maghemite Composite as Highly Effective Adsorbent for Anionic Dye Removal. React. Funct. Polym. 2020, 146, 104436. [Google Scholar] [CrossRef]
- Wang, Y.; Wang, H.; Zhang, T.C.; Yuan, S.; Liang, B. N-Doped Porous Carbon Derived from RGO-Incorporated Polyphenylenediamine Composites for CO2 Adsorption and Supercapacitors. J. Power Sources 2020, 472, 228610. [Google Scholar] [CrossRef]
- Stejskal, J. Polymers of Phenylenediamines. Prog. Polym. Sci. 2015, 41, 1–31. [Google Scholar] [CrossRef]
- Bláha, M.; Trchová, M.; Morávková, Z.; Humpolíček, P.; Stejskal, J. Semiconducting Materials from Oxidative Coupling of Phenylenediamines under Various Acidic Conditions. Mater. Chem. Phys. 2018, 205, 423–435. [Google Scholar] [CrossRef]
- Khelifa, I.; Belmokhtar, A.; Berenguer, R.; Benyoucef, A.; Morallon, E. New Poly(o-Phenylenediamine)/Modified-Clay Nanocomposites: A Study on Spectral, Thermal, Morphological and Electrochemical Characteristics. J. Mol. Struct. 2019, 1178, 327–332. [Google Scholar] [CrossRef]
- Nath, A.K.; Kumar, A. Scaling of AC Conductivity, Electrochemical and Thermal Properties of Ionic Liquid Based Polymer Nanocomposite Electrolytes. Electrochim. Acta 2014, 129, 177–186. [Google Scholar] [CrossRef]
- Dong, Y.Z.; Kim, H.M.; Choi, H.J. Conducting polymer-based electro-responsive smart suspensions. Chem. Pap. 2021, 75, 5009–5034. [Google Scholar] [CrossRef]
- Ates, M. A Review on Conducting Polymer Coatings for Corrosion Protection. J. Adhes. Sci. Technol. 2016, 30, 1510–1536. [Google Scholar] [CrossRef]
- Slade, R.C.T.; Barker, J.; Hirst, P.R.; Halstead, T.K.; Reid, P.I. Conduction and Diffusion in Exchanged Montmorillonite Clays. Solid State Ion. 1987, 24, 289–295. [Google Scholar] [CrossRef]
- Nj, G.; Jc, B. Conductivity in Na+-Montmorillonite and Li+-Montmorillonite as a Function of Equilibration Humidity. Solid State Ion. 1996, 92, 139–143. [Google Scholar]
- Wu, L.; Cao, S.; Lv, G. Influence of Energy State of Montmorillonite Interlayer Cations on Organic Intercalation. Adv. Mater. Sci. Eng. 2018, 2018, 3489720. [Google Scholar] [CrossRef] [Green Version]
- Krupskaya, V.V.; Zakusin, S.V.; Tyupina, E.A.; Dorzhieva, O.V.; Zhukhlistov, A.P.; Belousov, P.E.; Timofeeva, M.N. Experimental Study of Montmorillonite Structure and Transformation of Its Properties under Treatment with Inorganic Acid Solutions. Minerals 2017, 7, 49. [Google Scholar] [CrossRef]
- Hayati-Ashtiani, M. Use of FTIR Spectroscopy in the Characterization of Natural and Treated Nanostructured Bentonites (Montmorillonites). Part. Sci. Technol. 2012, 30, 553–564. [Google Scholar] [CrossRef]
- Becker, E.D. Raman Spectra of Isotopic Derivatives of p-Benzoquinone: Revised Vibrational Assignments. J. Phys. Chem. 1991, 95, 2818–2823. [Google Scholar] [CrossRef]
- Stammreich, H.; Sans, T.T. Molecular Vibrations of Quinones. IV. Raman Spectra of P-Benzoquinone and Its Centrosymmetrically Substituted Isotopic Derivatives and Assignment of Observed Frequencies. J. Chem. Phys. 1965, 42, 920–931. [Google Scholar] [CrossRef] [PubMed]
- Bláha, M.; Marek, F.; Morávková, Z.; Svoboda, J.; Brus, J.; Dybal, J.; Prokeš, J.; Varga, M.; Stejskal, J. Role of P-Benzoquinone in the Synthesis of a Conducting Polymer, Polyaniline. ACS Omega 2019, 4, 7128–7139. [Google Scholar] [CrossRef] [Green Version]
- Trchová, M.; Morávková, Z.; Šeděnková, I.; Stejskal, J. Spectroscopy of Thin Polyaniline Films Deposited during Chemical Oxidation of Aniline. Chem. Pap. 2012, 66, 415–445. [Google Scholar] [CrossRef]
- do Nascimento, G.M.; Constantino, V.R.L.; Landers, R.; Temperini, M.L.A. Spectroscopic Characterization of Polyaniline Formed in the Presence of Montmorillonite Clay. Polymer 2006, 47, 6131–6139. [Google Scholar] [CrossRef]
- Baibarac, M.; Baltog, I.; Scocioreanu, M.; Ballesteros, B.; Mevellec, J.Y.; Lefrant, S. One-Dimensional Composites Based on Single Walled Carbon Nanotubes and Poly(o-Phenylenediamine). Synth. Met. 2011, 161, 2344–2354. [Google Scholar] [CrossRef]
- Sestrem, R.H.; Ferreira, D.C.; Landers, R.; Temperini, M.L.A.; do Nascimento, G.M. Synthesis and Spectroscopic Characterization of Polymer and Oligomers of Ortho-Phenylenediamine. Eur. Polym. J. 2010, 46, 484–493. [Google Scholar] [CrossRef]
- Brolo, A.G.; Sanderson, A.C. Surface-Enhanced Raman Scattering (SERS) from a Silver Electrode Modified with Oxazine 720. Can. J. Chem. 2011, 82, 1474–1480. [Google Scholar] [CrossRef]
- Trchová, M.; Morávková, Z.; Dybal, J.; Stejskal, J. Detection of Aniline Oligomers on Polyaniline–Gold Interface Using Resonance Raman Scattering. ACS Appl. Mater. Interfaces 2014, 6, 942–950. [Google Scholar] [CrossRef]
- Anto, P.L.; Panicker, C.Y.; Varghese, H.T.; Philip, D. Potential-Dependent SERS Profile of Orthanilic Acid on Silver Electrode. J. Raman Spectrosc. 2006, 37, 1265–1271. [Google Scholar] [CrossRef]
- de Santana, H.; Quillard, S.; Fayad, E.; Louarn, G. In Situ UV–Vis and Raman Spectroscopic Studies of the Electrochemical Behavior of N,N′-Diphenyl-1,4-Phenylenediamine. Synth. Met. 2006, 156, 81–85. [Google Scholar] [CrossRef]
- Boyer, M.I.; Quillard, S.; Louarn, G.; Froyer, G.; Lefrant, S. Vibrational Study of the FeCl3-Doped Dimer of Polyaniline; A Good Model Compound of Emeraldine Salt. J. Phys. Chem. B 2000, 104, 8952–8961. [Google Scholar] [CrossRef]
- Cochet, M.; Louarn, G.; Quillard, S.; Boyer, M.I.; Buisson, J.P.; Lefrant, S. Theoretical and Experimental Vibrational Study of Polyaniline in Base Forms: Non-Planar Analysis. Part I. J. Raman Spectrosc. 2000, 31, 1029–1039. [Google Scholar] [CrossRef]
- Cochet, M.; Louarn, G.; Quillard, S.; Buisson, J.P.; Lefrant, S. Theoretical and Experimental Vibrational Study of Emeraldine in Salt Form. Part II. J. Raman Spectrosc. 2000, 31, 1041–1049. [Google Scholar] [CrossRef]
- Quillard, S.; Louam, G.; Buisson, J.P.; Boyer, M.; Lapkowski, M.; Pron, A.; Lefrant, S. Vibrational Spectroscopic Studies of the Isotope Effects in Polyaniline. Synth. Met. 1997, 84, 805–806. [Google Scholar] [CrossRef]
- Louarn, G.; Lapkowski, M.; Quillard, S.; Pron, A.; Buisson, J.P.; Lefrant, S. Vibrational Properties of PolyanilineIsotope Effects. J. Phys. Chem. 1996, 100, 6998–7006. [Google Scholar] [CrossRef]
- do Nascimento, G.M.; Kobata, P.Y.G.; Millen, R.P.; Temperini, M.L.A. Raman Dispersion in Polyaniline Base Forms. Synth. Met. 2007, 157, 247–251. [Google Scholar] [CrossRef]
- Do Nascimento, G.M.; Constantino, V.R.L.; Landers, R.; Temperini, M.L.A. Aniline Polymerization into Montmorillonite Clay: A Spectroscopic Investigation of the Intercalated Conducting Polymer. Macromolecules 2004, 37, 9373–9385. [Google Scholar] [CrossRef]
- Morávková, Z.; Dmitrieva, E. The First Products of Aniline Oxidation—SERS Spectroelectrochemistry. Chem. Sel. 2019, 4, 8847–8854. [Google Scholar] [CrossRef] [Green Version]
- Kumar, M.; Tiwari, T.; Chauhan, J.K.; Srivastava, N. Understanding the Ion Dynamics and Relaxation Behavior from Impedance Spectroscopy of NaI Doped Zwitterionic Polymer System. Mater. Res. Express 2014, 1, 045003. [Google Scholar] [CrossRef]
- Soltane, L.; Sediri, F. Hydrothermal Synthesis, Characterization and Electrical Investigation of Poly(Para-Phenylenediamine)/Vanadium Oxide Nanocomposite Nanosheets. Mater. Sci. Eng. B 2013, 178, 502–510. [Google Scholar] [CrossRef]
- Ali, A.; Mohamed, N.S.; Sani, N.A.M.; Abdullah, M.A.A. Preparation and Properties of Alkylphosphonium Modified Montmorillonites. Int. J. Appl. Chem. 2016, 12, 6. [Google Scholar]
- Chand, J.; Kumar, G.; Kumar, P.; Sharma, S.K.; Knobel, M.; Singh, M. Effect of Gd3+ Doping on Magnetic, Electric and Dielectric Properties of MgGdxFe2−xO4 Ferrites Processed by Solid State Reaction Technique. J. Alloys Compd. 2011, 509, 9638–9644. [Google Scholar] [CrossRef]
- Lvovich, V.F. Impedance Spectroscopy: Applications to Electrochemical and Dielectric Phenomena, 1st ed.; John Wiley & Sons, Inc.: Hoboken, NJ, USA, 2012; pp. 1–19. [Google Scholar]
- Einfeldt, J.; Meißner, D.; Kwasniewski, A. Polymerdynamics of Cellulose and Other Polysaccharides in Solid State-Secondary Dielectric Relaxation Processes. Prog. Polym. Sci. 2001, 26, 1419–1472. [Google Scholar] [CrossRef]
- Aziz, S.B.; Abidin, Z.H.Z. Electrical Conduction Mechanism in Solid Polymer Electrolytes: New Concepts to Arrhenius Equation. J. Soft Matter. 2013, 2013, 323868. [Google Scholar] [CrossRef]
- Megdiche, M.; Perrin-pellegrino, C.; Gargouri, M. Conduction Mechanism Study by Overlapping Large-Polaron Tunnelling Model in SrNiP2O7 Ceramic Compound. J. Alloys Compd. 2014, 584, 209–215. [Google Scholar] [CrossRef]
- Elliott, S.R. A.c. Conduction in Amorphous Chalcogenide and Pnictide Semiconductors. Adv. Phys. 1987, 36, 135–217. [Google Scholar] [CrossRef]
- Salles, F.; Devautour-Vinot, S.; Bildstein, O.; Jullien, M.; Maurin, G.; Giuntini, J.-C.; Douillard, J.-M.; Van Damme, H. Ionic Mobility and Hydration Energies in Montmorillonite Clay. J. Phys. Chem. C 2008, 112, 14001–14009. [Google Scholar] [CrossRef]
- Su, P.-G.; Chen, C.-Y. Humidity Sensing and Electrical Properties of Na- and K-Montmorillonite. Sens. Actuators B Chem. 2008, 129, 380–385. [Google Scholar] [CrossRef]
















| Sample Code | PDA Content in Polymerization Mixture, wt% | MMT Content in Polymerization Mixture, wt% | PPDA Content in Composites, wt% | MMT Content in Composites, wt% | Conductivity, S cm−1 (Measured by Van der Pauw Method) | Activation Energy (Ea) (eV) | ||
|---|---|---|---|---|---|---|---|---|
| Evaluated from M″ vs. f | Evaluated from DC Conductivity vs. 1/T | |||||||
| High Temperature Region | Low Temperature Region | |||||||
| PPDA | 100 | 0 | 100 | 0 | 7 × 10−11 | 0.57 | 0.64 | 0.02 |
| PPDA-2 | 64 | 36 | 19 | 81 | 3 × 10−11 | - | - | - |
| PPDA-5 | 42 | 58 | 18 | 82 | 1 × 10−11 | 0.69 | 0.58 | 0.05 |
| PPDA-10 | 26 | 74 | 8 | 92 | 2.5 × 10−8 | - | - | - |
| PPDA-15 | 19 | 81 | 8 | 92 | 3.4 × 10−8 | - | - | - |
| PPDA-25 | 13 | 87 | 7 | 93 | 2.2 × 10−7 | - | - | - |
| PPDA-35 | 9 | 91 | 6 | 94 | 1 × 10−6 | 0.44 | 0.34 | 0.06 |
| PPDA-50 | 7 | 93 | 7 | 93 | 9.2 × 10−7 | 0.54 | 0.42 | 0.12 |
Publisher’s Note: MDPI stays neutral with regard to jurisdictional claims in published maps and institutional affiliations. |
© 2021 by the authors. Licensee MDPI, Basel, Switzerland. This article is an open access article distributed under the terms and conditions of the Creative Commons Attribution (CC BY) license (https://creativecommons.org/licenses/by/4.0/).
Share and Cite
Acharya, U.; Bober, P.; Thottappali, M.A.; Morávková, Z.; Konefał, M.; Pfleger, J. Synthesis and Impedance Spectroscopy of Poly(p-phenylenediamine)/Montmorillonite Composites. Polymers 2021, 13, 3132. https://doi.org/10.3390/polym13183132
Acharya U, Bober P, Thottappali MA, Morávková Z, Konefał M, Pfleger J. Synthesis and Impedance Spectroscopy of Poly(p-phenylenediamine)/Montmorillonite Composites. Polymers. 2021; 13(18):3132. https://doi.org/10.3390/polym13183132
Chicago/Turabian StyleAcharya, Udit, Patrycja Bober, Muhammed Arshad Thottappali, Zuzana Morávková, Magdalena Konefał, and Jiří Pfleger. 2021. "Synthesis and Impedance Spectroscopy of Poly(p-phenylenediamine)/Montmorillonite Composites" Polymers 13, no. 18: 3132. https://doi.org/10.3390/polym13183132
APA StyleAcharya, U., Bober, P., Thottappali, M. A., Morávková, Z., Konefał, M., & Pfleger, J. (2021). Synthesis and Impedance Spectroscopy of Poly(p-phenylenediamine)/Montmorillonite Composites. Polymers, 13(18), 3132. https://doi.org/10.3390/polym13183132

