In-Situ Isothermal Crystallization of Poly(l-lactide)
Abstract
:1. Introduction
2. Experimental
2.1. Materials and Sample Preparation
2.2. DSC and TGA Analysis
2.3. In-Situ Isothermal XRD Measurements
2.4. In Situ Observation of PLLA Crystalline Morphology
3. Results and Discussion
3.1. DSC and DTG Analysis
3.2. Crystalline Morphologies of PLLA
3.3. Crystal Structure of PLLA
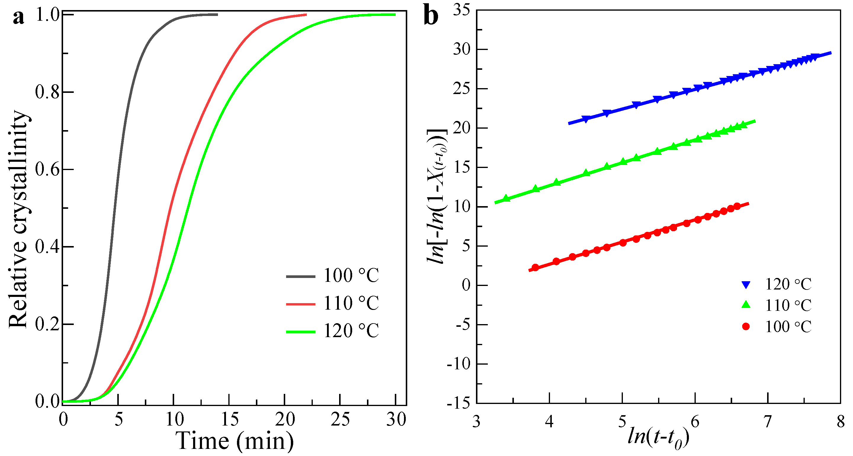
3.4. Isothermal Crystallization Kinetics of PLLA
3.5. Growth Rate Parameters of Isothermally Crystallized PLLA
4. Conclusions
Author Contributions
Funding
Acknowledgments
Conflicts of Interest
References
- Lim, L.T.; Auras, R.; Rubino, M. Processing technologies for poly(lactic acid). Prog. Polym. Sci. 2008, 33, 820–852. [Google Scholar] [CrossRef]
- Gazzotti, S.; Farina, H.; Lesma, G.; Rampazzo, R.; Piergiovanni, L.; Ortenzi, M.A.; Silvani, A. Polylactide/cellulose nanocrystals: The in situ polymerization approach to improved nanocomposites. Eur. Polym. J. 2017, 94, 173–184. [Google Scholar] [CrossRef]
- Androsch MLDLR. Industrial Applications of Poly(lactic acid); Springer: Berlin/Heidelberg, Germany, 2018. [Google Scholar]
- Nobes, G.A.R.; Marchessault, R.H.; Chanzy, H.; Briese, B.H.; Jendrossek, D. Splintering of Poly(3-hydroxybutyrate) Single Crystals by PHB-Depolymerase A from Pseudomonas lemoignei. Macromolecules 1996, 29, 8330–8333. [Google Scholar] [CrossRef]
- Hocking, P.J.; Marchessault, R.H.; Timmins, M.R.; Lenz, R.W.; Fuller, R.C. Enzymatic Degradation of Single Crystals of Bacterial and Synthetic Poly(β-hydroxybutyrate). Macromolecules 1996, 29, 2472–2478. [Google Scholar] [CrossRef]
- Dai, S.; Jiang, N.; Ning, Z.; Gan, Z. Relationship between crystallization state and degradation behavior of poly(l-lactide)/fourarmed poly(d,l-lactide)-block-poly(d-lactide) blends with different poly(d-lactide) block lengths. Polym. Int. 2021, 70, 667–678. [Google Scholar] [CrossRef]
- Zhang, R.-C.; Sun, D.; Lu, A.; Zhong, M.; Xiong, G.; Wan, Y. Equilibrium Melting Temperature of Polymorphic Poly(l-lactide) and Its Supercooling Dependence on Growth Kinetics. Polymers 2017, 9, 625. [Google Scholar] [CrossRef] [Green Version]
- Di Lorenzo, M.L.; Androsch, R. Influence of α′-/α-crystal polymorphism on properties of poly(l-lactic acid). Polym. Int. 2019, 68, 320–334. [Google Scholar] [CrossRef]
- Xu, J.Z.; Chen, T.; Yang, C.L.; Li, Z.M.; Mao, Y.M.; Zeng, B.Q.; Hsiao, B.S. Isothermal Crystallization of Poly(l-lactide) Induced by Graphene Nanosheets and Carbon Nanotubes: A Comparative Study. Macromolecules 2010, 43, 5000–5008. [Google Scholar] [CrossRef]
- Mahendrasingam, A.; Blundell, D.J.; Parton, M.; Wright, A.K.; Rasburn, J.; Narayanan, T.; Fuller, W. Time resolved study of oriented crystallisation of poly(lactic acid) during rapid tensile deformation. Polymer 2005, 46, 6009–6015. [Google Scholar] [CrossRef]
- Huang, Y.-F.; Kao, H.-L.; Ruan, J.; Su, A.-C. Effects of Solution Status on Single-Crystal Growth Habit of Poly(l-lactide). Macromolecules 2010, 43, 7222–7227. [Google Scholar] [CrossRef]
- Ru, J.-F.; Yang, S.-G.; Zhou, D.; Yin, H.-M.; Lei, J.; Li, Z.-M. Dominant β-Form of Poly(l-lactic acid) Obtained Directly from Melt under Shear and Pressure Fields. Macromolecules 2016, 49, 3826–3837. [Google Scholar] [CrossRef]
- Jalali, A.; Huneault, M.; Elkoun, S. Effect of thermal history on nucleation and crystallization of poly(lactic acid). J. Mater. Sci. 2016, 51, 7768–7779. [Google Scholar] [CrossRef]
- Di Lorenzo, M.L.; Rubino, P.; Immirzi, B.; Luijkx, R.; Hélou, M.; Androsch, R. Influence of chain structure on crystal polymorphism of poly(lactic acid). Part 2. Effect of molecular mass on the crystal growth rate and semicrystalline morphology. Colloid Polym. Sci. 2015, 293, 2459–2467. [Google Scholar] [CrossRef]
- Huang, S.; Li, H.; Jiang, S. Crystal structure and unique lamellar thickening for poly(l-lactide) induced by high pressure. Polymer 2019, 175, 81–86. [Google Scholar] [CrossRef]
- Yuan, C.; Xu, Y.; Yang, K.; Wang, Y.; Wang, Z.; Cheng, X.; Su, L. Isothermally crystallization behavior of poly (l-lactide) from melt under high pressure. Polym. Adv. Technol. 2018, 29, 3049–3055. [Google Scholar] [CrossRef]
- Xie, Q.; Bao, J.; Shan, G.; Bao, Y.; Pan, P. Fractional Crystallization Kinetics and Formation of Metastable β-Form Homocrystals in Poly(l-lactic acid)/Poly(d-lactic acid) Racemic Blends Induced by Precedingly Formed Stereocomplexes. Macromolecules 2019, 52, 4655–4665. [Google Scholar] [CrossRef]
- Kenji, W.; Jiro, K. Extended-chain crystallization and stereocomplex formation of polylactides in a Langmuir monolayer. Polym. J. 2020, 52, 601–613. [Google Scholar]
- Chen, D.; Lei, L.; Zou, M.; Li, X. Non-Isothermal Crystallization Kinetics of Poly(Ethylene Glycol)–Poly(l-lactide) Diblock Copolymer and Poly(Ethylene Glycol) Homopolymer via Fast-Scan Chip-Calorimeter. Polymers 2021, 13, 1156. [Google Scholar] [CrossRef]
- Lv, T.; Li, J.; Huang, S.; Wen, H.; Li, H.; Chen, J.; Jiang, S. Synergistic effects of chain dynamics and enantiomeric interaction on the crystallization in PDLA/PLLA mixtures. Polymer 2021, 222, 123648. [Google Scholar] [CrossRef]
- Zhao, L.-S.; Cai, Y.-H. Non-isothermal Crystallization, Melting Behavior, Thermal Decomposition, Fluidity and Mechanical Properties of Melt Processed Poly(l-lactic acid) Nucleated by N,N′-Adipic Bis(piperonylic acid) Dihydrazide. Polym. Sci. Ser. A 2020, 62, 343–353. [Google Scholar] [CrossRef]
- Banpean, A.; Sakurai, S. Confined crystallization of Poly(ethylene glycol) in spherulites of Poly(l-lactic acid) in a PLLA/PEG blend. Polymer 2021, 215, 123370. [Google Scholar] [CrossRef]
- Pan, P.; Yang, J.; Shan, G.; Bao, Y.; Weng, Z.; Cao, A.; Yazawa, K.; Inoue, Y. Temperature-Variable FTIR and Solid-State 13C NMR Investigations on Crystalline Structure and Molecular Dynamics of Polymorphic Poly(l-lactide) and Poly(l-lactide)/Poly(d-lactide) Stereocomplex. Macromolecules 2012, 45, 189–197. [Google Scholar] [CrossRef]
- De Santis, P.; Kovacs, A.J. Molecular conformation of poly(s-lactic acid). Biopolymers 1968, 6, 299–306. [Google Scholar] [CrossRef]
- Cartier, L.; Okihara, T.; Ikada, Y.; Tsuji, H.; Puiggali, J.; Lotz, B. Epitaxial crystallization and crystalline polymorphism of polylactides. Polymer 2000, 41, 8909–8919. [Google Scholar] [CrossRef]
- Di Lorenzo, M.L. Crystallization behavior of poly(l-lactic acid). Eur. Polym. J. 2005, 41, 569–575. [Google Scholar] [CrossRef]
- Tsuji, H.; Tezuka, Y.; Saha, S.K.; Suzuki, M.; Itsuno, S. Spherulite growth of l-lactide copolymers: Effects of tacticity and comonomers. Polymer 2005, 46, 4917–4927. [Google Scholar] [CrossRef]
- Chen, Y.H.; Zhong, G.J.; Lei, J.; Li, Z.M.; Hsiao, B.S. In Situ Synchrotron X-ray Scattering Study on Isotactic Polypropylene Crystallization under the Coexistence of Shear Flow and Carbon Nanotubes. Macromolecules 2011, 44, 8080–8092. [Google Scholar] [CrossRef]
- Xie, X.L.; Sang, Z.H.; Xu, J.Z.; Zhong, G.J.; Li, Z.M.; Ji, X.; Wang, R.; Xu, L. Layer structure by shear-induced crystallization and thermal mechanical properties of injection-molded poly(l-lactide) with nucleating agents. Polymer 2017, 110, 196–210. [Google Scholar] [CrossRef]
- Zaldua, N.; Liénard, R.; Josse, T.; Zubitur, M.; Mugica, A.; Iturrospe, A.; Arbe, A.; De Winter, J.; Coulembier, O.; Müller, A.J. Influence of Chain Topology (Cyclic versus Linear) on the Nucleation and Isothermal Crystallization of Poly(l-lactide) and Poly(d-lactide). Macromolecules 2018, 51, 1718–1732. [Google Scholar] [CrossRef]
- Zhao, L.; Kong, J. Isothermal crystallization of poly(l-lactide) and poly(butylene adipate) crystalline/crystalline blends. Polym. J. 2014, 46, 323–329. [Google Scholar] [CrossRef]
- Avrami, M. Kinetics of Phase Change. I General Theory. J. Chem. Phys. 1939, 7, 1103–1112. [Google Scholar] [CrossRef]
- Avrami, M. Kinetics of Phase Change. II Transformation-Time Relations for Random Distribution of Nuclei. J. Chem. Phys. 1940, 8, 212–224. [Google Scholar] [CrossRef]
- Avrami, M. Granulation, Phase Change, and Microstructure Kinetics of Phase Change III. J. Chem. Phys. 1941, 9, 177–184. [Google Scholar] [CrossRef]
- Lorenzo, A.T.; Arnal, M.L.; Albuerne, J.; Müller, A.J. DSC isothermal polymer crystallization kinetics measurements and the use of the Avrami equation to fit the data: Guidelines to avoid common problems. Polym. Test. 2007, 26, 222–231. [Google Scholar] [CrossRef]
- Hoffman, J.D.; Davis, G.T.; Lauritzen, J.I. Treatise on Solid State Chemistry; Hannay, N.B., Ed.; Plenum: New York, NY, USA, 1976; Volume 3. [Google Scholar]
- Miyata, T.; Masuko, T. Morphology of poly(l-lactide) solution-grown crystals. Polymer 1997, 38, 4003–4009. [Google Scholar] [CrossRef]
- Miyata, T.; Masuko, T. Crystallization behaviour of poly(l-lactide). Polymer 1998, 39, 5515–5521. [Google Scholar] [CrossRef]
- Vasanthakumari, R.; Pennings, A.J. Crystallization kinetics of poly(l-lactic acid). Polymer 1983, 24, 175–178. [Google Scholar] [CrossRef]
- Pan, P.; Kai, W.; Zhu, B.; Dong, T.; Inoue, Y. Polymorphous Crystallization and Multiple Melting Behavior of Poly(l-lactide): Molecular Weight Dependence. Macromolecules 2007, 40, 6898–6905. [Google Scholar] [CrossRef]








| Elements. | Atomic Number | Atomic Content [%] | Abs. Error [%] (1sigma) |
|---|---|---|---|
| C | 6 | 68.02 | 7.21 |
| O | 8 | 31.67 | 4.93 |
| Cr | 24 | 0.27 | 0.12 |
| Ni | 28 | 0.04 | 0.11 |
| Tc (°C) | n | t1/2 (s) | ln K |
|---|---|---|---|
| 100 | 2.8 ± 0.02 | 407 | −17.1 ± 0.05 |
| 110 | 2.8 ± 0.01 | 540 | −18.2 ± 0.03 |
| 120 | 2.5 ± 0.01 | 1133 | −17.7 ± 0.07 |
Publisher’s Note: MDPI stays neutral with regard to jurisdictional claims in published maps and institutional affiliations. |
© 2021 by the authors. Licensee MDPI, Basel, Switzerland. This article is an open access article distributed under the terms and conditions of the Creative Commons Attribution (CC BY) license (https://creativecommons.org/licenses/by/4.0/).
Share and Cite
Huang, Z.; Zhong, M.; Yang, H.; Xu, E.; Ji, D.; Joseph, P.; Zhang, R.-C. In-Situ Isothermal Crystallization of Poly(l-lactide). Polymers 2021, 13, 3377. https://doi.org/10.3390/polym13193377
Huang Z, Zhong M, Yang H, Xu E, Ji D, Joseph P, Zhang R-C. In-Situ Isothermal Crystallization of Poly(l-lactide). Polymers. 2021; 13(19):3377. https://doi.org/10.3390/polym13193377
Chicago/Turabian StyleHuang, Zirui, Meiling Zhong, Haibo Yang, Enqin Xu, Dehui Ji, Paul Joseph, and Ri-Chao Zhang. 2021. "In-Situ Isothermal Crystallization of Poly(l-lactide)" Polymers 13, no. 19: 3377. https://doi.org/10.3390/polym13193377
APA StyleHuang, Z., Zhong, M., Yang, H., Xu, E., Ji, D., Joseph, P., & Zhang, R.-C. (2021). In-Situ Isothermal Crystallization of Poly(l-lactide). Polymers, 13(19), 3377. https://doi.org/10.3390/polym13193377

