Crosslinked Fluorinated Poly(arylene ether)s with POSS: Synthesis and Conversion to High-Performance Polymers
Abstract
1. Introduction
2. Materials and Methods
2.1. Materials
2.2. Method
2.3. Polymer Synthesis
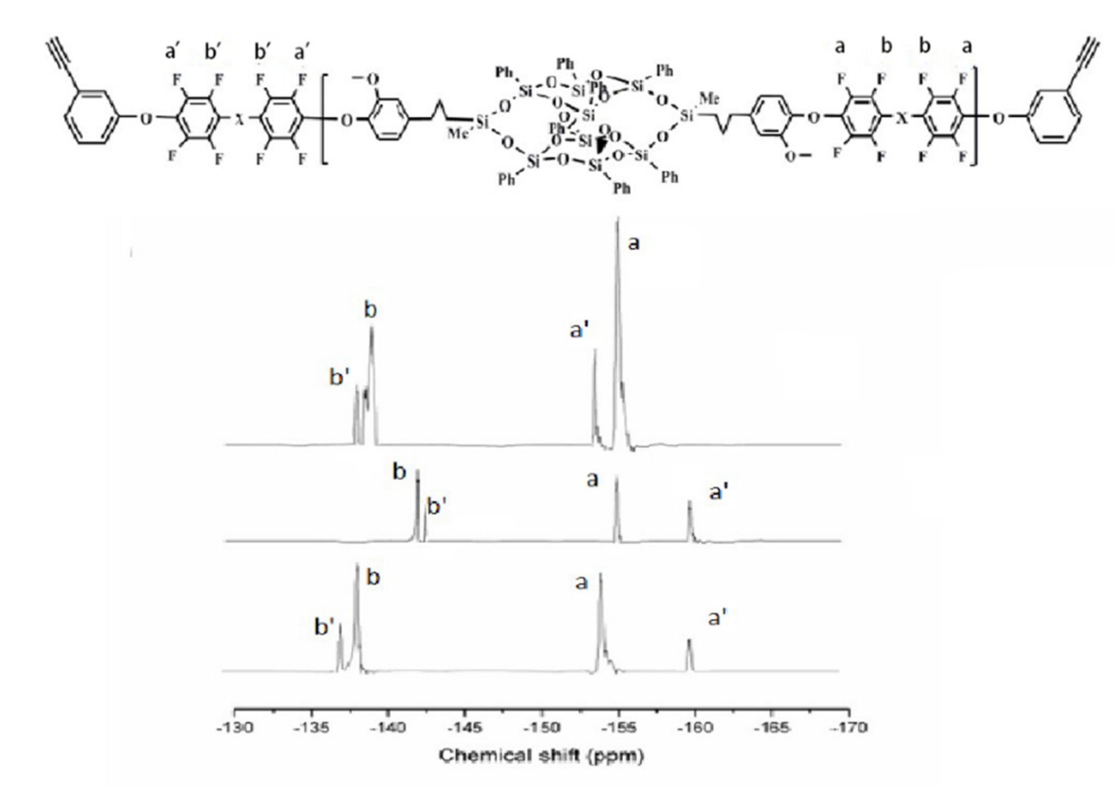
2.3.1. Synthesis of DDSQ-DFPXs-PAL
2.3.2. Film Preparation
3. Results and Discussion
3.1. Polymer Synthesis and Characterization
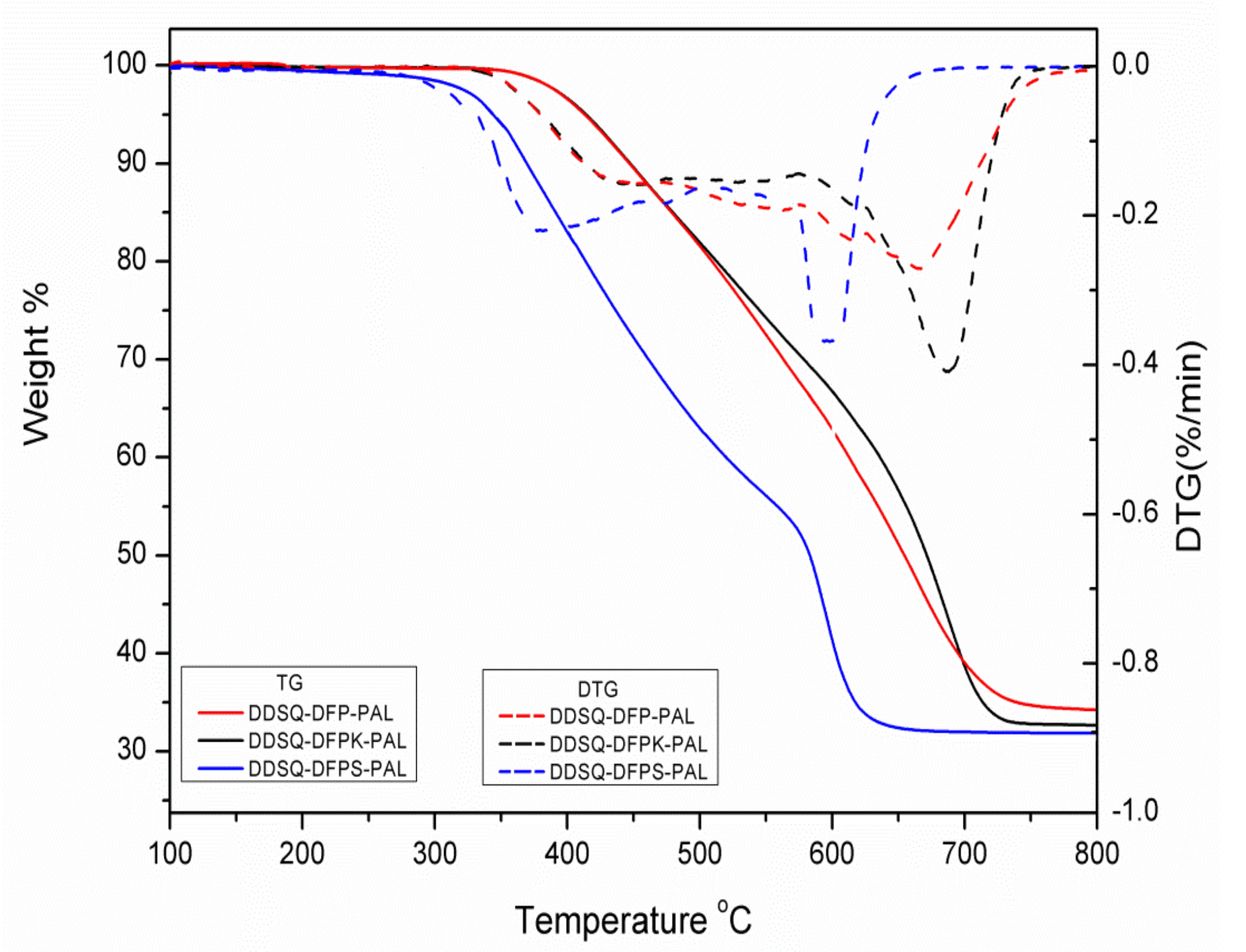
3.2. Thermo-Crosslinking Reaction
3.3. Crystallinities and Solubility
3.4. Surface Wettability
3.5. Dielectric Constant
4. Conclusions
Author Contributions
Funding
Institutional Review Board Statement
Informed Consent Statement
Data Availability Statement
Conflicts of Interest
References
- Dargaville, T.R.; George, G.A.; Hill, D.J.T.; Whittaker, A.K. High energy radiation grafting of fluoropolymers. Prog. Polym. Sci. 2003, 28, 1355–1376. [Google Scholar] [CrossRef]
 - Li, H.; Xu, A.; Zhang, Y. Synthesis of fluoropolymers in supercritical carbon dioxide. Prog. Chem. 2007, 19, 1562–1567. [Google Scholar]
 - Maier, G. Low dielectric constant polymers for microelectronics. Prog. Polym. Sci. 2001, 26, 3–65. [Google Scholar] [CrossRef]
 - Martin, J.W.; Smithwick, M.M.; Braune, B.M.; Hoekstra, P.F.; Muir, D.C.G.; Mabury, S.A. Identification of Long-Chain Perfluorinated Acids in Biota from the Canadian Arctic. Environ. Sci. Technol. 2004, 38, 373–380. [Google Scholar] [CrossRef] [PubMed]
 - Tapaswi, P.K.; Choi, M.-C.; Jung, Y.S.; Cho, H.J.; Seo, D.J.; Ha, C.-S. Synthesis and characterization of fully aliphatic polyimides from an aliphatic dianhydride with piperazine spacer for enhanced solubility, transparency, and low dielectric constant. J. Polym. Sci. Part. A Polym. Chem. 2014, 52, 2316–2328. [Google Scholar] [CrossRef]
 - Hizal, G.; Yagci, Y.; Schnabel, W. Charge-transfer complexes of pyridinium ions and methyl- and methoxy-substituted benzenes as photoinitiators for the cationic polymerization of cyclohexene oxide and related compounds. Polymer 1994, 35, 2428–2431. [Google Scholar] [CrossRef]
 - Mercer, F.W.; Fone, M.M.; McKenzie, M.T. Synthesis and characterization of fluorinated poly(aryl ether ketone)s containing 1,4-Naphthalene moieties. J. Polym. Sci. Part. A Polym. Chem. 1997, 35, 521–526. [Google Scholar] [CrossRef]
 - Gonzalez, R.I.; Phillips, S.H.; Hoflund, G.B. In situ oxygen-atom erosion study of polyhedral oligomeric silsesquioxane-siloxane copolymer. J. Spacecr. Rockets 2000, 37, 463–467. [Google Scholar] [CrossRef]
 - Hoflund, G.B.; Gonzalez, R.I.; Phillips, S.H. In situ oxygen atom erosion study of a polyhedral oligomeric silsesquioxane-polyurethane copolymer. J. Adhes. Sci. Technol. 2001, 15, 1199–1211. [Google Scholar] [CrossRef][Green Version]
 - Laine, R.M.; Zhang, C.; Sellinger, A.; Viculis, L. Polyfunctional Cubic Silsesquioxanes as Building Blocks for Organic/Inorganic Hybrids. Appl. Organomet. Chem. 1998, 12, 715–723. [Google Scholar] [CrossRef]
 - Park, S.; Pontier-Johnson, M.; Roundhill, D.M. Novel Regioselectivity and C-F Bond Cleavage in the Reactions of Alkylplatinum(II) Complexes with Amide and Alkoxide Anions. J. Am. Chem. Soc. 1989, 111, 3101–3103. [Google Scholar] [CrossRef]
 - Duchateau, R.; Abbenhuis, H.C.L.; van Santen, R.A.; Meetsma, A.; Thiele, S.K.H.; van Tol, M.F.H. Ethylene polymerization with dimeric zirconium and hafnium silsesquioxane complexes. Organometallics 1998, 17, 5663–5673. [Google Scholar] [CrossRef]
 - Ropartz, L.; Foster, D.F.; Morris, R.E.; Slawin, A.M.Z.; Cole-Hamilton, D.J. Hydrocarbonylation reactions using alkylphosphine-containing dendrimers based on a polyhedral oligosilsesquioxane core. J. Chem. Soc. Dalt. Trans. 2002, 9, 1997–2008. [Google Scholar] [CrossRef]
 - Mengel, C.; Meyer, W.H.; Wegner, G. Photocrosslinkable star polymers: Precursors for model polyelectrolyte networks. Macromol. Chem. Phys. 2001, 202, 1138–1149. [Google Scholar] [CrossRef]
 - Deng, J.J.; Polidan, J.T.; Hottle, J.R.; Farmer-Creely, C.E.; Viers, B.D.; Esker, A.R. Polyhedral oligomeric silsesquioxanes: A new class of amphiphiles at the air/water interface. J. Am. Chem. Soc. 2002, 124, 15194–15195. [Google Scholar] [CrossRef]
 - Kuo, S.W.; Chang, F.C. POSS related polymer nanocomposites. Prog. Polym. Sci. 2011, 36, 1649–1696. [Google Scholar] [CrossRef]
 - Tanaka, K.; Chujo, Y. Advanced functional materials based on polyhedral oligomeric silsesquioxane (POSS). J. Mater. Chem. 2012, 22, 1733–1746. [Google Scholar] [CrossRef]
 - Kucuk, A.C.; Matsui, J.; Miyashita, T. Proton-conducting electrolyte film of double-decker-shaped polyhedral silsesquioxane containing covalently bonded phosphonic acid groups. J. Mater. Chem. 2012, 22, 3853–3858. [Google Scholar] [CrossRef]
 - Hill, E.A.; Richey, H.G.; Rees, T.C. Communications to the editor. J. Org. Chem. 1963, 28, 2161–2164. [Google Scholar] [CrossRef]
 - Kucuk, A.C.; Matsui, J.; Miyashita, T. Langmuir-Blodgett films composed of amphiphilic double-decker shaped polyhedral oligomeric silsesquioxanes. J. Colloid Interface Sci. 2011, 355, 106–114. [Google Scholar] [CrossRef]
 - Wu, S.; Hayakawa, T.; Kakimoto, M.A.; Oikawa, H. Synthesis and characterization of organosoluble aromatic polyimides containing POSS in main chain derived from double-decker-shaped silsesquioxane. Macromolecules 2008, 41, 3481–3487. [Google Scholar] [CrossRef]
 - Mujkic, M.; Iacono, S.T.; Neilson, A.R.; Smith, D.W. Recent optical applications of perfluorocyclobutyl aryl ether polymers. Macromol. Symp. 2009, 283, 326–335. [Google Scholar] [CrossRef]
 - Verma, R.; Creager, S.; Ballato, J.; Smith, D.W. Optimized statically non-wetting hydrophobic electrospun surface of perfluorocyclobutyl aryl ether polymer. Polym. Int. 2013, 62, 1152–1158. [Google Scholar] [CrossRef]
 - Zhang, W.; Xu, J.; Li, X.; Song, G.; Mu, J. Preparation, characterization, and properties of poly(aryl ether sulfone) systems with double-decker silsesquioxane in the main chains by reactive blending. J. Polym. Sci. Part. A Polym. Chem. 2014, 52, 780–788. [Google Scholar] [CrossRef]
 - Bilo, M.; Sartor, M.; Nasser, H.; Lee, Y.J.; Brieler, F.J.; Froeba, M. Diving into the chiral pool: Enantiopure microporous polysilsesquioxane spheres from both enantiomers with an oxazolidinone motif. J. Sol. Gel Sci. Technol. 2019, 89, 148–155. [Google Scholar] [CrossRef]
 - Gedat, E.; Schreiber, A.; Findenegg, G.H.; Shenderovich, I.; Limbach, H.H.; Buntkowsky, G. Stray field gradient NMR reveals effects of hydrogen bonding on diffusion coefficients of pyridine in mesoporous silica. Magn. Reson. Chem. 2001, 39, 149–157. [Google Scholar] [CrossRef]
 - Morell, J.; Chatterjee, S.; Klar, P.J.; Mauder, D.; Shenderovich, I.; Hoffmann, F.; Froba, M. Synthesis and characterization of chiral benzylic ether-bridged periodic mesoporous organosilicas. Chem. A Eur. J. 2008, 14, 5935–5940. [Google Scholar] [CrossRef]
 











| DDSQ-DFPXs-PAL | Tg (°C before Curing)  | Tg (°C after Curing)  | Temperature of Curing (°C)  | 
|---|---|---|---|
| DDSQ-DFP-PAL | 138 | 192 | 225–325 | 
| DDSQ-DFPK-PAL DDSQ-DFPS-PAL  | 123 145  | 175 187  | 250–325 220–330  | 
| DDSQ-DFPXs-PAL (after Curing)  | Td5 (°C)  | Td10 (°C)  | Residue (%)  | Dielectric Constant | Dielectric Loss  | CA (deg)  | 
|---|---|---|---|---|---|---|
| DDSQ-DFP-PAL | 412 | 434 | 32.9 | 2.23 | 1.1 × 10−2 | 103 | 
| DDSQ-DFPK-PAL | 402 | 440 | 31.9 | 2.17 | 1.9 × 10−2 | 99 | 
| DDSQ-DFPS-PAL | 354 | 380 | 31.2 | 2.58 | 2.3 × 10−2 | 96 | 
| DDSQ-DFPXs-PAL | DMF | DMAC | NMP | DMSO | THF | Chloroform | 
|---|---|---|---|---|---|---|
| DDSQ-DFP-PAL | -- | -- | -- | -- | -- | -- | 
| DDSQ-DFPK-PAL | -- | -- | -- | -- | -- | -- | 
| DDSQ-DFPS-PAL | -- | -- | -- | -- | -- | -- | 
Publisher’s Note: MDPI stays neutral with regard to jurisdictional claims in published maps and institutional affiliations.  | 
© 2021 by the authors. Licensee MDPI, Basel, Switzerland. This article is an open access article distributed under the terms and conditions of the Creative Commons Attribution (CC BY) license (https://creativecommons.org/licenses/by/4.0/).
Share and Cite
He, Y.; Wang, J.; Sirotin, I.S.; Kireev, V.V.; Mu, J. Crosslinked Fluorinated Poly(arylene ether)s with POSS: Synthesis and Conversion to High-Performance Polymers. Polymers 2021, 13, 3489. https://doi.org/10.3390/polym13203489
He Y, Wang J, Sirotin IS, Kireev VV, Mu J. Crosslinked Fluorinated Poly(arylene ether)s with POSS: Synthesis and Conversion to High-Performance Polymers. Polymers. 2021; 13(20):3489. https://doi.org/10.3390/polym13203489
Chicago/Turabian StyleHe, Yashu, Jingting Wang, Igor S. Sirotin, Vyacheslav V. Kireev, and Jianxin Mu. 2021. "Crosslinked Fluorinated Poly(arylene ether)s with POSS: Synthesis and Conversion to High-Performance Polymers" Polymers 13, no. 20: 3489. https://doi.org/10.3390/polym13203489
APA StyleHe, Y., Wang, J., Sirotin, I. S., Kireev, V. V., & Mu, J. (2021). Crosslinked Fluorinated Poly(arylene ether)s with POSS: Synthesis and Conversion to High-Performance Polymers. Polymers, 13(20), 3489. https://doi.org/10.3390/polym13203489
        
                                                
