Adaptive Conformal Cooling of Injection Molds Using Additively Manufactured TPMS Structures
Abstract
1. Introduction
2. Materials and Methods
2.1. Materials
2.2. Design of the Injection Mold
2.3. Design of TPMS Structures
2.4. Additive Manufacturing
2.5. Numerical Simulation for Injection Molding
2.6. Mold Heating Tests
2.7. Injection Molding Experiments
3. Results and Discussion
3.1. Numerical Simulation of Injection Molding
3.2. Results of Mold Heating Tests
3.2.1. Polymer AM of TPMS Structures
3.2.2. Effect of the TPMS Shapes
3.2.3. Effect of the Volume Fraction
3.3. Results of Injection Molding Experiments
3.3.1. Metal AM of the Upper Core for Injection Molding
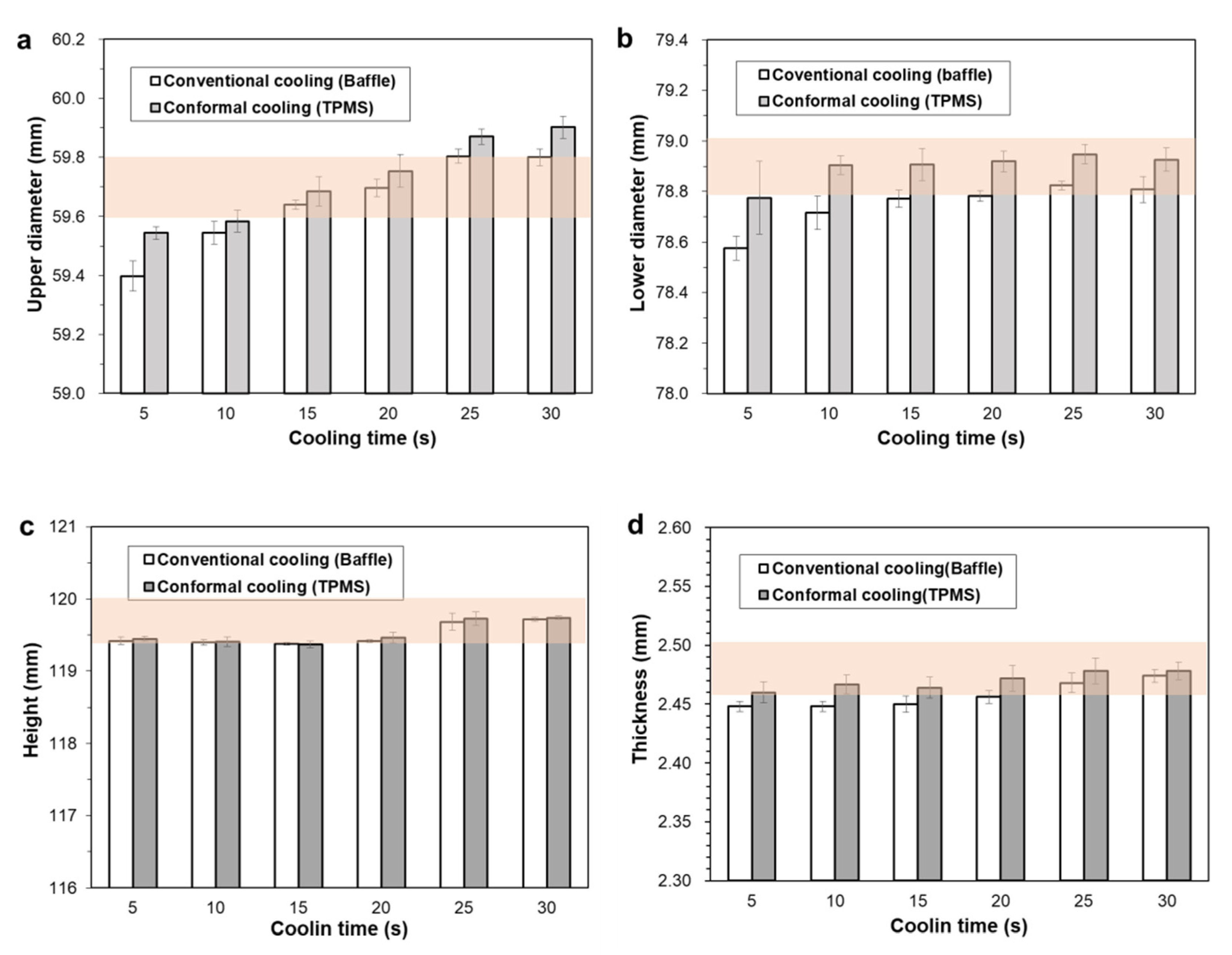
3.3.2. Comparison of Cooling Performance
4. Conclusions
- The TPMS-based conformal cooling enables localized-yet-uniform cooling, while the channel-based conformal cooling has a limitation in local cooling due to the connection of cooling channels.
- The TPMS design can be tailored to the characteristics of the target geometry for enhanced cooling performance, as we used the cylindrical base coordinate to effectively cool the mold core with a rotationally symmetric geometry.
- The TPMS conformal cooling is free from interference with the ejector pins for demolding. That is, the ejector pins can be inserted in the TPMS cooling structure, whereas the conventional conformal cooling channels must be designed to avoid interference with ejector pins.
Author Contributions
Funding
Institutional Review Board Statement
Informed Consent Statement
Acknowledgments
Conflicts of Interest
References
- Park, K.; Seo, Y.S.; Sohn, D.H. Automated mold heating system using high frequency induction with feedback temperature control. Int. Polym. Proc. 2011, 26, 490–497. [Google Scholar] [CrossRef]
- Liang, J.Z. An optimal design of cooling system for injection mold. Polym. Plast. Technol. Eng. 2002, 41, 261–271. [Google Scholar] [CrossRef]
- Venkatesh, G.; Kumar, Y.R.; Raghavendra, G. Comparison of straight line to conformal cooling channel in injection molding. Mater. Today Proc. 2017, 4, 1167–1173. [Google Scholar] [CrossRef]
- Shayfull, Z.; Sharif, S.; Zain, A.M.; Ghazali, M.; Saad, R.M. Potential of conformal cooling channels in rapid heat cycle molding: A review. Adv. Polym. Tech. 2014, 33, 21381. [Google Scholar] [CrossRef]
- Kanbur, B.B.; Suping, S.; Duan, F. Design and optimization of conformal cooling channels for injection molding: A review. Int. J. Adv. Manuf. Technol. 2020, 106, 3253–3271. [Google Scholar] [CrossRef]
- Dimla, D.; Camilotto, M.; Miani, F. Design and optimisation of conformal cooling channels in injection moulding tools. J. Mater. Process. Technol. 2005, 164–165, 1294–1300. [Google Scholar] [CrossRef]
- Ahn, D.G.; Park, M.W.; Park, S.H.; Kim, H.S. Design of conformal cooling channels for the mould of a plastic drawer of a Refrigerator by analysis of three-dimensional injection moulding. Trans. Korean Soc. Mech. Eng. A 2010, 34, 594–600. [Google Scholar] [CrossRef]
- Jahan, S.A.; El-Mounayri, H. Optimal conformal cooling channels in 3D printed dies for plastic injection molding. Procedia Manuf. 2016, 5, 888–900. [Google Scholar] [CrossRef]
- Shinde, M.S.; Ashtankar, K.M. Additive manufacturing–assisted conformal cooling channels in mold manufacturing processes. Adv. Mech. Eng. 2007, 9, 1687814017699764. [Google Scholar] [CrossRef]
- Park, H.S.; Dang, X.P.; Nguyen, D.S.; Kumar, S. Design of advanced injection mold to increase cooling efficiency. Int. J. Precis. Eng. Manufact.-Green Technol. 2020, 7, 319–328. [Google Scholar] [CrossRef]
- Han, S.; Salvatore, F.; Rech, J.; Bajolet, J. Abrasive Flow Machining (AFM) finishing of conformal cooling channels created by Selective Laser Melting (SLM). Precis. Eng. 2020, 64, 20–33. [Google Scholar] [CrossRef]
- Berger, G.R.; Zorn, D.; Friesenbichler, W.; Bevc, F.; Bodor, C.J. Efficient cooling of hot spots in injection molding. A biomimetic cooling channel versus a heat-conductive mold material and a heat conductive plastics. Polym. Eng. Sci. 2019, 59, E180–E188. [Google Scholar] [CrossRef]
- Kuo, C.C.; You, Z.Y.; Wu, J.Y. Development and application of a conformal cooling channel with easy removal and smooth surfaces. Int. J. Adv. Manuf. Technol. 2019, 102, 2029–2039. [Google Scholar] [CrossRef]
- Kuo, C.C.; Jiang, Z.F.; Lee, J.H. Effects of cooling time of molded parts on rapid injection molds with different layouts and surface roughness of conformal cooling channels. Int. J. Adv. Manuf. Technol. 2019, 103, 2169–2182. [Google Scholar] [CrossRef]
- Kuo, C.C.; Chen, W.H. Improving cooling performance of injection molding tool with conformal cooling channel by adding hybrid fillers. Polymers 2021, 13, 1224. [Google Scholar] [CrossRef] [PubMed]
- Marin, F.; Souza, A.F.; Ahrens, C.H. A new hybrid process combining machining and selective laser melting to manufacture an advanced concept of conformal cooling channels for plastic injection molds. Int. J. Adv. Manuf. Technol. 2021, 113, 1561–1576. [Google Scholar] [CrossRef]
- Kuo, C.C.; Qiu, S.X.; Lee, G.Y. Characterizations of polymer injection molding tools with conformal cooling channels fabricated by direct and indirect rapid tooling technologies. Int. J. Adv. Manuf. Technol. 2021, 117, 343–360. [Google Scholar] [CrossRef]
- Gibson, L.J.; Ashby, M.F. Cellular solids: Structure and properties. Cambridge Univ. Press 1997, 2, 510. [Google Scholar] [CrossRef]
- Rosen, D.W. Computer-aided design for additive manufacturing of cellular structures. Comput.-Aided Des. Applic. 2007, 4, 585–594. [Google Scholar] [CrossRef]
- Cheng, L.; Zhang, P.; Biyikli, E.; Bai, J.; Robbins, J.; To, A. Efficient design optimization of variable-density cellular structures for additive manufacturing: Theory and experimental validation. Rapid Prototyp. J. 2017, 23, 660–667. [Google Scholar] [CrossRef]
- Lim, Y.E.; Park, J.H.; Park, K. Automatic design of 3D conformal lightweight structures based on a tetrahedral mesh. Int. J. Precis. Eng. Manufact.-Green Technol. 2018, 5, 499–506. [Google Scholar] [CrossRef]
- Rashed, M.G.; Ashraf, M.; Mines, R.A.W.; Hazell, P.J. Metallic microlattice materials: A current state of the art on manufacturing, mechanical properties and applications. Mater. Des. 2016, 95, 518–533. [Google Scholar] [CrossRef]
- Xiao, L.; Song, W. Additively-manufactured functionally graded Ti-6Al-4V lattice structures with high strength under static and dynamic loading: Experiments. Int. J. Impact Eng. 2018, 111, 255–272. [Google Scholar] [CrossRef]
- Park, J.H.; Park, K. Compressive behavior of soft lattice structures and their application to functional compliance control. Addit. Manuf. 2020, 33, 101148. [Google Scholar] [CrossRef]
- Wong, M.; Owen, I.; Sutcliffe, C.J.; Puri, A. Convective heat transfer and pressure losses across novel heat sinks fabricated by Selective Laser Melting. Int. J. Heat Mass Transfer. 2009, 52, 281–288. [Google Scholar] [CrossRef]
- Catchpole-Smith, S.; Sélo, R.R.J.; Davis, A.W.; Ashcroft, I.A.; Tuck, C.J.; Clare, A. Thermal conductivity of TPMS lattice structures manufactured via laser powder bed fusion. Addit. Manuf. 2019, 30, 100846. [Google Scholar] [CrossRef]
- You, J.H.; Park, K. Design and additive manufacturing of thermal metamaterial with high thermal resistance and cooling capability. Addit. Manuf. 2021, 41, 101947. [Google Scholar] [CrossRef]
- Yoo, D.J. Porous scaffold design using the distance field and triply periodic minimal surface models. Biomaterials 2011, 32, 7741–7754. [Google Scholar] [CrossRef] [PubMed]
- Ouda, M.; Al-Ketan, O.; Sreedhar, N.; Ali, M.I.H.; Al-Rub, R.K.A.; Hong, S.; Arafat, H.A. Novel static mixers based on triply periodic minimal surface (TPMS) architectures. J. Environ. Chem. Eng. 2020, 8, 104289. [Google Scholar] [CrossRef]
- Li, W.; Yu, G.; Yu, Z. Bioinspired heat exchangers based on triply periodic minimal surfaces for supercritical CO2 cycles. Appl. Therm. Eng. 2020, 179, 115686. [Google Scholar] [CrossRef]
- Kim, J.; Yoo, D.J. 3D printed compact heat exchangers with mathematically defined core structures. J. Comput. Des. Eng. 2020, 7, 527–550. [Google Scholar] [CrossRef]
- Hieber, C.A.; Chiang, H.H. Shear-rate-dependence modeling of polymer melt viscosity. Polym. Eng. Sci. 1992, 32, 931–938. [Google Scholar] [CrossRef]
- Rodgers, P.A. Pressure–volume–temperature relationships for polymeric liquids: A review of equations of state and their characteristic parameters for 56 polymers. J. Appl. Polym. Sci. 1993, 48, 1061–1080. [Google Scholar] [CrossRef]
- Kuo, C.C.; Jiang, Z.F.; Yang, X.Y. Characterization of a direct metal printed injection mold with different conformal cooling channels. Int. J. Adv. Manuf. Technol. 2020, 107, 1223–1238. [Google Scholar] [CrossRef]
- Kuo, C.C.; Nguyen, T.D.; Zhu, Y.J.; Lin, S.X. Rapid development of an injection mold with high cooling performance using molding simulation and rapid tooling technology. Micromachines 2021, 12, 311. [Google Scholar] [CrossRef]
- Attarzadeh, R.; Rovira, M.; Duwig, C. Design analysis of the “Schwartz D” based heat exchanger: A numerical study. Int. J. Heat Mass Transf. 2021, 177, 121415. [Google Scholar] [CrossRef]
- Kaur, I.; Singh, P. Flow and thermal transport characteristics of Triply-Periodic Minimal Surface (TPMS)-based gyroid and Schwarz-P cellular materials. Numer. Heat Transf. Part A Appl. 2021, 79, 553–569. [Google Scholar] [CrossRef]
- Lee, J.W.; Oh, S.H.; Ha, J.W.; Park, K. Improvement in cooling characteristics of injection molds using microcellular cooling structures. Trans. Kor. Soc. Mech. Engrs. A 2021, 45, 1099–1107. [Google Scholar] [CrossRef]
- You, J.H.; Lee, J.W.; Oh, S.H.; Park, K. Conformal mold heating and cooling using a carbon nanotube film heater and additively manufactured cellular metamaterial. Int. J. Precis. Eng. Manuf. Green Technol. 2021. [Google Scholar] [CrossRef]
















| Material | AISI-1055 | AA7075 | AlSi7Mg |
|---|---|---|---|
| Density (kg/m3) | 7850 | 2810 | 2680 |
| Specific heat (J/kg-K) | 486 | 960 | 963 |
| Thermal conductivity (W/m-K) | 46.9 | 173 | 167 |
| Thermal expansion (μm/m-K) | 11.9 | 23.0 | 21.4 |
| Elastic modulus (GPa) | 206 | 71.7 | 72.4 |
| Yield strength (MPa) | 392 | 103 | 107 |
| TPMS Type | CTS-G | CYL-G | CTS-D | CYL-D |
|---|---|---|---|---|
| Unit cell | Gyroid (G) | Gyroid (G) | Diamond (D) | Diamond (D) |
| Base grid | Cartesian | Cylindrical | Cartesian | Cylindrical |
| Volume fraction | 50.7% | 49.3% | 50.7% | 49.5% |
| Surface area (mm2) | 28,865 | 29,894 | 34,747 | 34,563 |
| Molding Condition | Value | Molding Condition | Value |
|---|---|---|---|
| Filling time (s) | 6.5 | Injection pressure (MPa) | 50 |
| Packing time (s) | 3.0 | Injection speed (cc/s) | 11.1 |
| Cooling time (s) | 30 | Packing pressure (MPa) | 40 |
| Melt temperature (°C) | 200 | Coolant temperature (°C) | 60 |
| TPMS Shape | CTS-G | CYL-G | CTS-D | CYL-D | |
|---|---|---|---|---|---|
| Volume (mm3) | 16,470.7 | 16,991.0 | 16,470.5 | 17,383.3 | |
| Mass (g) | Designed | 21.92 | 22.61 | 21.92 | 23.14 |
| Measured | 21.51 | 22.72 | 21.20 | 23.09 | |
| Error | −1.90% | 0.48% | −3.39% | −0.22% | |
| Volume Fraction | 30% | 40% | 50% | 60% | |
|---|---|---|---|---|---|
| Volume (mm3) | 9998.9 | 13,475.1 | 16,991.0 | 20,249.8 | |
| Mass (g) | Designed | 13.31 | 17.93 | 22.61 | 26.95 |
| Measured | 13.66 | 18.17 | 22.72 | 26.37 | |
| Error | 2.56% | 1.32% | 0.48% | −2.20% | |
Publisher’s Note: MDPI stays neutral with regard to jurisdictional claims in published maps and institutional affiliations. |
© 2021 by the authors. Licensee MDPI, Basel, Switzerland. This article is an open access article distributed under the terms and conditions of the Creative Commons Attribution (CC BY) license (https://creativecommons.org/licenses/by/4.0/).
Share and Cite
Oh, S.-H.; Ha, J.-W.; Park, K. Adaptive Conformal Cooling of Injection Molds Using Additively Manufactured TPMS Structures. Polymers 2022, 14, 181. https://doi.org/10.3390/polym14010181
Oh S-H, Ha J-W, Park K. Adaptive Conformal Cooling of Injection Molds Using Additively Manufactured TPMS Structures. Polymers. 2022; 14(1):181. https://doi.org/10.3390/polym14010181
Chicago/Turabian StyleOh, Seo-Hyeon, Jong-Wook Ha, and Keun Park. 2022. "Adaptive Conformal Cooling of Injection Molds Using Additively Manufactured TPMS Structures" Polymers 14, no. 1: 181. https://doi.org/10.3390/polym14010181
APA StyleOh, S.-H., Ha, J.-W., & Park, K. (2022). Adaptive Conformal Cooling of Injection Molds Using Additively Manufactured TPMS Structures. Polymers, 14(1), 181. https://doi.org/10.3390/polym14010181

