An Innovative Preparation, Characterization, and Optimization of Nanocellulose Fibers (NCF) Using Ultrasonic Waves
Abstract
1. Introduction
2. Experimental
2.1. Materials and Chemicals
2.2. Preparation of KGNFC (Alkali Grass Nanofiber Cellulose)
2.3. Preparation CGNFC (Acidic Grass Nanofiber Cellulose)
2.4. Innovative Preparation of Grass Nanofiber Cellulose (IGNFC)
2.4.1. Characterizations
Fourier Transform Infrared (FT-IR) Spectroscopy
X-ray Diffraction (XRD)
SEM Analysis
Determination of GNFC Yield
High-Performance Liquid Chromatography (HPLC)
Zeta Potential Measurement
3. Results and Discussion
3.1. Temperature Effect on the GNFC Yield
3.2. Time Effecton the GNFC Yield
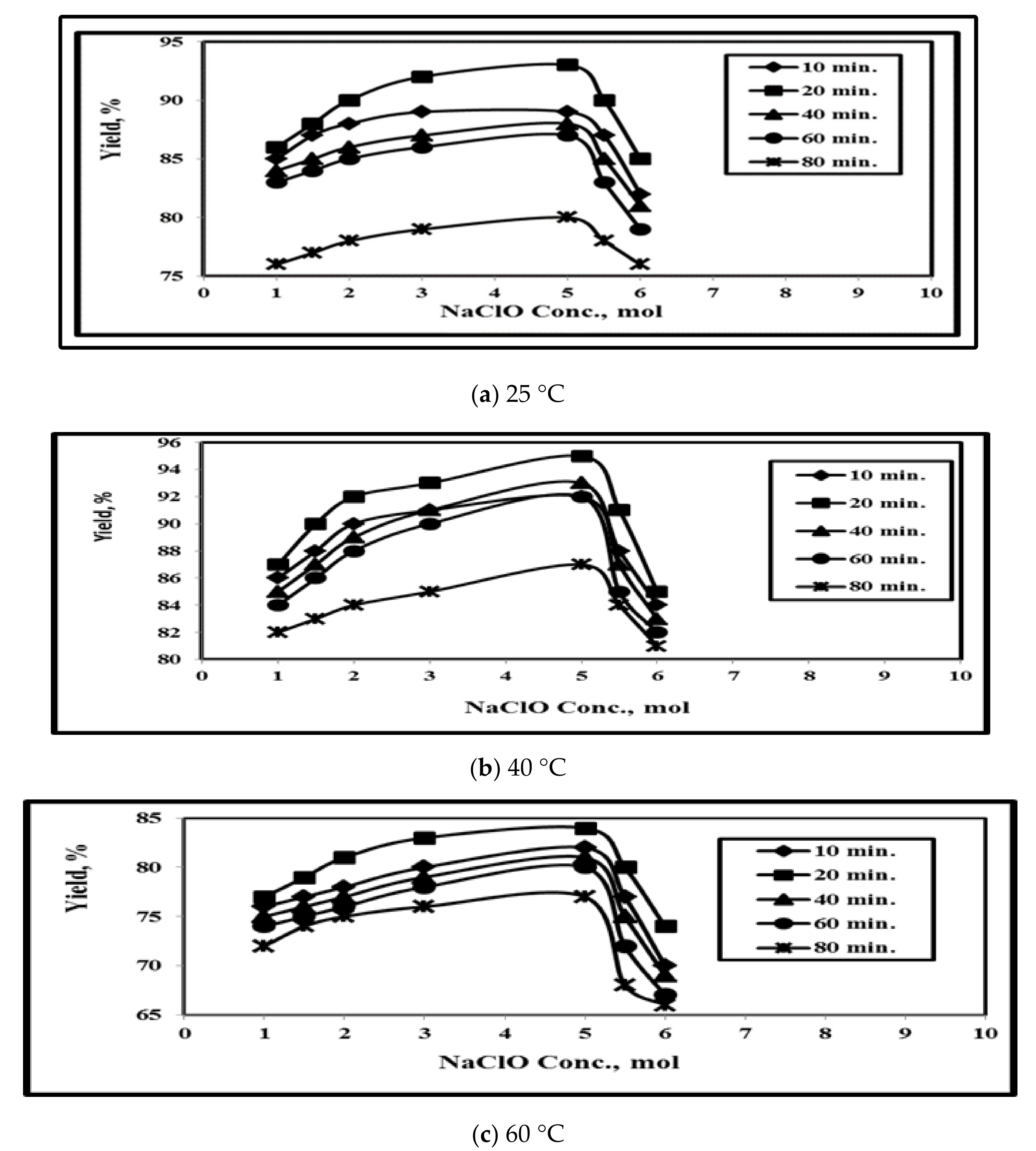
3.3. Effect of NaClO Concentration
3.4. Effect of Reaction Medium on GNFC Yield
3.5. X-ray (XRD) Diffraction Patterns Analysis
3.6. Effect of Additives on the Crystallinity Index (IC) of GNFC
3.7. Effect of Test Temperature on IC
3.8. Effect of Reaction Time on IC
3.9. Spectroscopic Analyses
3.10. Morphological Investigations of Untreated and Treated Fibers
3.11. Particle Size Measurement
3.12. Zeta Potential Measurement
3.13. HPLC Nanocellulose Measurement
4. Conclusions
Funding
Institutional Review Board Statement
Informed Consent Statement
Data Availability Statement
Acknowledgments
Conflicts of Interest
Appendix A
References
- Nazri, Z.; Roesyadi, A.; Sumarno, F.I. Effects of hydrolysis conditions on the crystallinity, chemical structure, morphology, and thermal stability of cellulose nanocrystals extracted from oil palm biomass residue. Int. J. Chem. Tech. Res. 2016, 9, 456–464. [Google Scholar]
- Blessy, J.; Sagarika, V.K.; Chinnu, S.; Nandakumar, K.; Sabu, T. Cellulose nanocomposites: Fabrication and biomedical applications. J. Bioresour. Bioprod. 2020, 5, 223–237. [Google Scholar]
- Zou, Y.; Zhao, J.; Jinyao Zhu, J.; Guo, X.; Peng Chen, P.; Duan, G.; Xianhu Liu, X.; Li, Y. A Mussel-Inspired Polydopamine-Filled Cellulose Aerogel for Solar-Enabled Water Remediation. ACS Appl. Mater. Interfaces 2021, 13, 7617–7624. [Google Scholar] [CrossRef]
- Xia, Z.; Li, J.; Zhang, J.; Zhang, X.; Zheng, X.; Zhang, J. Processing and valorization of cellulose, lignin and lignocellulose using ionic liquids. J. Bioresour. Bioprod. 2020, 5, 79–95. [Google Scholar] [CrossRef]
- Kusmono Listyanda, R.F.; Wildan, M.W.; Ilman, M.N. Preparation and characterization of cellulose nanocrystal extracted from ramie fibers by sulfuric acid hydrolysis. Heliyon 2020, 6, e05486. [Google Scholar] [CrossRef] [PubMed]
- Lu, Z.; Fan, L.; Zheng, H.; Lu, Q.; Liao, Y.; Huang, B. Preparation, characterization and optimization of nanocellulose whiskers by simultaneously ultrasonic wave and microwave assisted. Bioresour. Technol. 2013, 146, 82–88. [Google Scholar] [CrossRef] [PubMed]
- Syafri, E.; Sudirman Mashadi Yulianti, E.; Deswita Asrofic, M.; Abral, H.; Sapuane, S.M.; Ilyase, R.A.; Fudholig, A. Effect of sonication time on the thermal stability, moisture absorption, and biodegradation of water hyacinth (Eichhornia crassipes) nanocellulose-filled bengkuang (Pachyrhizus erosus) starch biocomposites. J. Mater. Res. Technol. 2019, 8, 6223–6231. [Google Scholar] [CrossRef]
- Chen, Y.W.; Tan, T.H.; Lee, H.V.; Abd Hamid, S.B. Easy fabrication of highly thermal-stable cellulose nanocrystals using Cr(No3)3 catalytic hydrolysis system: A feasibility study from macroto nano-dimensions. Materials 2017, 10, 42. [Google Scholar] [CrossRef]
- Sangeetha, V.H.; Varghese, T.O.; Nayak, S.K. Isolation and characterization of nanofibrillated cellulose from waste cotton: Effects on thermo -mechanical properties of polylactic acid/MA-g-SEBS blends. Iran. Polym. J. 2019, 28, 673–683. [Google Scholar] [CrossRef]
- Garvey, C.J.; Parker, I.H.; Simon, G.P. On the Interpretation of X-ray Diffraction Powder Patterns in Terms of the Nanostructure of Cellulose I Fibers. Macromol. Chem. Phys. 2005, 206, 1568–1575. [Google Scholar] [CrossRef]
- Ju, X.; Bowden, M.; Brown, E.E.; Zhang, X. An Improved X-ray Diffraction Method for Cellulose 1 Crystallinity Measurement; Elsevier: Amsterdam, The Netherlands, 2019; pp. 1–21. [Google Scholar]
- Yazdani, A.; Höhne, G.W.H.; Misture, S.T.; Graeve, O.A. A method to quantify crystallinity in amorphous metal alloys: A differential scanning calorimetry study. PLoS ONE 2020, 15, e0234774. [Google Scholar] [CrossRef] [PubMed]
- Agarwal, U.P.; Ralph, S.A.; Reiner, R.S.; Baez, C. Probing crystallinity of never-dried wood cellulose with Raman spectroscopy. Cellulose 2016, 23, 125–144. [Google Scholar] [CrossRef]
- Segal, L.; Creely, J.J.; Martin, A.E., Jr.; Conrad, C.M. An empirical method for estimating the degree of crystallinity of native cellulose using the X-ray Diffractometer. Text. Res. J. 1959, 29, 786–794. [Google Scholar] [CrossRef]
- Khukutapan, D.; Chiewchan, N.; Devahastin, S. Characterization of nanofibrillated cellulose produced by different methods from cabbage outer leaves. J. Food Sci. 2018, 83, 1660–1667. [Google Scholar] [CrossRef] [PubMed]
- Hu, Z.; Zhai, R.; Li, J.; Zhang, Y.; Lin, J. Preparation and characterization of nanofibrillated cellulose from bamboo fiber via ultrasonication assisted by repulsive effect. Int. J. Polym. Sci. 2017, 2017, 9850814. [Google Scholar] [CrossRef]
- Barbash, V.A.; Yaschenko, O.V.; Alushkin, S.V.; Kondratyuk, A.S.; Posudievsky, O.Y.; Koshechko, V.G. The effect of mechanochemical treatment of the cellulose on characteristics of nanocellulose films. Nanoscale Res. Lett. 2016, 11, 410. [Google Scholar] [CrossRef]
- Barbash, V.A.; Yaschenko, O.V.; Shniruk, O.M. Preparation and properties of nanocellulose from organosolv straw pulp. Nanoscale Res. Lett. 2017, 12, 241. [Google Scholar] [CrossRef]
- Thakur, V.; Guleria, A.; Kumar, S.; Sharmad, S.; Singh, K. Recent advances in nanocellulose processing, functionalization and applications: A review. Mater. Adv. 2021, 2, 1872–1895. [Google Scholar] [CrossRef]
- Sharma, A.; Thakur, M.; Bhattacharya, M.; Mandal, T.; Goswami, S. Commercial application of cellulose nano-composites—A review. Biotechnol. Rep. 2019, 21, e00316. [Google Scholar] [CrossRef]
- Mazela, B.; Perdoch, W.; Peplińska, B.; Zieliński, M. Influence of chemical pre-treatments and ultrasonication on the dimensions and appearance of cellulose fibers. Materials 2020, 13, 5274. [Google Scholar] [CrossRef]
- Zhang, B.; Huang, C.H.; Zhao, H.; Wang, J.; Yin, C.; Zhang, L.; Zhao, Y. Effects of cellulose nanocrystals and cellulose nanofibers on the structure and properties of polyhydroxybutyrate nanocomposites. Polymers 2019, 11, 2063. [Google Scholar] [CrossRef] [PubMed]
- Park, S.; Baker, J.O.; Himmel, M.E.; Parilla, P.A.; Johnson, D.K. Cellulose crystallinity index: Measurement techniques and their impact on interpreting cellulose performance. Biotechnol. Biofuels 2010, 3, 10. [Google Scholar] [CrossRef] [PubMed]
- Szymańska-Chargot, M.; Cieśla, J.; Chylińska, M.; Gdula, K.; Pieczywek, P.M.; Kozioł, A.; Cieślak, K.J.; Zdunek, A. Effect of ultrasonication on physicochemical properties of apple based nanocellulose-calcium carbonate composites. Cellulose 2018, 25, 4603–4621. [Google Scholar] [CrossRef]
- Trache, D.; Tarchoun, A.F.; Derradji, M.; Hamidon, T.S.; Masruchin, N.; Brosse, N.; Hussin, M.H. Nanocellulose: From fundamentals to advanced applications. Front. Chem. 2020, 8, 392. [Google Scholar] [CrossRef] [PubMed]
- Thomas, S.K.; Begum, P.M.S.; Dominic, C.D.M.; Salim, N.V.; Hameed, N.; Rangappa, S.M.; Siengchin, S.; Parameswaranpillai, J. Isolation and characterization of cellulose nanowhiskers from Acacia caesia plant. J. Appl. Polym. Sci. 2021, 138, e50213. [Google Scholar] [CrossRef]
- Barbash, V.A.; Yashchenko, O.V.; Vasylieva, O.A. Preparation and properties of nanocellulose from Miscanthus × giganteus. J. Nanomater. 2019, 2019, 3241968. [Google Scholar] [CrossRef]
- Yahya, M.; Chen, Y.W.; Lee, H.V.; Hock, C.C.; Wan, H.W.H. A new protocol for efficient and high yield preparation of nanocellulose from Elaeis guineensis biomass: A response surface methodology (rsm) study. J. Polym. Environ. 2019, 27, 678–702. [Google Scholar] [CrossRef]
- Duan, L.; Yu, W. Review of recent research in nano cellulose preparation and application from jute fibers. In Proceedings of the 3rd International Conference on Materials Engineering, Manufacturing Technology and Control (ICMEMTC 2016), Taiyuan, China, 27–28 February 2016; pp. 1–7. [Google Scholar]
- Ma, N.; Liu, D.; Liu, Y.; Sui, G. Extraction and characterization of nanocellulose from xanthoceras sorbifolia husks. Int. J. Nanosci. Nanoeng. 2015, 2, 43–50. [Google Scholar]
- Shahnaz, T.; Priyan, T.V.V.; Pandian, S.; Narayanasamy, S. Use of Nanocellulose extracted from grass for adsorption abatement of Ciprofloxacin and Diclofenac removal with phyto, and fish toxicity Studies. Environ. Pollut. 2021, 268, 115494. [Google Scholar] [CrossRef]
- Mostafa, N.A.; Farag, A.A.; Abodief, H.M.; Tayeb, A.M. Production of biodegradable plastic from agricultural wastes. Arab. J. Chem. 2018, 11, 546–553. [Google Scholar] [CrossRef]
- Le Normand, M.; Moriana, R.; Ek, M. Isolation and characterization of cellulose nanocrystals from spruce bark in a biorefinery perspective. Carbohydr. Polym. 2014, 111, 979–987. [Google Scholar] [CrossRef] [PubMed]
- Du, H.; Liu, W.; Zhang, M.; Si, C.; Zhang, X.; Li, B. Cellulose anocrystals and cellulose nanofibrils based hydrogels for biomedical applications. Carbohydr. Polym. 2019, 209, 130–144. [Google Scholar] [CrossRef] [PubMed]
- Ling, Z.; Wang, T.; Makarem, M.; Cintrón, M.S.; Cheng, H.N.; Kang, X.; Bacher, M.; Potthast, A.; Rosenau, T.; King, H.; et al. Effects of ball milling on the structure of cotton cellulose. Cellulose 2019, 26, 305–328. [Google Scholar] [CrossRef]
- Peñaloza, E.M.C.; Casanova, L.M.; Leal, I.C.R.; Paula de Aguiarc, P.F.; Costa, S.S. Metabolite fingerprinting and profiling of the medicinal grass Eleusine indica based on HPLC-DAD, UPLC-DAD-MS/MS and NMR analyses. J. Braz. Chem. Soc. 2018, 29, 2522–2534. [Google Scholar] [CrossRef]
- Moradeeya, P.G.; Kumar, M.A.; Thorat, R.B.; Rathod, M.; Khambhaty, Y.; Basha, S. Nanocellulose for biosorption of chlorpyrifos from water: Chemometric optimization, kinetics and equilibrium. Cellulose 2017, 24, 1319–1332. [Google Scholar] [CrossRef]
- Lunardi, C.N.; Gomes, A.J.; Rocha, F.S.; Tommaso, J.D.; Gregory, S. Patience, Experimental methods in chemical engineering: Zeta Potential. Can. J. Chem. Eng. 2021, 99, 627–639. [Google Scholar] [CrossRef]
- Li, Y.; Zhu, H.; Xu, M.; Zhuang, Z.; Xu, M.; Dai, H. High yield preparation method of thermally stable cellulose Nanofibers. BioResources 2014, 9, 1986–1997. [Google Scholar] [CrossRef]
- Winarsih, S. The Effect of NaOH Concentration and Microwave Exposure Time to the Content of Cellulose, Hemicellulose and Lignin of Corn Cob, Research Article. 2018. Available online: Ejournal.umm.ac.id/index.php/fths/about (accessed on 22 November 2021).
- Rambabu, N.; PAnthapulakkal, S.; Sain, M.; Dalai, A.K. Production of nanocellulose fibers from pinecone biomass: Evaluation and optimization of chemical and mechanical treatment conditions on mechanical properties of nanocellulose films. Ind. Crops Prod. 2016, 83, 746–754. [Google Scholar] [CrossRef]
- Denoyelle, T. Mechanical Properties of Materials Made of Nano-Cellulose; KTH Engineering Sciences: Stockholm, Sweden, 2011; pp. 1–74. [Google Scholar]
- Owonubi, S.J.; Agwuncha, S.C.; Malima, N.M.; Shombe, G.B.; Makhatha, E.M.; Revaprasadu, N. Non-woody biomass as sources of nanocellulose particles: A review of extraction procedures. Front. Energy Res. 2021, 9, 608825. Available online: www.frontiersin.org (accessed on 22 November 2021). [CrossRef]
- Kandhola, G.; Djioleu, A.; Rajan, K.; Labbé, N.; Sakon, J.; Julie Carrier, D.J.; Kim, J.W. Maximizing production of cellulose nanocrystals and nanofibers from pre-extracted loblolly pine kraft pulp: A response surface approach. Bioresour. Bioprocess. 2020, 7, 1–16. [Google Scholar] [CrossRef]
- Benini, K.C.C.; Voorwalda, H.J.C.; Cioffia, M.O.H.; Rezendeb, M.C.; Arantesc, V. Preparation of nanocellulose from Imperata brasiliensis grass using Taguchi Method. Carbohydr. Polym. 2018, 192, 337–346. [Google Scholar] [CrossRef] [PubMed]
- Zhao, J.; Zhang, W.; Zhang, X.; Zhang, X.; Lu, C.; Deng, Y. Extraction of cellulose nanofibrils from dry softwood pulp using high shear homogenization. Carbohydr. Polym. 2013, 97, 695–702. [Google Scholar] [CrossRef] [PubMed]
- Maia, G.S.; Andrade, J.R.; Silva, M.G.C.; Vieira, M.G.A. Adsorption of diclofenac sodium onto commercial organoclay: Kinetic, equilibrium and thermodynamic study. Powder Technol. 2019, 345, 140–150. [Google Scholar] [CrossRef]
- Alemdar, A.; Sain, M. Isolation and characterization of nanofibers from agricultural residues—Wheat straw and soy hulls. Bioresour. Technol. 2008, 99, 1664–1671. [Google Scholar] [CrossRef]
- French, A.D. Idealized powder diffraction patterns for cellulose polymorphs. Cellulose 2014, 21, 885–896. [Google Scholar] [CrossRef]
- Cherian, M.; Pothan, L.A.; Nguyen-Chung, T.; Mennig, G.; Kottaisamy, M.; Thomas, S. A novel method for the synthesis of cellulose nanofibril whiskers from banana fibers and characterization. J. Agric. Food Chem. 2008, 56, 5615627. [Google Scholar] [CrossRef]
- Sánchez, R.; Espinosaa, E.; Domínguez-Roblesa, J.; Mauricio Loaiza, J.; Rodrígueza, A. Isolation and characterization of lignocellulose nanofibers from different wheat straw pulps. Int. J. Biol. Macromol. 2016, 92, 1025–1033. [Google Scholar] [CrossRef]
- Chen, Y.; Wu, Q.; Huang, B.; Huang, M.; Ai, X. Isolation and characteristics of cellulose and nanocellulose from lotus leaf stalk agro-wastes. BioResources 2014, 10, 684–696. [Google Scholar] [CrossRef]
- Bodin, A.; Backdah, H.; Risberg, B.; Gatenholm, P. Nano cellulose as a scaold for tissue engineered blood vessels. Tissue Eng. 2007, 13, 885. [Google Scholar]
- Cherian, B.M.; Leão, A.L.; De Souza, S.F.; Thomas, S.; Pothan, L.A.; Kottaisamy, M. Isolation of nanocellulose from pineapple leaf fibers by steam explosion. Carbohydr. Polym. 2010, 81, 720–725. [Google Scholar] [CrossRef]
- Liu, Z.; Li, X.; Xie, W.; Deng, H. Extraction, isolation and characterization of nanocrystalline cellulose from industrial kelp (Laminaria japonica) waste. Carbohydr. Polym. 2017, 173, 353–359. [Google Scholar] [CrossRef] [PubMed]
- Flauzino, N.W.; Pasquini DSilvério, H.A.; Dantas, N.O. Extraction and characterization of cellulose nanocrystals from agro-industrial residue—Soy hulls. Ind. Crops Prod. 2013, 42, 480–488. [Google Scholar] [CrossRef]
- Brito, B.L.; Pereira, F.V.; Putaux, J.L.; Jean, B. Preparation, morphology and Structure of cellulose nanocrystals from bamboo fibers. Cellulose 2012, 19, 1527–1536. [Google Scholar] [CrossRef]
- Ilyas, R.; Sapuan, S.; Ishak, M. Isolation and characterization of nanocrystalline cellulose from sugar palm fibers (Arenga pinnata). Carbohydr. Polym. 2018, 181, 1038–1051. [Google Scholar] [CrossRef]
- Kagarzadeh, H.; Ahmad, I.; Abdullah, I.; Dufrense, A.; Zainuddin, S.; Sheltami, R. Effects of hydrolysis condition on the morphology, crystalinity and thermal stability of cellulose nanocrystals extracted from kenal bast fibers. Cellulose 2012, 19, 855–866. [Google Scholar] [CrossRef]
- Lu, P.; Hsieh, Y. Preparation and characterization of cellulose nanocrystals from rice straw. Carbohydr. Polym. 2012, 87, 564–573. [Google Scholar] [CrossRef] [PubMed]
- Saïd Azizi Samir, M.A.; Alloin, F.; Paillet, M.; Dufresne, A. Tangling effect in fibrillated cellulose reinforced nanocomposites. Macromolecules 2004, 37, 4313–4316. [Google Scholar] [CrossRef]
- Kian, L.K.; Jawaid, M.; Arif, H.; Karim, Z. Isolation and characterization of nanocrystalline cellulose from roselle-derived microcrystalline cellulose. Int. J. Biol. Macromol. 2018, 114, 54–63. [Google Scholar] [CrossRef]
- Al-Dulaimi, A.A.; Wanrosli, W.D. Isolation and characterization of nanocrystalline cellulose from totally chlorine free oil palm empty fruit bunch pulp. J. Polym. Environ. 2017, 25, 192–202. [Google Scholar] [CrossRef]
- Johar, N.; Ahmad, I.; Dufresne, A. Extraction, preparation and characterization of cellulose fibers and nanocrystals from rice husk. Ind. Crops Prod. 2012, 37, 93–99. [Google Scholar] [CrossRef]
- Nacos, M.; Katapodis, P.; Parppas, C.; Daferera, D.; Tarantilis, P.A.; Christakopoulos, P. Kenaf xylan-A source of biologically active acidic oligosaccharides. Carbohydr. Polym. 2006, 66, 126–134. [Google Scholar] [CrossRef]
- Corrêa, A.C.; de Morais Teixeira, E.; Pessan, L.A.; Mattoso, L.H.C. Cellulose nanofibers from curaua fibers. Cellulose 2010, 17, 1183–1192. [Google Scholar] [CrossRef]
- Li, R.; Fei, J.; Cai, Y.; Li, Y.; Feng, J.; Yao, J. Cellulose whiskers extracted from mulberry: A novel biomass production. Carbohydr. Polym. 2009, 76, 94–99. [Google Scholar] [CrossRef]
- Radakisnin, R.; Abdul Majid, M.S.; Jamir, M.R.M.; Jawaid, M.; Sultan, M.T.H.; Tahir, M.F.M. Structural, Morphological and thermal properties of cellulose nanofibers from Napier fiber (Pennisetum purpureum). Materials 2020, 13, 4125. [Google Scholar] [CrossRef]
- Chieng, B.W.; Lee, S.H.; Ibrahim, N.A.; Then, Y.Y.; Loo, Y.Y. Isolation and characterization of cellulose nanocrystals from oil palm mesocarp fiber. Polymers 2017, 9, 355. [Google Scholar] [CrossRef]
- Leite, A.L.M.P.; Zanon, C.D.; Menegalli, F.C. Isolation and characterization of cellulose nanofibers from cassava root bagasse and peelings. Carbohydr. Polym. 2017, 157, 962–970. [Google Scholar] [CrossRef]
- Muhamad, M.; Hornsby, P.; Carmichael, E.; Zakaria, M.; Seok, Y.B.; Mohamed, S.; Sharma, S. Characterisation of cellulose nanofibres derived from chemical and mechanical treatments. MATECWeb Conf. 2019, 253, 01002. [Google Scholar] [CrossRef]
- Mahardika, M.; Abral, H.; Kasim, A.; Arief, S.; Asrofi, M. Production of nanocellulose from pineapple leaf fibers via high-shear homogenization and ultrasonication. Fibers 2018, 6, 28. [Google Scholar] [CrossRef]
- Teodoro, K.B.R.; Teixeir, E.D.M.; Corrêa, A.C.; Campos, A.; De Marconcini, J.M.; Mattoso, L.H.C. Whiskers de fibra de sisal obtidos sob diferentes condições de hidrólise ácida: Efeito do tempo e da temperatura de extração. Polímeros 2011, 21, 280–285. [Google Scholar] [CrossRef][Green Version]
- Zhou, Y.M.; Fu, S.Y.; Zheng, L.M.; Zhan, H.Y. Effect of nanocellulose isolation techniques on the formation of reinforced poly (vinyl alcohol) nanocomposite films. Express Polym. Lett. 2012, 6, 794–804. [Google Scholar] [CrossRef]
- Bondeson, D.; Mathew, A.; Oksman, K. Optimization of the isolation of nanocrystal from microcrystalline cellulose by acid hydrolysis. Cellulose 2006, 13, 171–180. [Google Scholar] [CrossRef]
- Roman, M.; Winter, W.T. Effect of sulphated groups from sulphuric acid hydrolysis on the thermal degradation behavior of bacterial cellulose. Biomacromolecules 2004, 5, 1048–1054. [Google Scholar] [CrossRef] [PubMed]
- Araki, J.; Wada, M.; Kuga, S.; Okano, T. Low properties of microcrystalline cellulose suspension prepared by acid treatment of native cellulose. Colloid Surf. A 1998, 142, 75–82. [Google Scholar] [CrossRef]
- Angellier, H.; Putaux, J.L.; Molina-Boisseau, S.; Dupeyre, D.; Dufresne, A. Starch nanocrystal fillers in a acrylic polymer matrix. Macromol. Symp. 2005, 221, 95–104. [Google Scholar] [CrossRef]
- Muryani, B.Y.; Sarifah, N.; Kusumawardani, D.R.; Nurosyid, F. Effect concentration of dye solution binahong leaves to the efficiency of dye-sensitized solar cell (DSSC). In Proceedings of the International Conference on Science and Applied Science (ICSAS), Surakarta, Indonesia, 20 July 2019; pp. 020122-1–020122-4. [Google Scholar]
- Alanazi, A.K. Effect of ZnO nanomaterial and red and green cabbage dyes on the performance of dye-sensitised solar cells. Coatings 2021, 11, 1057. [Google Scholar] [CrossRef]
















| Temp. °C | Method (A) | Method (B) | ||||||
|---|---|---|---|---|---|---|---|---|
| IC% RSNFC | IC% (GNFC/NaClO) | IC% (GNFC/NaOH) | IC% (GNFC/H2SO4) | IC% RSNFC | IC% (GNFC/NaClO) | IC% (GNFC/NaOH) | IC% (GNFC/H2SO4) | |
| 20 | 23.205 | 31.853 | 42.095 | 62.083 | 19.724 | 27.394 | 35.781 | 54.122 |
| 25 | 24.69 | 34.93 | 43.16 | 64.17 | 20.987 | 30.039 | 36.686 | 55.828 |
| 40 | 27.056 | 40.095 | 45.074 | 76.477 | 22.998 | 34.482 | 38.313 | 66.535 |
| 60 | 31.303 | 47.04 | 54.689 | 85.899 | 26.608 | 40.544 | 46.486 | 74.732 |
| 80 | 40.705 | 70.489 | 73.841 | 91.521 | 34.559 | 60.621 | 62.765 | 79.623 |
| Timemin | Method (A) | Method (B) | ||||||
|---|---|---|---|---|---|---|---|---|
| IC% RSNFC | IC% (GNFC/NaClO) | IC% (GNFC/NaOH) | IC% (GNFC/H2SO4) | IC% RSNFC | IC% (GNFC/NaClO) | IC% (GNFC/NaOH) | IC% (GNFC/H2SO4) | |
| 10 | 21.401 | 31.853 | 36.22 | 60.221 | 17.763 | 26.757 | 30.063 | 51.188 |
| 20 | 22.69 | 32.93 | 41.16 | 62.245 | 18.833 | 27.661 | 34.163 | 52.908 |
| 40 | 23.745 | 38.33 | 43.675 | 74.183 | 19.708 | 32.197 | 36.250 | 63.056 |
| 60 | 28.494 | 45.584 | 51.678 | 83.322 | 23.650 | 38.291 | 42.893 | 70.824 |
| 80 | 39.701 | 67.194 | 69.661 | 88.775 | 32.952 | 56.443 | 57.819 | 75.459 |
Publisher’s Note: MDPI stays neutral with regard to jurisdictional claims in published maps and institutional affiliations. |
© 2022 by the author. Licensee MDPI, Basel, Switzerland. This article is an open access article distributed under the terms and conditions of the Creative Commons Attribution (CC BY) license (https://creativecommons.org/licenses/by/4.0/).
Share and Cite
Alanazi, A.K. An Innovative Preparation, Characterization, and Optimization of Nanocellulose Fibers (NCF) Using Ultrasonic Waves. Polymers 2022, 14, 1930. https://doi.org/10.3390/polym14101930
Alanazi AK. An Innovative Preparation, Characterization, and Optimization of Nanocellulose Fibers (NCF) Using Ultrasonic Waves. Polymers. 2022; 14(10):1930. https://doi.org/10.3390/polym14101930
Chicago/Turabian StyleAlanazi, Abdullah K. 2022. "An Innovative Preparation, Characterization, and Optimization of Nanocellulose Fibers (NCF) Using Ultrasonic Waves" Polymers 14, no. 10: 1930. https://doi.org/10.3390/polym14101930
APA StyleAlanazi, A. K. (2022). An Innovative Preparation, Characterization, and Optimization of Nanocellulose Fibers (NCF) Using Ultrasonic Waves. Polymers, 14(10), 1930. https://doi.org/10.3390/polym14101930

