Poly(Lactic Acid) Block Copolymers with Poly(Hexylene Succinate) as Microparticles for Long-Acting Injectables of Risperidone Drug
Abstract
1. Introduction
2. Materials and Methods
2.1. Materials
2.2. Synthesis of PLA/PHSu Copolymers
2.3. Characterization Methods
2.3.1. Nuclear Magnetic Resonance (1H-NMR, 13C-NMR)
2.3.2. Enzymatic Hydrolysis
2.3.3. Scanning Electron Microscopy (SEM)
2.3.4. In Vitro Cytotoxicity Study
2.4. Preparation and Characterization of Risperidone Microparticles
2.4.1. Preparation of Risperidone Microparticles
2.4.2. Fourier Transform Infrared Spectroscopy (FTIR)
2.4.3. X-ray Diffraction (XRD)
2.4.4. Differential Scanning Calorimetry (DSC)
2.4.5. Thermogravimetric Analysis (TGA)
2.4.6. In Vitro Drug Release
2.4.7. HPLC Method
3. Results and Discussion
3.1. Characterization Methods of the Synthesized Copolymers
3.1.1. Nuclear Magnetic Resonance (1H-NMR, 13C-NMR)
3.1.2. Enzymatic Hydrolysis
3.1.3. Surface Examination of Copolymers by Scanning Electron Microscopy
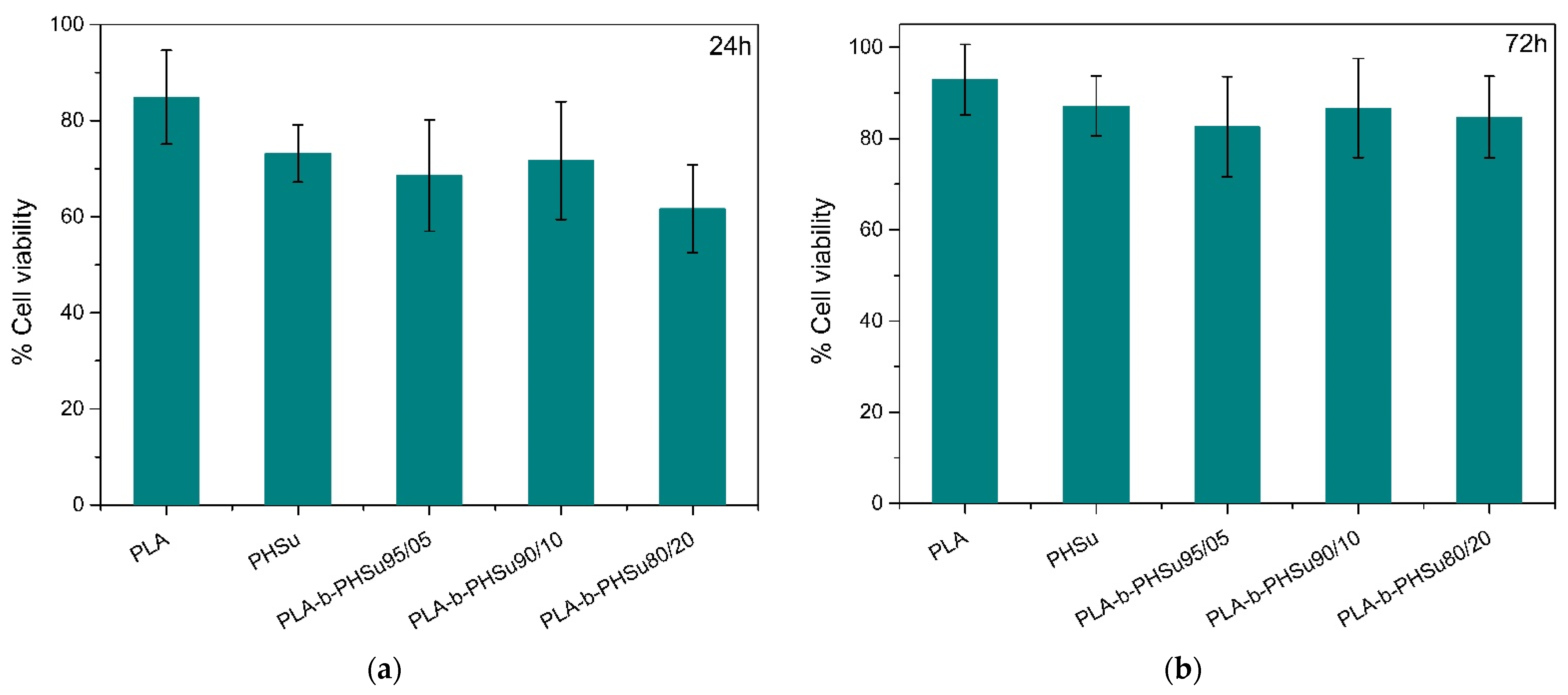
3.1.4. Cytotoxicity Study
3.2. Microparticle Preparation and Study
3.2.1. Scanning Electron Microscopy (SEM)
3.2.2. Fourier Transform Infrared Spectroscopy
3.2.3. X-ray Diffraction (XRD)
3.2.4. Differential Scanning Calorimetry (DSC)
3.2.5. Thermogravimetric Analysis (TGA)
3.2.6. In Vitro Drug Release
3.2.7. Analysis and Discussion of Release Results by Mechanistic Release Model
4. Conclusions
Supplementary Materials
Author Contributions
Funding
Institutional Review Board Statement
Informed Consent Statement
Data Availability Statement
Acknowledgments
Conflicts of Interest
References
- Bikiaris, D.N. Nanocomposites of aliphatic polyesters: An overview of the effect of different nanofillers on enzymatic hydrolysis and biodegradation of polyesters. Polym. Degrad. Stab. 2013, 98, 1908–1928. [Google Scholar] [CrossRef]
- Bikiaris, D.N.; Achilias, D.S. Synthesis of poly(alkylene succinate) biodegradable polyesters I. Mathematical modelling of the esterification reaction. Polymer 2006, 47, 4851–4860. [Google Scholar] [CrossRef]
- Chrysafi, I.; Ainali, N.M.; Bikiaris, D.N. Thermal Degradation Mechanism and Decomposition Kinetic Studies of Poly (Lactic Acid) and Its Copolymers with Poly(Hexylene Succinate). Polymers 2021, 13, 1365. [Google Scholar] [CrossRef] [PubMed]
- Balla, E.; Daniilidis, V.; Karlioti, G.; Kalamas, T.; Stefanidou, M.; Bikiaris, N.D.; Vlachopoulos, A.; Koumentakou, I.; Bikiaris, D.N. Poly(lactic acid): A versatile biobased polymer for the future with multifunctional properties-from monomer synthesis, polymerization techniques and molecular weight increase to PLA applications. Polymers 2021, 13, 1822. [Google Scholar] [CrossRef] [PubMed]
- Geralt, S. Degradable Polymers, Principles and Applications, 2nd ed.; Springer Science + Business Media: Donlrecht, The Netherlands, 2002. [Google Scholar]
- Muniyasamy, S.; Ofosu, O.; John, M.J.; Anandjiwala, R.D. Mineralization of poly(lactic acid) (PLA), Poly(3-hydroxybutyrate-co-valerate) (PHBV) and PLA/PHBV blend in compost and soil environments. J. Renew. Mater. 2016, 4, 133–145. [Google Scholar] [CrossRef]
- Arrieta, M.P.; López, J.; Rayón, E.; Jiménez, A. Disintegrability under composting conditions of plasticized PLA e PHB blends. Polym. Degrad. Stab. 2014, 108, 307–318. [Google Scholar] [CrossRef]
- Zaaba, N.F.; Jaafar, M. A review on degradation mechanisms of polylactic acid: Hydrolytic, photodegradative, microbial, and enzymatic degradation. Polym. Eng. Sci. 2020, 60, 2061–2075. [Google Scholar] [CrossRef]
- Garlotta, D. A Literature Review of Poly(Lactic Acid). J. Polym. Environ. 2001, 9, 63–84. [Google Scholar] [CrossRef]
- Al-Itry, R.; Lamnawar, K.; Maazouz, A. Improvement of thermal stability, rheological and mechanical properties of PLA, PBAT and their blends by reactive extrusion with functionalized epoxy. Polym. Degrad. Stab. 2012, 97, 1898–1914. [Google Scholar] [CrossRef]
- Madhavan Nampoothiri, K.; Nair, N.R.; John, R.P. An overview of the recent developments in polylactide (PLA) research. Bioresour. Technol. 2010, 101, 8493–8501. [Google Scholar] [CrossRef]
- Astuti, S.H.; Rahma, W.A.; Budianto, E. Biodegradable Microcapsules from D,L–PLA/PCL as Controlled Nifedipine Drug Delivery Carrier. Macromol. Symp. 2020, 391, 1900132. [Google Scholar] [CrossRef]
- da Silva, D.; Kaduri, M.; Poley, M.; Adir, O.; Krinsky, N.; Shainsky-Roitman, J.; Schroeder, A. Biocompatibility, biodegradation and excretion of polylactic acid (PLA) in medical implants and theranostic systems. Chem. Eng. J. 2018, 340, 9–14. [Google Scholar] [CrossRef] [PubMed]
- Beslikas, T.; Gigis, I.; Goulios, V.; Christoforides, J.; Papageorgiou, G.Z.; Bikiaris, D.N. Crystallization Study and Comparative in Vitro—In Vivo Hydrolysis of PLA Reinforcement Ligament. Int. J. Mol. Sci. 2011, 12, 6597–6618. [Google Scholar] [CrossRef] [PubMed]
- Brannigan, R.P.; Dove, A.P. Synthesis, properties and biomedical applications of hydrolytically degradable materials based on aliphatic polyesters and polycarbonates. Biomater. Sci. 2017, 5, 9–21. [Google Scholar] [CrossRef]
- Kowalczyk, M.; Piorkowska, E.; Dutkiewicz, S.; Sowinski, P. Toughening of polylactide by blending with a novel random aliphatic-aromatic copolyester. Eur. Polym. J. 2014, 59, 59–68. [Google Scholar] [CrossRef]
- Terzopoulou, Z.; Klonos, P.A.; Kyritsis, A.; Tziolas, A.; Avgeropoulos, A.; Papageorgiou, G.Z.; Bikiaris, D.N. Interfacial interactions, crystallization and molecular mobility in nanocomposites of Poly(lactic acid) filled with new hybrid inclusions based on graphene oxide and silica nanoparticles. Polymer 2019, 166, 1–12. [Google Scholar] [CrossRef]
- Bawa, K.K.; Oh, J.K. Stimulus-Responsive Degradable Polylactide-Based Block Copolymer Nanoassemblies for Controlled/Enhanced Drug Delivery. Mol. Pharm. 2017, 14, 2460–2474. [Google Scholar] [CrossRef]
- Jain, K.K. Drug Delivery Systems—An Overview. Methods Mol. Biol. 2008, 437, 1–50. [Google Scholar] [CrossRef]
- Salouti, M.; Ahangari, A. Nanoparticle based Drug Delivery Systems for Treatment of Infectious Diseases. In Application of Nanotechnology in Drug Delivery; Sezer, A.D., Ed.; IntechOpen: London, UK, 2014; p. 554. [Google Scholar]
- Kane, J.M.; Eerdekens, M.; Lindenmayer, J.P.; Keith, S.J.; Lesem, M.; Karcher, K. Long-acting injectable risperidone: Efficacy and safety of the first long-acting atypical antipsychotic. Am. J. Psychiatry 2003, 160, 1125–1132. [Google Scholar] [CrossRef]
- Salgueiro, M.; Segarra, R. Long-acting injectable second-generation antipsychotics in first-episode psychosis: A narrative review. Int. Clin. Psychopharmacol. 2019, 34, 51–56. [Google Scholar] [CrossRef]
- Kane, J.M.; Garcia-Ribera, C. Clinical guideline recommendations for antipsychotic long-acting injections. Br. J. Psychiatry 2009, 195, s63–s67. [Google Scholar] [CrossRef] [PubMed]
- Nanaki, S.; Barmpalexis, P.; Iatrou, A.; Christodoulou, E.; Kostoglou, M.; Bikiaris, D.N. Risperidone controlled release microspheres based on poly(lactic acid)-poly(propylene adipate) novel polymer blends appropriate for long acting injectable formulations. Pharmaceutics 2018, 10, 130. [Google Scholar] [CrossRef]
- Dubey, R.; Shami, T.C.; Bhasker Rao, K.U. Microencapsulation technology and applications. Def. Sci. J. 2009, 59, 82–95. [Google Scholar]
- Stevanovic, M. Polymeric Micro- and Nanoparticles for Controlled and Targeted Delivery. In Nanostructures for Drug Delivery; Andronescu, E., Grumezescu, A.M., Eds.; Elsevier Inc.: Amsterdam, The Netherlands, 2017; pp. 355–378. [Google Scholar]
- Li, M.; Rouaud, O.; Poncelet, D. Microencapsulation by solvent evaporation: State of the art for process engineering approaches. Int. J. Pharm. 2008, 363, 26–39. [Google Scholar] [CrossRef] [PubMed]
- Wang, Y.; Li, P.; Tran, T.T.; Zhang, J.; Kong, L. Manufacturing Techniques and Surface Engineering of Polymer Based Nanoparticles for Targeted Drug Delivery to Cancer. Nanomaterials 2016, 6, 26. [Google Scholar] [CrossRef] [PubMed]
- Chrysafi, I.; Pavlidou, E.; Christodoulou, E.; Vourlias, G.; Klonos, P.A.; Kyritsis, A.; Bikiaris, D.N. Effects of poly(hexylene succinate) amount on the crystallization and molecular mobility of poly(lactic acid) copolymers. Thermochim. Acta 2021, 698, 178883. [Google Scholar] [CrossRef]
- PC Powder Diffraction Files; JCPDS-ICDD: Newtown Square, PA, USA, 2003.
- Nanaki, S.; Barmpalexis, P.; Papakonstantinou, Z.; Christodoulou, E.; Kostoglou, M.; Bikiaris, D.N. Preparation of New Risperidone Depot Microspheres Based on Novel Biocompatible Poly(Alkylene Adipate) Polyesters as Long-Acting Injectable Formulations. J. Pharm. Sci. 2018, 107, 2891–2901. [Google Scholar] [CrossRef]
- Tan, B.; Bi, S.; Emery, K.; Sobkowicz, M.J. Bio-based poly(butylene succinate-co-hexamethylene succinate) copolyesters with tunable thermal and mechanical properties. Eur. Polym. J. 2017, 86, 162–172. [Google Scholar] [CrossRef]
- Wei, Z.; Zhou, C.; Yu, Y.; Li, Y. Poly(hexamethylene succinate) copolyesters containing phosphorus pendent group: Retarded crystallization and solid-state microstructure. Polymer 2015, 71, 31–42. [Google Scholar] [CrossRef]
- Lostocco, M.R.; Huang, S.J. Aliphatic polyester blends based upon poly(lactic acid) and oligomeric poly(hexamethylene succinate). J. Macromol. Sci.—Pure Appl. Chem. 1997, 34, 2165–2175. [Google Scholar] [CrossRef]
- Dong, Y.; Feng, S.S. Methoxy poly(ethylene glycol)-poly(lactide) (MPEG-PLA) nanoparticles for controlled delivery of anticancer drugs. Biomaterials 2004, 25, 2843–2849. [Google Scholar] [CrossRef] [PubMed]
- Pholharn, D.; Srithep, Y. Optimizationof poly(L-lactide)-polybutylene adipate terephthalate diblockcopolymer by ring opening polymerization. IOP Conf. Ser. Mater. Sci. Eng. 2019, 526, 012026. [Google Scholar] [CrossRef]
- Beslikas, T.; Gigis, J.; Christoforides, J. Crystallization and Enzymatic Hydrolysis of PLA Grade for Orthopedics. Adv. Polym. Technol. 2010, 29, 280–299. [Google Scholar] [CrossRef]
- Pan, B.; Li, P.; Chen, J.; Sun, J.; Huang, N. Study on the Effect and Mechanism of Paclitaxel-Succinic Acid Drug-Loaded Nanofibers in Treating Lung Cancer. J. Nanosci. Nanotechnol. 2021, 21, 909–913. [Google Scholar] [CrossRef] [PubMed]
- Mohammadi, H.; Seyyed, R.H.; Niknezhad, V.; Jamshidzadeh, A.; Farjadian, F. In vitro and in vivo evaluation of succinic acid-substituted mesoporous silica for ammonia adsorption: Potential application in the management of hepatic encephalopathy. Int. J. Nanomed. 2020, 15, 10085–10098. [Google Scholar] [CrossRef]
- Tabassum, S.; Zahid, S.; Zarif, F.; Gilani, M.A.; Manzoor, F.; Rehman, F.; Jamal, A.; Chaudhry, A.A.; Siddiqi, S.A.; Rehman, I.U. Efficient drug delivery system for bone repair by tuning the surface of hydroxyapatite particles. RSC Adv. 2016, 6, 104969–104978. [Google Scholar] [CrossRef]
- Baras, B.; Benoit, M.; Gillard, J. Parameters influencing the antigen release from spray-dried poly (DL-lactide) microparticles. Int. J. Pharm. 2000, 200, 133–145. [Google Scholar] [CrossRef]
- Arpagaus, C. PLA/PLGA nanoparticles prepared by nano spray drying. J. Pharm. Investig. 2019, 49, 405–426. [Google Scholar] [CrossRef]
- Blasi, P. Poly(lactic acid)/poly(lactic-co-glycolic acid)-based microparticles: An overview. J. Pharm. Investig. 2019, 49, 337–346. [Google Scholar] [CrossRef]
- Bai, Z.; Liu, Y.; Su, T.; Wang, Z. Effect of hydroxyl monomers on the Enzymatic degradation of poly(ethylene succinate), poly(butylene succinate), and poly(hexylene succinate). Polymers 2018, 10, 90. [Google Scholar] [CrossRef]
- Li, X.; Hong, Z.; Sun, J.; Geng, Y.; Huang, Y.; An, H.; Ma, Z.; Zhao, B.; Shao, C.; Fang, Y.; et al. Identifying the phase behavior of biodegradable poly(hexamethylene succinate-co-hexamethylene adipate) copolymers with FTIR. J. Phys. Chem. B 2009, 113, 2695–2704. [Google Scholar] [CrossRef] [PubMed]
- Buzarovska, A.; Grozdanov, A. Biodegradable poly(L-lactic acid)/TiO2 nanocomposites: Thermal properties and degradation. J. Appl. Polym. Sci. 2012, 123, 2187–2193. [Google Scholar] [CrossRef]
- Herrera-Kao, W.A.; Loría-Bastarrachea, M.I.; Pérez-Padilla, Y.; Cauich-Rodríguez, J.V.; Vázquez-Torres, H.; Cervantes-Uc, J.M. Thermal degradation of poly(caprolactone), poly(lactic acid), and poly(hydroxybutyrate) studied by TGA/FTIR and other analytical techniques. Polym. Bull. 2018, 75, 4191–4205. [Google Scholar] [CrossRef]
- Alparone, A. Spectroscopic properties of neuroleptics: IR and Raman spectra of Risperidone (Risperdal) and of its mono- and di-protonated forms. Spectrochim. Acta—Part A Mol. Biomol. Spectrosc. 2011, 81, 631–639. [Google Scholar] [CrossRef] [PubMed]
- Daniel, J.S.P.; Veronez, I.P.; Rodrigues, L.L.; Trevisan, M.G.; Garcia, J.S. Risperidone—Solid-state characterization and pharmaceutical compatibility using thermal and non-thermal techniques. Thermochim. Acta 2013, 568, 148–155. [Google Scholar] [CrossRef]
- Yu, Y.; Wei, Z.; Zhou, C.; Zheng, L.; Leng, X.; Li, Y. Miscibility and competition of cocrystallization behavior of poly(hexamethylene dicarboxylate)s aliphatic copolyesters: Effect of chain length of aliphatic diacids. Eur. Polym. J. 2017, 92, 71–85. [Google Scholar] [CrossRef]
- Karabas, I.; Orkoula, M.G.; Kontoyannis, C.G. Analysis and stability of polymorphs in tablets: The case of Risperidone. Talanta 2007, 71, 1382–1386. [Google Scholar] [CrossRef]
- Bragagni, M.; Beneitez, C.; Martín, C.; De La Ossa, D.H.P.; Mura, P.A.; Gil-Alegre, M.E. Selection of PLA polymers for the development of injectable prilocaine controlled release microparticles: Usefulness of thermal analysis. Int. J. Pharm. 2013, 441, 468–475. [Google Scholar] [CrossRef]
- Molavi, F.; Barzegar-Jalali, M.; Hamishehkar, H. Polyester based polymeric nano and microparticles for pharmaceutical purposes: A review on formulation approaches. J. Control. Release 2020, 320, 265–282. [Google Scholar] [CrossRef]
- Karavelidis, V.; Bikiaris, D.; Avgoustakis, K. New thermosensitive nanoparticles prepared by biocompatible pegylated aliphatic polyester block copolymers for local cancer treatment. J. Pharm. Pharmacol. 2015, 67, 215–230. [Google Scholar] [CrossRef]
- Pappa, C.; Nanaki, S.; Giliopoulos, D.; Triantafyllidis, K.; Kostoglou, M.; Avgeropoulos, A.; Bikiaris, D. Nanostructured composites of sodium montmorillonite clay and PEO used in dissolution improvement of aprepitant drug by melt mixing. Appl. Sci. 2018, 8, 786. [Google Scholar] [CrossRef]
- Nanaki, S.; Tseklima, M.; Terzopoulou, Z.; Nerantzaki, M.; Giliopoulos, D.J.; Triantafyllidis, K.; Kostoglou, M.; Bikiaris, D.N. Use of mesoporous cellular foam (MCF) in preparation of polymeric microspheres for long acting injectable release formulations of paliperidone antipsychotic drug. Eur. J. Pharm. Biopharm. 2017, 117, 77–90. [Google Scholar] [CrossRef] [PubMed]
- Crank, J. The Mathematics of Diffusion, 2nd ed.; Clarendon Press: Oxford, UK, 1975. [Google Scholar]
- Tien, C. Adsorption Calculations and Modeling; Butterworth-Heinemann: Boston, MA, USA, 1994. [Google Scholar]














| Sample | Drug Loading (%) | Entrapment Efficiency (%) |
|---|---|---|
| micro PLA | 10.61 ± 1.32 | 73.16 ± 2.09 |
| micro PLA-b-PHSu95/5 | 10.77 ± 1.05 | 74.26 ± 2.11 |
| micro PLA-b-PHSu90/10 | 9.52 ± 0.98 | 65.63 ± 1.67 |
| micro PLA-b-PHSu80/20 | 8.43 ± 0.95 | 58.15 ± 1.48 |
| Sample | Xf | k (s−1) |
|---|---|---|
| micro PLA | 58.8 | 3.18·10−7 |
| micro PLA-b-PHSu95/5 | 70.6 | 2.12·10−7 |
| micro PLA-b-PHSu90/10 | 90.8 | 2.15·10−7 |
| micro PLA-b-PHSu80/20 | 97.8 | 1.95·10−7 |
Publisher’s Note: MDPI stays neutral with regard to jurisdictional claims in published maps and institutional affiliations. |
© 2022 by the authors. Licensee MDPI, Basel, Switzerland. This article is an open access article distributed under the terms and conditions of the Creative Commons Attribution (CC BY) license (https://creativecommons.org/licenses/by/4.0/).
Share and Cite
Chrysafi, I.; Nanaki, S.; Zamboulis, A.; Kostoglou, M.; Pavlidou, E.; Bikiaris, D.N. Poly(Lactic Acid) Block Copolymers with Poly(Hexylene Succinate) as Microparticles for Long-Acting Injectables of Risperidone Drug. Polymers 2022, 14, 4111. https://doi.org/10.3390/polym14194111
Chrysafi I, Nanaki S, Zamboulis A, Kostoglou M, Pavlidou E, Bikiaris DN. Poly(Lactic Acid) Block Copolymers with Poly(Hexylene Succinate) as Microparticles for Long-Acting Injectables of Risperidone Drug. Polymers. 2022; 14(19):4111. https://doi.org/10.3390/polym14194111
Chicago/Turabian StyleChrysafi, Iouliana, Stavroula Nanaki, Alexandra Zamboulis, Margaritis Kostoglou, Eleni Pavlidou, and Dimitrios N. Bikiaris. 2022. "Poly(Lactic Acid) Block Copolymers with Poly(Hexylene Succinate) as Microparticles for Long-Acting Injectables of Risperidone Drug" Polymers 14, no. 19: 4111. https://doi.org/10.3390/polym14194111
APA StyleChrysafi, I., Nanaki, S., Zamboulis, A., Kostoglou, M., Pavlidou, E., & Bikiaris, D. N. (2022). Poly(Lactic Acid) Block Copolymers with Poly(Hexylene Succinate) as Microparticles for Long-Acting Injectables of Risperidone Drug. Polymers, 14(19), 4111. https://doi.org/10.3390/polym14194111

