Preparation of Core-Shell-Structured RDX@PVDF Microspheres with Improved Thermal Stability and Decreased Mechanical Sensitivity
Abstract
1. Introduction
2. Experimental
2.1. Materials
2.2. Preparation of Precursor Solution
2.3. Electrospray of RDX@PVDF Microspheres
2.4. Morphology Analysis
2.5. Fourier Transform Infrared Spectroscopy (FTIR) Analysis
2.6. Thermal Characterization
2.7. Characterization of X-ray Diffraction
2.8. Characterization of Impact and Friction Sensitivity
3. Results and Discussion
3.1. Composition and Structure of Samples
3.2. FTIR Spectra Analysis of Samples
3.3. Morphology Characterization of Samples
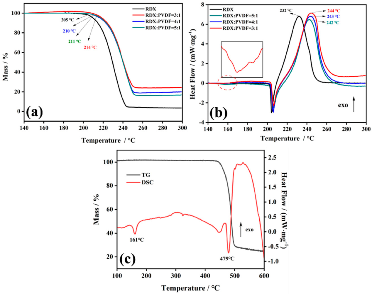
3.4. Thermal Stability of Samples
3.5. Impact and Friction Sensitivity of Samples
4. Conclusions
Author Contributions
Funding
Institutional Review Board Statement
Data Availability Statement
Conflicts of Interest
References
- Luo, Q.; Long, X.; Nie, F.; Liu, G.; Wu, C. Deflagration to detonation transition in weakly confined conditions for a type of potentially novel green primary explosive: Al/Fe2O3/RDX hybrid nanocomposites. Def. Technol. 2021. [Google Scholar] [CrossRef]
- Chen, L.; Li, Q.; Zhao, L.; Nan, F.; Liu, J.; Wang, X.; Chen, F.; Shao, Z.; He, W. Enhancement strategy of mechanical property by constructing of energetic RDX@CNFs composites in propellants, and investigation on its combustion and sensitivity behavior. Combust. Flame 2022, 244, 112249. [Google Scholar] [CrossRef]
- Jangid, S.K.; Singh, M.K.; Solanki, V.J.; Talawar, M.B.; Nath, T.; Sinha, R.K.; Asthana, S. 1,3,5-Trinitroperhydro-1,3,5-triazine (RDX)-Based Sheet Explosive Formulation with a Hybrid Binder System. Propell. Explos. Pyrot. 2016, 41, 377–382. [Google Scholar] [CrossRef]
- Czerski, H.; Proud, W.G. Relationship between the morphology of granular cyclotrimethylene-trinitramine and its shock sensitivity. J. Appl. Phys. 2007, 102, 113515. [Google Scholar] [CrossRef]
- Hua, C.; Zhang, P.; Lu, X.; Huang, M.; Dai, B.; Fu, H. Research on the Size of Defects inside RDX/HMX Crystal and Shock Sensitivity. Propell. Explos. Pyrot. 2013, 38, 775–780. [Google Scholar] [CrossRef]
- Shang, F.; Zhang, J.; Wang, J.; Zhang, X. Preparation of Ultrafine RDX by Solution Enhanced Dispersion Technique of Supercritical Fluids. Chin. J. Energetic Mater. 2014, 1, 43–48. [Google Scholar]
- Chen, L.; Li, Q.; Wang, X.; Zhang, J.; Xu, G.; Cao, X.; Liu, J.; Nan, F.; He, W. Electrostatic spraying synthesis of energetic RDX@NGEC nanocomposites. Chem. Eng. J. 2022, 431, 133718. [Google Scholar] [CrossRef]
- Jia, X.; Wei, L.; Liu, X.; Li, C.; Geng, X.; Fu, M.; Wang, J.; Hou, C.; Xu, J. Fabrication and Characterization of Submicron Scale Spherical RDX, HMX, and CL-20 without Soft Agglomeration. J. Nanomater. 2019, 2019, 7394762. [Google Scholar] [CrossRef]
- Yan, T.; Ren, H.; Liu, J.; Jiao, Q. Facile preparation and synergetic energy releasing of nano-Al@RDX@Viton hollow microspheres. Chem. Eng. J. 2020, 379, 122333. [Google Scholar] [CrossRef]
- Liu, S.; Wu, B.; Xie, J.; Li, Z.; An, C.; Wang, J.; Li, X. Insensitive energetic microspheres DAAF/RDX fabricated by facile molecular self-assembly. Def. Technol. 2021, 17, 1775–1781. [Google Scholar] [CrossRef]
- Yao, J.; Li, B.; Xie, L.; Peng, J. Electrospray Preparation and Properties of RDX/F2604 Composites. J. Energ. Mater. 2017, 36, 223–235. [Google Scholar] [CrossRef]
- Fan, J.; Cai, X.; Chen, H.; Wu, L.; Dong, X.; Zhang, W.; Qiao, Y.; Meng, Z.; Qiu, L. A smart large-scale explosive-responsive amorphous photonic crystal sensor based on color analysis method. Chem. Eng. J. 2022, 446, 136450. [Google Scholar] [CrossRef]
- Jia, X.; Hu, Y.; Xu, L.; Liu, X.; Ma, Y.; Fu, M.; Wang, J.; Xu, J. Preparation and Molecular Dynamics Simulation of RDX/MUF Nanocomposite Energetic Microspheres with Reduced Sensitivity. Processes 2019, 7, 692–706. [Google Scholar] [CrossRef]
- Jia, X.; Xu, L.; Hu, Y.; Li, C.; Geng, X.; Guo, H.; Liu, X.; Tan, Y.; Wang, J. Preparation of agglomeration-free composite energetic microspheres taking PMMA-PVA with honeycomb structure as template via the molecular collaborative self-assembly. J. Energ. Mater. 2020, 39, 182–196. [Google Scholar] [CrossRef]
- Xu, H.; Li, R.; Jiang, X.; Shen, J.; Huang, T.; Yang, G.; Nie, F.; Pei, C. Preparation and Properties of Nano-composite Fiber RDX/NC. Chin. J. Explos. Propellants 2012, 35, 28–31. [Google Scholar]
- Yang, H.; Xie, W.; Wang, H.; Li, Y.; Zhang, W.; Liu, Y.; Song, K.; Fan, X. Preparation and characteristic of NC/RDX nanofibers by electrospinning. Sci. Technol. Energ. Mater. 2020, 81, 142–147. [Google Scholar]
- Shi, X.; Wang, J.; Li, X.; Wang, J. Preparation and Properties of RDX-based Composite Energetic Microspheres. Chin. J. Energ. Mater. 2015, 23, 428–432. [Google Scholar]
- Young, G.; Wilson, D.P.; Kessler, M.; DeLisio, J.B.; Zachariah, M.R. Ignition and Combustion Characteristics of Al/RDX/NC Nanostructured Microparticles. Combust. Sci. Technol. 2020, 193, 2259–2275. [Google Scholar] [CrossRef]
- Fleck, T.J.; Manship, T.D.; Son, S.F.; Rhoads, J.F. Structural Energetic Properties of Al/PVDF Composite Materials Prepared Using Fused Filament Fabrication. Propell. Explos. Pyrot. 2021, 46, 670–678. [Google Scholar] [CrossRef]
- Li, C.; Song, H.; Xu, C.; Li, C.; Jing, J.; Ye, B.; Wang, J.; An, C. Reactivity regulation of B/KNO3/PVDF energetic sticks prepared by direct ink writing. Chem. Eng. J. 2022, 450, 138376. [Google Scholar] [CrossRef]
- Lee, J.H.; Kim, S.J.; Park, J.S.; Kim, J.H. Energetic Al/Fe2O3/PVDF composites for high energy release: Importance of polymer binder and interface. Macromol. Res. 2016, 24, 909–914. [Google Scholar] [CrossRef]
- Xiao, L.; Zhao, L.; Ke, X.; Zhang, T.; Hao, G.; Hu, Y.; Zhang, G.; Guo, H.; Jiang, W. Energetic metastable Al/CuO/PVDF/RDX microspheres with enhanced combustion performance. Chem. Eng. Sci. 2021, 231, 116302. [Google Scholar] [CrossRef]
- Valluri, S.K.; Schoenitz, M.; Dreizin, E. Fluorine-containing oxidizers for metal fuels in energetic formulations. Def. Technol. 2019, 15, 1–22. [Google Scholar] [CrossRef]
- Ke, X.; Zhang, W.; Zhang, D.; Xiao, L.; Hao, G.; Jiang, W.; Chen, J. Preparation and Properties Analysis of Al/PVDF Energetic Microspheres. Chin. J. Explos. Propellants 2021, 44, 865–872. [Google Scholar]
- Li, X.; Sun, H.; Yang, Y.; Song, C.; Liu, H.; Wang, J. Preparation and Dispersion Stability of Spray-drying Precursor Nano-Al Suspension. Chin. J. Energetic Mater. 2020, 28, 773–778. [Google Scholar]
- Xu, W.; Deng, J.; Liang, X.; Wang, J.; Li, H.; Guo, F.; Li, Y.; Yan, T.; Wang, J. Comparison of the effects of several binders on the combination properties of cyclotrimethylene trinitramine (RDX). Sci. Technol. Energ. Mater. 2021, 82, 29–37. [Google Scholar]
- Lu, M.; Chen, Y.; Luo, Y.; Tan, H. Preparation of waterborne polyurethane latex and study on its cladding of RDX. J. Propuls. Technol. 2005, 26, 89–92. [Google Scholar]
- Li, J.; Jiao, Q.; Ren, H.; Li, D. Preparation of NC-BA-RDX coating ball particles by means of layer-to-layer assembly technique. J. Solid Rocket. Technol. 2008, 31, 247–261. [Google Scholar]
- Wang, X.; Jiao, Q. Preparation and Application of Micron/Nanometer Energetic Film Materials. Chin. J. Energetic Mater. 2006, 14, 139–141. [Google Scholar]
- Zhang, J.; Zhang, J.; Wang, B.; Liu, S.; Zhang, T.; Zhou, D. Technology of Ultra-fine RDX Coating with Rapid Expansion of Supercritical Solution Method. Chin. J. Energetic Mater. 2011, 19, 147–151. [Google Scholar]
- Han, Z.; Wang, D.; Wang, H.; Henkes, C. Electrospray formation of RDX/ceria mixture and its thermal decomposition performance. J. Therm. Anal. Calorim. 2015, 123, 449–455. [Google Scholar] [CrossRef]
- Chen, L.; Ru, C.; Zhang, H.; Zhang, Y.; Chi, Z.; Wang, H.; Li, G. Assembling Hybrid Energetic Materials with Controllable Interfacial Microstructures by Electrospray. Acs Omega 2021, 6, 16816–16825. [Google Scholar] [CrossRef] [PubMed]
- Nakaso, K.; Han, B.; Ahn, K.H.; Choi, M.; Okuyama, K. Synthesis of non-agglomerated nanoparticles by an electrospray assisted chemical vapor deposition (ES-CVD) method. J. Aerosol. Sci. 2003, 34, 869–881. [Google Scholar] [CrossRef]
- Cheng, L.; Yang, H.; Yang, Y.; Li, Y.; Meng, Y.; Li, Y.; Song, D.; Chen, H.; Artiaga, R. Preparation of B/Nitrocellulose/Fe particles and their effect on the performance of an ammonium perchlorate propellant. Combust. Flame 2020, 211, 456–464. [Google Scholar] [CrossRef]
- Liu, B.; Liu, S.; Zhang, Y.; Wang, Q.; Wang, F.; Li, D.; Liu, G. Research Progress in Reducing Sensitivity Technique of RDX. Chem. Propellants Polym. Mater. 2012, 10, 67–70. [Google Scholar]








| Samples | Mass Ratio of RDX/PVDF | RDX (mg) | PVDF (mg) | Acetone (mL) | DMF (mL) |
|---|---|---|---|---|---|
| 1 | 3:1 | 195 | 65 | 6 | 2 |
| 2 | 4:1 | 208 | 52 | 6 | 2 |
| 3 | 5:1 | 217 | 43 | 6 | 2 |
| Samples | Loading Force/N | Explosion Probability |
|---|---|---|
| RDX | 360 | 73% |
| 324 | 52% | |
| RDX@NC | 360 | 100% |
| 324 | 100% | |
| RDX@PVDF (5:1) | 360 | 0 |
| RDX@PVDF (4:1) | 360 | 0 |
| RDX@PVDF (3:1) | 360 | 0 |
| Samples | Explosion Probability |
|---|---|
| RDX | 100% |
| RDX@NC | 100% |
| RDX@PVDF (5:1) | 38% |
| RDX@PVDF (4:1) | 32% |
| RDX@PVDF (3:1) | 21% |
Publisher’s Note: MDPI stays neutral with regard to jurisdictional claims in published maps and institutional affiliations. |
© 2022 by the authors. Licensee MDPI, Basel, Switzerland. This article is an open access article distributed under the terms and conditions of the Creative Commons Attribution (CC BY) license (https://creativecommons.org/licenses/by/4.0/).
Share and Cite
Wu, H.; Jiang, A.; Li, M.; Wang, Y.; Zhao, F.; Li, Y. Preparation of Core-Shell-Structured RDX@PVDF Microspheres with Improved Thermal Stability and Decreased Mechanical Sensitivity. Polymers 2022, 14, 4262. https://doi.org/10.3390/polym14204262
Wu H, Jiang A, Li M, Wang Y, Zhao F, Li Y. Preparation of Core-Shell-Structured RDX@PVDF Microspheres with Improved Thermal Stability and Decreased Mechanical Sensitivity. Polymers. 2022; 14(20):4262. https://doi.org/10.3390/polym14204262
Chicago/Turabian StyleWu, Hulin, Aifeng Jiang, Mengru Li, Yanyan Wang, Fangchao Zhao, and Yanchun Li. 2022. "Preparation of Core-Shell-Structured RDX@PVDF Microspheres with Improved Thermal Stability and Decreased Mechanical Sensitivity" Polymers 14, no. 20: 4262. https://doi.org/10.3390/polym14204262
APA StyleWu, H., Jiang, A., Li, M., Wang, Y., Zhao, F., & Li, Y. (2022). Preparation of Core-Shell-Structured RDX@PVDF Microspheres with Improved Thermal Stability and Decreased Mechanical Sensitivity. Polymers, 14(20), 4262. https://doi.org/10.3390/polym14204262
