Energetic Polyoxetanes as High-Performance Binders for Energetic Composites: A Critical Review
Abstract
1. Introduction
2. New Trends in the Synthesis of Energetic Oxetane Polymers
2.1. Synthesis of Polyoxetanes via Mesylate Precursors
2.2. Development of New Energetic Oxetane Monomers
3. Copolymers Bearing Energetic Oxetane Repeat Units
3.1. Copolymers of Energetic Oxetanes with Energetic Systems
3.2. Copolymers of Energetic Oxetanes with Non-Energetic Systems
4. Curing and Modification of Energetic Oxetane Polymers and Copolymers
5. Properties and Structure of Energetic Oxetane Polymers and Copolymers
5.1. Thermal Properties and Thermally-Induced Decomposition
5.2. Spectroscopic Investigation of Chemical Structures of Polyoxetane EBs
6. Applications
7. Discussion and Future Outlook
Author Contributions
Funding
Institutional Review Board Statement
Informed Consent Statement
Data Availability Statement
Conflicts of Interest
Abbreviations
| GAP | Poly(glycidyl azide) |
| HTPB | Hydroxyl-terminated polybutadiene |
| P(4-VP) | Poly(4-vinylpyridinium) |
| PAA | Poly(allyl azide) |
| PBAN | Butadiene-acrylonitrile-acrylic acid terpolymer |
| PE | Polyethylene |
| PEO | Poly(ethylene oxide) |
| PMMA | Poly(methyl methacrylate) |
| Poly(GLYN) | Poly(glycidyl nitrate) |
| PVC | Poly(vinyl chloride) |
| PVT | Poly(vinyl tetrazole) |
| PS | Polystyrene |
References
- Paul, A.E. Binder for Burning Compositions. U.S. Patent 1,388,501, 23 August 1921. [Google Scholar]
- Faal, M.; Mahyari, M.; Hosseini, S.G.; Tavangar, S.; Zarei, M.A. Synthesis of HAZPMA-g-PHPGN as a well-defined energetic binder: Experimental and computational approaches. Mater. Today Commun. 2021, 28, 102601. [Google Scholar] [CrossRef]
- Dou, J.; Xu, M.; Tan, B.; Lu, X.; Mo, H.; Wang, B.; Liu, N. Research Progress of Nitrate Ester Binders. FirePhysChem 2022. [CrossRef]
- Szala, M. Polymer-bonded secondary explosives. Mater. Wysokoenergetyczne 2021, 13, 5–16. [Google Scholar] [CrossRef]
- Quagliano Amado, J.C.; Ross, P.G.; Mattos Silva Murakami, L.; Narciso Dutra, J.C. Properties of Hydroxyl-Terminal Polybutadiene (HTPB) and Its Use as a Liner and Binder for Composite Propellants: A Review of Recent Advances. Propellants Explos. Pyrotech. 2022, 47, e202100283. [Google Scholar] [CrossRef]
- Burke, B.; Heller, H.; Hoffsommer, J.; Kamlet, M.; Rich, R.; Stosz, M. New Energetic Binders for Solid Propellant Applications; Technical Report; Naval Ordnance Lab: White Oak, MD, USA, 1962. [Google Scholar]
- Jenkins, J.H.P.; Moshier, R.W.; Cadle, R.D. Polyvinylpyridinium Perchlorates. U.S. Patent 2,989,390, 20 June 1961. [Google Scholar]
- Zhang, Q.; Shu, Y.; Liu, N.; Lu, X.; Shu, Y.; Wang, X.; Mo, H.; Xu, M. Hydroxyl terminated polybutadiene: Chemical modification and application of these modifiers in propellants and explosives. Cent. Eur. J. Energetic Mater. 2019, 16, 153–193. [Google Scholar] [CrossRef]
- Geetha, M.; Nair, U.; Sarwade, D.; Gore, G.; Asthana, S.; Singh, H. Studies on CL-20: The most powerful high energy material. J. Therm. Anal. Calorim. 2003, 73, 913–922. [Google Scholar] [CrossRef]
- Wu, Y.; Luo, Y.; Ge, Z. Properties and Application of a Novel Type of Glycidyl Azide Polymer (GAP)-Modified Nitrocellulose Powders. Propellants Explos. Pyrotech. 2015, 40, 67–73. [Google Scholar] [CrossRef]
- Ma, Y.; Liu, Y.; Yu, T.; Lai, W.; Ge, Z.; Jiang, Z. Pendant Chains Are Not Just Decorations: Investigation of Structure-Property Relationships of Azido Oxetane Polymers. Propellants Explos. Pyrotech. 2018, 43, 170–176. [Google Scholar] [CrossRef]
- Yang, J.; Gong, X.; Wang, G. Compatibility and mechanical properties of BAMO–AMMO/DIANP composites: A molecular dynamics simulation. Comput. Mater. Sci. 2015, 102, 1–6. [Google Scholar] [CrossRef]
- Miyazaki, T.; Kubota, N. Energetics of BAMO. Propellants Explos. Pyrotech. 1992, 17, 5–9. [Google Scholar] [CrossRef]
- Cheradame, H.; Andreolety, J.P.; Rousset, E. Synthesis of polymers containing pseudohalide groups by cationic polymerization, 1. Homopolymerization of 3, 3-bis (azidomethyl) oxetane and its copolymerization with 3-chloromethyl-3-(2, 5, 8-trioxadecyl) oxetane. Die Makromol. Chem. Macromol. Chem. Phys. 1991, 192, 901–918. [Google Scholar] [CrossRef]
- Ang, H.G.; Pisharath, S. Energetic Polymers: Binders and Plasticizers for Enhancing Performance; John Wiley & Sons: Hoboken, NJ, USA, 2012. [Google Scholar]
- Kubota, N. Combustion of energetic azide polymers. J. Propuls. Power 1995, 11, 677–682. [Google Scholar] [CrossRef]
- Selim, K.; Özkar, S.; Yilmaz, L. Thermal characterization of glycidyl azide polymer (GAP) and GAP-based binders for composite propellants. J. Appl. Polym. Sci. 2000, 77, 538–546. [Google Scholar] [CrossRef]
- Reddy, T.; Nair, J.; Satpute, R.; Wagh, R.; Sikder, A.; Venugopalan, S. Bis (azidomethyl) oxetane/hydroxyl-terminated polybutadiene/bis (azidomethyl) oxetane triblock copolymer: Synthesis and characterization. J. Appl. Polym. Sci. 2007, 106, 1885–1888. [Google Scholar] [CrossRef]
- Hsiue, G.H.; Liu, Y.L.; Chiu, Y.S. Triblock copolymers based on cyclic ethers: Preparation and properties of tetrahydrofuran and 3, 3-bis (azidomethyl) oxetane triblock copolymers. J. Polym. Sci. Part A Polym. Chem. 1994, 32, 2155–2159. [Google Scholar] [CrossRef]
- Kawasaki, H.; Anan, T.; Kimura, E.; Oyumi, Y. BAMO/NMMO copolymer with polyester initiation. Propellants Explos. Pyrotech. 1997, 22, 87–92. [Google Scholar] [CrossRef]
- Kawamoto, A.M.; Holanda, J.S.; Barbieri, U.; Polacco, G.; Keicher, T.; Krause, H.; Kaiser, M. Synthesis and Characterization of Glycidyl Azide-r-(3, 3-bis (azidomethyl) oxetane) Copolymers. Propellants Explos. Pyrotech. Int. J. Deal. Sci. Technol. Asp. Energetic Mater. 2008, 33, 365–372. [Google Scholar] [CrossRef]
- Kempa, T.J.; Barton, Z.M.; Cunliffe, A.V. Mechanism of the thermal degradation of prepolymeric poly (3-nitratomethyl-3-methyloxetane). Polymer 1999, 40, 65–93. [Google Scholar] [CrossRef]
- Bunyan, P. An investigation of the thermal decomposition of poly (3-nitratomethyl-3-methyloxetane). Thermochim. Acta 1992, 207, 147–159. [Google Scholar] [CrossRef]
- Garaev, I.K.; Kostochko, A.; Petrov, A.; Ibragimov, E.; Golubev, A. Synthesis of azidooxetane statistical polymers and copolymers. Russ. J. Gen. Chem. 2016, 86, 1459–1468. [Google Scholar] [CrossRef]
- Xu, B.; Lin, Y.; Chien, J.C. Energetic ABA and (AB) n thermoplastic elastomers. J. Appl. Polym. Sci. 1992, 46, 1603–1611. [Google Scholar] [CrossRef]
- Mura, C.; Fruci, S.; Lamia, P.; Cappello, M.; Filippi, S.; Polacco, G. Synthesis of GAP and PAMMO homopolymers from mesylate polymeric precursors. J. Energetic Mater. 2016, 34, 216–233. [Google Scholar] [CrossRef]
- Wang, G.; Ge, Z.; Luo, Y. Synthesis and Characterization of Poly (3-azidomethyl-3-methyl oxetane) by the Azidation of Poly (3-mesyloxymethyl-3-methyl oxetane). Propellants Explos. Pyrotech. 2015, 40, 920–926. [Google Scholar] [CrossRef]
- Fischer, N.; Klapötke, T.M.; Stierstorfer, J.; Wiedemann, C. 1-Nitratoethyl-5-nitriminotetrazole derivatives–Shaping future high explosives. Polyhedron 2011, 30, 2374–2386. [Google Scholar] [CrossRef]
- Koldobskii, G.; Ostrovskii, V.; Popavskii, V. Advances in the chemistry of tetrazoles. Chem. Heterocycl. Compd. 1981, 17, 965–988. [Google Scholar] [CrossRef]
- Reddy, T.; Nair, J.; Satpute, R.; Gore, G.; Sikder, A. Rheological studies on energetic thermoplastic elastomers. J. Appl. Polym. Sci. 2010, 118, 2365–2368. [Google Scholar] [CrossRef]
- Zhang, G.; Chen, G.; Li, J.; Sun, S.; Luo, Y.; Li, X. High azide content hyperbranched star copolymer as energetic materials. Ind. Eng. Chem. Res. 2018, 57, 13962–13972. [Google Scholar] [CrossRef]
- Pisharath, S.; Ang, H.G. Synthesis and thermal decomposition of GAP–Poly (BAMO) copolymer. Polym. Degrad. Stab. 2007, 92, 1365–1377. [Google Scholar] [CrossRef]
- Barbieri, U.; Keicher, T.; Polacco, G. Homo-and copolymers of 3-tosyloxymethyl-3-methyl oxetane (TMMO) as precursors to energetic azido polymers. e-Polymers 2009, 9. [Google Scholar] [CrossRef]
- Li, H.; Pan, J.; Wang, W.; Pan, R.; Zhu, W. Preparation, characterization and compatibility studies of poly (DFAMO/AMMO). J. Macromol. Sci. Part A 2018, 55, 135–141. [Google Scholar] [CrossRef]
- Li, H.; Pan, R.M.; Wang, W.J.; Zhang, L.Y. Synthesis and Characterization of 3-Difluoroaminomethyl-3-methyl Oxetane and its Homopolymer. Appl. Mech. Mater. 2014, 628, 28–32. [Google Scholar]
- Li, H.; Yang, Y.; Pan, J.; Wang, W.; Pan, R.; Zhu, W. Synthesis, Characterization and Compatibility Studies of Poly (DFAMO/NIMMO) with Propellant and PBX Ingredients. Cent. Eur. J. Energetic Mater. 2018, 15, 85–99. [Google Scholar] [CrossRef]
- Archibald, T.G.; Manser, G.E.; Immoos, J.E. Difluoroamino Oxetanes and Polymers Formed Therefrom for Use in Energetic Formulations. U.S. Patent 5,272,249, 21 December 1993. [Google Scholar]
- Li, H.; Pan, R.; Wang, W.; Zhang, L. Thermal Decomposition, Kinetics and Compatibility Studies of Poly (3-difluoroaminomethyl-3-methyloxetane)(PDFAMO). Propellants Explos. Pyrotech. 2014, 39, 819–829. [Google Scholar] [CrossRef]
- Desai, H.J.; Cunliffe, A.V.; Hamid, J.; Honey, P.J.; Stewart, M.J.; Amass, A.J. Synthesis and characterization of α, ω-hydroxy and nitrato telechelic oligomers of 3, 3-(nitratomethyl) methyl oxetane (NIMMO) and glycidyl nitrate (GLYN). Polymer 1996, 37, 3461–3469. [Google Scholar] [CrossRef]
- Kimura, E.; Oyumi, Y.; Kawasaki, H.; Maeda, Y.; Anan, T. Characterization of BAMO/NMMO copolymers. Propellants Explos. Pyrotech. 1994, 19, 270–275. [Google Scholar] [CrossRef]
- Akhavan, J.; Koh, E.; Waring, S.; Kronfli, E. Effect of UV and thermal radiation on polyNIMMO. Polymer 2001, 42, 7711–7718. [Google Scholar] [CrossRef]
- Gołofit, T.; Zyśk, K. Thermal decomposition properties and compatibility of CL-20 with binders HTPB, PBAN, GAP and polyNIMMO. J. Therm. Anal. Calorim. 2015, 119, 1931–1939. [Google Scholar] [CrossRef]
- Yang, Z.; Long, X.-P.; Zeng, Q.-X. Simulation study on the liquid-crystalline ordering and fluidity of energetic diblock copolymers based on poly [3, 3-bis (azidomethyl) oxetane]. J. Appl. Polym. Sci. 2013, 129, 2772–2778. [Google Scholar] [CrossRef]
- Talukder, M.A.; Lindsay, G.A. Synthesis and the preliminary analysis of block copolymers of 3, 3’-bis (azidomethyl)-oxetane and 3-nitratomethyl-3’-methyloxetane. J. Polym. Sci. Part A Polym. Chem. 1990, 28, 2393–2401. [Google Scholar] [CrossRef]
- Dong, Q.; Li, H.; Liu, X.; Huang, C. Thermal and rheological properties of PGN, PNIMMO and P (GN/NIMMO) synthesized via mesylate precursors. Propellants Explos. Pyrotech. 2018, 43, 294–299. [Google Scholar] [CrossRef]
- Wang, G.; Luo, Y. Characterization of P (BAMO/AMMO) ETPE prepared using different diisocyanates. Propellants Explos. Pyrotech. 2016, 41, 850–854. [Google Scholar] [CrossRef]
- Tang, G.; Zhang, Z.; Li, X.; Luo, Y. BAMO-THF copolymer-based energetic thermoplastic polyurethanes with a decent bonding property. Energetic Mater. Front. 2021, 2, 32–39. [Google Scholar] [CrossRef]
- Hsiue, G.H.; Liu, Y.L.; Chiu, Y.S. Tetrahydrofuran and 3, 3-bis (chloromethyl) oxetane triblock copolymers synthesized by two-end living cationic polymerization. J. Polym. Sci. Part A Polym. Chem. 1993, 31, 3371–3375. [Google Scholar] [CrossRef]
- Liu, Y.L.; Hsiue, G.H.; Chiu, Y.S. Studies on the polymerization mechanism of 3-nitratomethyl-3’-methyloxetane and 3-azidomethyl-3’-methyloxetane and the synthesis of their respective triblock copolymers with tetrahydrofuran. J. Polym. Sci. Part A Polym. Chem. 1995, 33, 1607–1613. [Google Scholar] [CrossRef]
- Nair, J.; Satpute, R.; Polke, B.; Mukundan, T.; Asthana, S.; Singh, H. Synthesis and characterisation of bis-azido methyl oxetane and its polymer and copolymer with tetrahydrofuran. Def. Sci. J. 2002, 52, 147. [Google Scholar] [CrossRef]
- Reddy, T.; Jayakumar, K.; Nair, J.; Satpute, R.; Mukundan, T. Synthesis and Characterisation of Bis-(chloromethyl) Oxetane, its Homopolymer and Copolymer with Tetrahydrofuran. Def. Sci. J. 2006, 56, 399. [Google Scholar] [CrossRef][Green Version]
- Wang, X.; Shu, Y.; Lu, X.; Mo, H.; Xu, M. Synthesis and characterization of PolyNIMMO-HTPB-polyNIMMO triblock copolymer as a potential energetic binder. Cent. Eur. J. Energetic Mater. 2018, 15, 456–467. [Google Scholar] [CrossRef]
- Wang, X.; Li, P.; Lu, X.; Mo, H.; Xu, M.; Liu, N.; Shu, Y. Synthesis and Curing of Allyl Urethane NIMMO-THF Copolyether with Three Functional Groups as a Potential Energetic Binder. Cent. Eur. J. Energetic Mater. 2020, 17, 142–163. [Google Scholar] [CrossRef]
- Zhang, Q.; Liu, N.; Xu, M.h.; Ma, L.; Lu, X.m.; Shu, Y.j.; Wang, X.c. PolyNIMMO-HTPE-polyNIMMO triblock copolymer as a potential energetic binder: Synthesis and characterization. Eur. Polym. J. 2019, 119, 514–522. [Google Scholar] [CrossRef]
- Qu, Z.; Zhai, J.; Yang, R. Comparison between properties of polyether polytriazole elastomers and polyether polyurethane elastomers. Polym. Adv. Technol. 2014, 25, 314–321. [Google Scholar] [CrossRef]
- Katritzky, A.R.; Meher, N.K.; Hanci, S.; Gyanda, R.; Tala, S.R.; Mathai, S.; Duran, R.S.; Bernard, S.; Sabri, F.; Singh, S.K.; et al. Preparation and characterization of 1, 2, 3-triazole-cured polymers from endcapped azides and alkynes. J. Polym. Sci. Part A Polym. Chem. 2008, 46, 238–256. [Google Scholar] [CrossRef]
- Manzara, A.P. Azido Polymers Having Improved Burn Rate. U.S. Patent 5,681,904, 28 October 1997. [Google Scholar]
- Hwang, K.; Mun, H.; Jung, J.Y.; Cho, H.L.; Kim, S.J.; Min, B.S.; Jeon, H.B.; Kim, W. Nitramine-group-containing energetic prepolymer: Synthesis, and its properties as a binder for propellant. Polymers 2019, 11, 1966. [Google Scholar] [CrossRef] [PubMed]
- Malkoch, M.; Vestberg, R.; Gupta, N.; Mespouille, L.; Dubois, P.; Mason, A.F.; Hedrick, J.L.; Liao, Q.; Frank, C.W.; Kingsbury, K.; et al. Synthesis of well-defined hydrogel networks using Click chemistry. Chem. Commun. 2006, 2774–2776. [Google Scholar] [CrossRef]
- WOLFGANG, H.B. Click chemistry in polymer and materials science. Macromol. Rapid Commun. 2007, 28, 15–54. [Google Scholar]
- Li, H.; Zhao, F.; Yu, Q.; Wang, B.; Lu, X. A comparison of triazole cross-linked polymers based on poly-AMMO and GAP: Mechanical properties and curing kinetics. J. Appl. Polym. Sci. 2016, 133. [Google Scholar] [CrossRef]
- Kim, H.; Jang, Y.; Noh, S.; Jeong, J.; Kim, D.; Kang, B.; Kang, T.; Choi, H.; Rhee, H. Ecofriendly synthesis and characterization of carboxylated GAP copolymers. RSC Adv. 2018, 8, 20032–20038. [Google Scholar] [CrossRef]
- Lim, M.; Bu, M.; Jang, Y.; Jeong, J.; Noh, S.; Rhee, H. Synthesis and characterization of carboxylated PBAMO copolymers as promising prepolymers for energetic binders. RSC Adv. 2020, 10, 8967–8972. [Google Scholar] [CrossRef]
- Shee, S.K.; Shah, P.N.; Athar, J.; Dey, A.; Soman, R.; Sikder, A.K.; Pawar, S.; Banerjee, S. Understanding the Compatibility of the Energetic Binder PolyNIMMO with Energetic Plasticizers: Experimental and DFT Studies. Propellants Explos. Pyrotech. 2017, 42, 167–174. [Google Scholar] [CrossRef]
- Chang, T.; Wu, K.; Chen, H.; Ho, S.; Chiu, Y. Thermal degradation of aged polytetrahydrofuran and its copolymers with 3-azidomethyl-3’-methyloxetane and 3-nitratomethyl-3’-methyloxetane by thermogravimetry. J. Polym. Sci. Part A Polym. Chem. 1996, 34, 3337–3343. [Google Scholar] [CrossRef]
- Liu, Y.L.; Hsiue, G.H.; Chiu, Y.S. Thermal characteristics of energetic polymers based on tetrahydrofuran and oxetane derivatives. J. Appl. Polym. Sci. 1995, 58, 579–586. [Google Scholar] [CrossRef]
- Wang, G.; Ge, Z.; Luo, Y. Thermal decomposition kinetics of poly (3, 3’-bisazidomethyl oxetane-3-azidomethyl-3’-methyl oxetane). J. Therm. Anal. Calorim. 2015, 122, 1515–1523. [Google Scholar] [CrossRef]
- Diaz, E.; Brousseau, P.; Ampleman, G.; Prud’homme, R.E. Heats of combustion and formation of new energetic thermoplastic elastomers based on GAP, PolyNIMMO and PolyGLYN. Propellants Explos. Pyrotech. Int. J. Deal. Sci. Technol. Asp. Energetic Mater. 2003, 28, 101–106. [Google Scholar] [CrossRef]
- de Oliveira, J.I.S.; Diniz, M.F.; Kawamoto, A.M.; Dutra, R.C.; Keicher, T. MIR/NIR/FIR Characterization of Poly-AMMO and Poly-BAMO and their Precursors as Energetic Binders to be Used in Solid Propellants. Propellants Explos. Pyrotech. Int. J. Deal. Sci. Technol. Asp. Energetic Mater. 2006, 31, 395–400. [Google Scholar] [CrossRef]
- Oyumi, Y.; Brill, T. Thermal decomposition of energetic materials 12. Infrared spectral and rapid thermolysis studies of azide-containing monomers and polymers. Combust. Flame 1986, 65, 127–135. [Google Scholar] [CrossRef]
- Nair, J.; Reddy, T.; Satpute, R.; Mukundan, T.; Asthana, S. Synthesis and characterization of energetic thermoplastic elastomers (ETPEs) based on 3, 3-bis (azidomethyl) oxetane (BAMO)-3-azidomethyl-3-methyloxetane (AMMO) copolymers. J. Polym. Mater. 2004, 21, 205–212. [Google Scholar]
- Leach, C.; Debenham, D.; Kelly, J.; Gillespie, K. Advances in polyNIMMO composite gun propellants. Propellants Explos. Pyrotech. 1998, 23, 313–316. [Google Scholar] [CrossRef]
- Xu, R.; Li, Z.; Chen, Y.; Pei, J.; Zhang, J. Enthalpy of Formation of p (BAMO)-b-GAP and Energetic Characteristics of Solid Propellants Based on the Copolymer. Propellants Explos. Pyrotech. 2021, 46, 969–974. [Google Scholar] [CrossRef]
- Kawamoto, A.M.; Diniz, M.F.; Lourenço, V.L.; Takahashi, M.F.K.; Keicher, T.; Krause, H.; Menke, K.; Kempa, P.B. Synthesis and characterization of GAP/BAMO copolymers applied at high energetic composite propellants. J. Aerosp. Technol. Manag. 2010, 2, 307–322. [Google Scholar] [CrossRef][Green Version]
- Barbieri, U.; Polacco, G.; Keicher, T.; Massimi, R. Preliminary characterization of propellants based on p (GA/BAMO) and pAMMO binders. Propellants Explos. Pyrotech. Int. J. Deal. Sci. Technol. Asp. Energetic Mater. 2009, 34, 427–435. [Google Scholar] [CrossRef]














| Molar Ratio (BAMO:AMMO) | Molecular Weight (Mn; Mw) | Dispersity Index | Hydroxyl Value [mg KOH] | TG [C] | Melting Point [C] |
|---|---|---|---|---|---|
| 80:20 | 3431; 5200 | 1.5 | 32 | −36 | 56 |
| 50:50 | 1200; 1600 | 1.3 | 93 | −43 | 41 |
| 20:80 | 3064; 4475 | 1.46 | 36 | −51 | 9 |
| Molar Ratio (BAMO:AMMO) | TMEASURE [C] | Storage Modulus [Pa] | Crossover Frequency [Hz] | Viscosity [cPs] | |
| 80:20 | 75 | 2.6 × 1012 | 17 | 1000 (solid at RT) | |
| 50:50 | 50 | 8.8 × 1013 | 7 | 20,000 | |
| 20:80 | 30 | 3.73 × 1013 | 17 | 10,400 | |
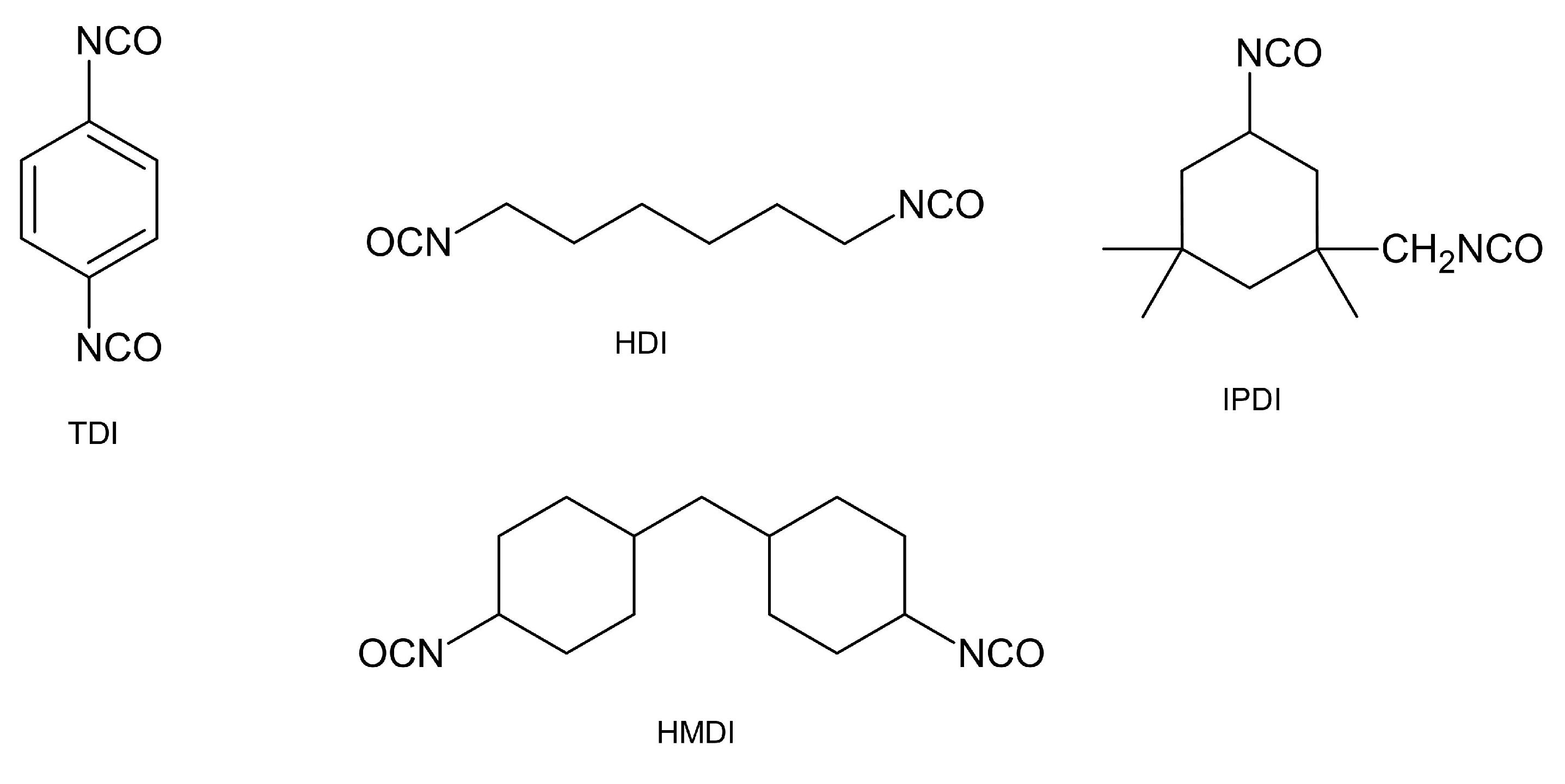
| Utilised Diisocyanate | m [MPa] | b [%] |
|---|---|---|
| HDI | 4.04 | 289 |
| TDI | 5.24 | 390 |
| IPDI | 4.96 | 375 |
| HMDI | 4.71 | 312 |
| Polymer/Copolymer | K2CO3:NaN3 [% mol.] | Yield | MW [g/mol] | MN [g/mol] | Dispersity Index | TG [C] | TDEC [C] |
|---|---|---|---|---|---|---|---|
| poly(BAMO) | - | - | 2460 | 2030 | 1.21 | −37 | 211 |
| Poly(BAMO-butyrate) | 80:20 | 92 | 2720 | 2080 | 1.30 | −43 | 233 |
| Poly(BAMO-octanoate) | 80:20 | 90 | 2910 | 2390 | 1.22 | −47 | 237 |
| Poly(BAMO-decanoate) | 80:20 | 91 | 2980 | 2440 | 1.22 | −51 | 237 |
| Co-Monomer | TG RC 1 [C] | TG BC 2 [C] | Polymer TDEC 3 [C] | Monomer TDEC 3 [C] | |
|---|---|---|---|---|---|
| THF | −75 | - | - | - | - |
| BAMO | −23 | −76 | −8 | 242 | 160 |
| AMMO | −41 | −70 | −32 | 202 | 139 |
| NIMMO | −28 | −68 | −19 | 132 | 113 |
| BEMO | −44 | −72 | −40 | - | - |
Publisher’s Note: MDPI stays neutral with regard to jurisdictional claims in published maps and institutional affiliations. |
© 2022 by the authors. Licensee MDPI, Basel, Switzerland. This article is an open access article distributed under the terms and conditions of the Creative Commons Attribution (CC BY) license (https://creativecommons.org/licenses/by/4.0/).
Share and Cite
Lysien, K.; Stolarczyk, A.; Jarosz, T. Energetic Polyoxetanes as High-Performance Binders for Energetic Composites: A Critical Review. Polymers 2022, 14, 4651. https://doi.org/10.3390/polym14214651
Lysien K, Stolarczyk A, Jarosz T. Energetic Polyoxetanes as High-Performance Binders for Energetic Composites: A Critical Review. Polymers. 2022; 14(21):4651. https://doi.org/10.3390/polym14214651
Chicago/Turabian StyleLysien, Kinga, Agnieszka Stolarczyk, and Tomasz Jarosz. 2022. "Energetic Polyoxetanes as High-Performance Binders for Energetic Composites: A Critical Review" Polymers 14, no. 21: 4651. https://doi.org/10.3390/polym14214651
APA StyleLysien, K., Stolarczyk, A., & Jarosz, T. (2022). Energetic Polyoxetanes as High-Performance Binders for Energetic Composites: A Critical Review. Polymers, 14(21), 4651. https://doi.org/10.3390/polym14214651

