Development of a Novel Friction Model for Machining Simulations in Unidirectional Composite Materials
Abstract
:1. Introduction
2. Experimental Work
2.1. Setup and Procedure
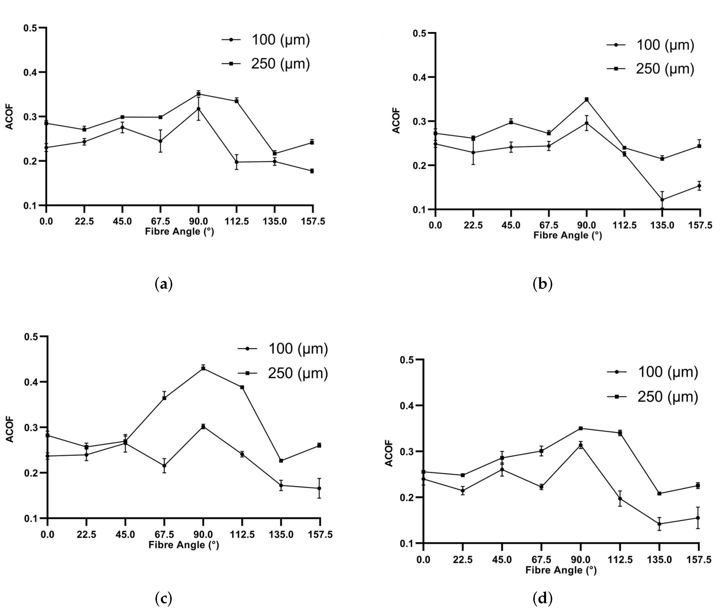
2.2. Experimental Results
3. Numerical Work
3.1. Introduction
3.2. Material Model
- Fibre traction
- Fibre compression
- Matrix Mode A in ply
- Matrix Mode B in ply
- Matrix Mode C in ply
- Matrix traction in thickness direction
- Matrix compression in thickness direction
3.3. Inverse Modelling Friction Separation
3.4. Finite Element and Friction Modelling
3.5. Empirical Friction Model
3.6. GUI Tangential Behaviour
3.7. VFRIC and VFRICTION Subroutine
4. Numerical Pressure Measurements and Conversion
5. Dynamic Friction Implementation

6. Results and Discussion
7. Conclusions
- This novel CFRP/WC dynamic frictional model and novel implementation yielded a more accurate force response for each fibre angle studied.
- The dynamic friction model was shown to over predict 2% at 100 m and under predict 4% at 250 m, which should improve with more data to the tune friction model, compared with an average 10% when using a constant value.
- Velocity changes have a much greater effect on the contact friction model than pressure.
- A limitation of this study is that it does not account for temperature effects in both the experimental trial and numerical domain.
- 90° showed the least comparison for both dynamic and constant approaches.
Author Contributions
Funding
Institutional Review Board Statement
Informed Consent Statement
Data Availability Statement
Acknowledgments
Conflicts of Interest
References
- Cepero-Mejías, F.; Curiel-Sosa, J.; Zhang, C.; Phadnis, V. Effect of cutter geometry on machining induced damage in orthogonal cutting of UD polymer composites: FE study. Compos. Struct. 2019, 214, 439–450. [Google Scholar] [CrossRef]
- Shetty, N.; Shahabaz, S.M.; Sharma, S.S.; Divakara Shetty, S. A review on finite element method for machining of composite materials. Compos. Struct. 2017, 176, 790–802. [Google Scholar] [CrossRef]
- Cepero-Mejias, F.; Duboust, N.; Phadnis, V.A.; Kerrigan, K.; Curiel-Sosa, J.L. A novel finite element method approach in the modelling of edge trimming of CFRP laminates. Appl. Sci. 2021, 11, 4743. [Google Scholar] [CrossRef]
- Hashin, Z.; Liu, K.; Lewis, F.; Lebret, G.; Taylor, D.; Kawai, M.; Morishita, M.; Tomura, S.; Takumida, K.; Zhang, J.Z.J.; et al. Failure Criteria for Unidirectional FibreComposites. Compos. Sci. Technol. 2015, 69, 683–706. [Google Scholar] [CrossRef]
- Puck, A.; Deuschle, H.M. Progress in the Puck Failure Theory for Fibre Reinforced Composites: Analytical solutions for 3D-stress. Compos. Sci. Technol. 2002, 62, 371–378. [Google Scholar] [CrossRef]
- Lapczyk, I.; Hurtado, J.A. Progressive damage modeling in fiber-reinforced materials. Compos. Part A Appl. Sci. Manuf. 2007, 38, 2333–2341. [Google Scholar] [CrossRef]
- Priest, J.; Ghadbeigi, H.; Ayvar-Soberanis, S.; Liljerehn, A. Effects of coefficient of friction coupled with a deformation dependent friction model in cutting simulations. Procedia CIRP 2021, 102, 429–434. [Google Scholar] [CrossRef]
- Filice, L.; Micari, F.; Rizzuti, S.; Umbrello, D. A critical analysis on the friction modelling in orthogonal machining. Int. J. Mach. Tools Manuf. 2007, 47, 709–714. [Google Scholar] [CrossRef]
- Haglund, A.J.; Kishawy, H.A.; Rogers, R.J. An exploration of friction models for the chip-tool interface using an Arbitrary Lagrangian-Eulerian finite element model. Wear 2008, 265, 452–460. [Google Scholar] [CrossRef]
- Cepero-Mejías, F.; Curiel-Sosa, J.L.; Blázquez, A.; Yu, T.T.; Kerrigan, K.; Phadnis, V.A. Review of recent developments and induced damage assessment in the modelling of the machining of long fibre reinforced polymer composites. Compos. Struct. 2020, 240. [Google Scholar] [CrossRef]
- Santiuste, C.; Soldani, X.; Miguélez, M.H. Machining FEM model of long fiber composites for aeronautical components. Compos. Struct. 2010, 92, 691–698. [Google Scholar] [CrossRef] [Green Version]
- Lafaye, S.; Gauthier, C.; Schirrer, R. The ploughing friction: Analytical model with elastic recovery for a conical tip with a blunted spherical extremity. Tribol. Lett. 2006, 21, 95–99. [Google Scholar] [CrossRef]
- Nayak, D.; Bhatnagar, N.; Mahajan, P. Machining studies of ud-frp composites part 2: Finite element analysis. Mach. Sci. Technol. 2005, 9, 503–528. [Google Scholar] [CrossRef]
- Nak-Ho, S.; Suh, N.P. Effect of fiber orientation on friction and wear of fiber reinforced polymeric composites. Wear 1979, 53, 129–141. [Google Scholar] [CrossRef]
- Mkaddem, A.; El Mansori, M. Finite element analysis when machining UGF-reinforced PMCs plates: Chip formation, crack propagation and induced-damage. Mater. Des. 2009, 30, 3295–3302. [Google Scholar] [CrossRef]
- Bhatnagar, N.; Nayak, D.; Singh, I.; Chouhan, H.; Mahajan, P. Determination of machining-induced damage characteristics of fiber reinforced plastic composite laminates. Mater. Manuf. Process. 2004, 19, 1009–1023. [Google Scholar] [CrossRef]
- Wang, D.H.; Ramulu, M.; Arola, D. Orthogonal cutting mechanisms of graphite/epoxy composite. Part I: Unidirectional laminate. Int. J. Mach. Tools Manuf. 1995, 35, 1623–1638. [Google Scholar] [CrossRef]
- Arola, D.; Sultan, M.B.; Ramulu, M. Finite Element Modeling of Edge Trimming Fiber Reinforced Plastics. J. Manuf. Sci. Eng. 2002, 124, 32. [Google Scholar] [CrossRef]
- Lasri, L.; Nouari, M.; El Mansori, M. Modelling of chip separation in machining unidirectional FRP composites by stiffness degradation concept. Compos. Sci. Technol. 2009, 69, 684–692. [Google Scholar] [CrossRef]
- Santiuste, C.; Díaz-Álvarez, J.; Soldani, X.; Miguélez, H. Modelling thermal effects in machining of carbon fiber reinforced polymer composites. J. Reinf. Plast. Compos. 2014, 33, 758–766. [Google Scholar] [CrossRef] [Green Version]
- Zenia, S.; Ben Ayed, L.; Nouari, M.; Delamézière, A. Numerical analysis of the interaction between the cutting forces, induced cutting damage, and machining parameters of CFRP composites. Int. J. Adv. Manuf. Technol. 2015, 78, 465–480. [Google Scholar] [CrossRef]
- Benhassine, M.; Rivière-Lorphèvre, E.; Arrazola, P.J.; Gobin, P.; Dumas, D.; Madhavan, V.; Aizpuru, O.; Ducobu, F. 2D simulations of orthogonal cutting of CFRP: Effect of tool angles on parameters of cut and chip morphology. AIP Conf. Proc. 2018, 1960. [Google Scholar] [CrossRef] [Green Version]
- Challen, J.M.; Oxley, P.L. An explanation of the different regimes of friction and wear using asperity deformation models. Wear 1979, 53, 229–243. [Google Scholar] [CrossRef]
- Mondelin, A.; Furet, B.; Rech, J. Characterisation of friction properties between a laminated carbon fibres reinforced polymer and a monocrystalline diamond under dry or lubricated conditions. Tribol. Int. 2010, 43, 1665–1673. [Google Scholar] [CrossRef]
- Wang, X.M.; Zhang, L.C. An experimental investigation into the orthogonal cutting of unidirectional fibre reinforced plastics. Int. J. Mach. Tools Manuf. 2003, 43, 1015–1022. [Google Scholar] [CrossRef]
- Klinkova, O.; Rech, J.; Bergheau, J.M.; Drapier, S. Characterization of friction properties at the workmaterial/cutting tool interface during the machining of randomly structured carbon fibers reinforced polymer with carbide tools under dry conditions. Tribol. Int. 2011, 44, 2050–2058. [Google Scholar] [CrossRef]
- Chardon, G.; Klinkova, O.; Rech, J.; Drapier, S.; Bergheau, J.M. Characterization of friction properties at the work material/cutting tool interface during the machining of randomly structured carbon fibers reinforced polymer with Poly Crystalline Diamond tool under dry conditions. Tribol. Int. 2015, 81, 300–308. [Google Scholar] [CrossRef]
- Zemzemi, F.; Pasteur, L.; Koch, R. New tribometer designed for the characterisation of the friction properties at the tool/chip/workpiece interfaces in machining. Tribotest 2008, 74, 535–546. [Google Scholar] [CrossRef]
- Cepero-Mejías, F.; Phadnis, V.A.; Kerrigan, K.; Curiel-Sosa, J.L. A finite element assessment of chip formation mechanisms in the machining of CFRP laminates with different fibre orientations. Compos. Struct. 2021, 268, 113966. [Google Scholar] [CrossRef]
- Cepero-Mejias, F.; Curiel-Sosa, J.; Kerrigan, K.; Phadnis, V. Chip formation in machining of unidirectional carbon fibre reinforced polymer laminates: FEM based assessment. Procedia CIRP 2019, 85, 302–307. [Google Scholar] [CrossRef]
- Cepero-Mejías, F.; Curiel-Sosa, J.; Kerrigan, K.; Phadnis, V. Study of the machining induced damage in UD-CFRP laminates with 28th CIRP fibre Study of the machining induced damage in UD-CFRP laminates with various orientations: FE fibre orientations: FE assessment A new me. Procedia CIRP 2020, 87, 366–371. [Google Scholar] [CrossRef]
- Cepero-Mejias, F.; Phadnis, V.A.; Curiel-sosa, J.L. Machining induced damage in orthogonal cutting of UD composites: FEA based assessment of Hashin and Puck criteria. CIRP Conf. Model. Mach. Oper. 2019, 82, 332–337. [Google Scholar] [CrossRef]
- Paris Carballo, F.; Cañas, J.; Marín, J. Introduction to Analysis and Design with Composite Materials; University of Seville, Higher Technical School of Engineers: Sevilla, Spain, 2008; p. 241. [Google Scholar]
- Klocke, F.; Trauth, D.; Shirobokov, A.; Mattfeld, P. FE-analysis and in situ visualization of pressure-, slip-rate-, and temperature-dependent coefficients of friction for advanced sheet metal forming: Development of a novel coupled user subroutine for shell and continuum discretization. Int. J. Adv. Manuf. Technol. 2015, 81, 397–410. [Google Scholar] [CrossRef]












| Authors | Publication Date | ACOF Used |
|---|---|---|
| Ramulu et al. [17] | 1997 | 0.4 |
| Arola et al. [18] | 2002 | 0.4 |
| Bhatnagar et al. [16] | 2014 | N/A |
| Mkaddem et al. [15] | 2008 | 0.3 |
| Lasri et al. [19] | 2009 | 0.5 |
| Santiuste et al. [11] | 2010 | 0.5 |
| Santiuste et al. [20] | 2011 | 0.5 |
| Zenia et al. [21] | 2015 | 0.4 |
| Benhassine et al. [22] | 2018 | 0.3 |
| Cepero et al. [1] | 2019 | 0.2 |
| R2 | ||||
|---|---|---|---|---|
| 0 | 0.2803690 | −0.0015720 | −0.0012253 | 0.93 |
| 22.5 | 0.1644200 | 0.0050902 | −0.0006417 | 0.837 |
| 45 | 0.0974485 | −0.0004083 | 0.0001334 | 0.905 |
| 67.5 | 0.3047650 | −0.0053778 | −0.0006111 | 0.905 |
| 90 | 0.1211090 | 0.0130631 | −0.0003668 | 0.738 |
| 112.5 | 0.1763290 | −0.0039313 | 0.0008020 | 0.679 |
| 135 | 0.1679290 | −0.0069309 | 0.0006020 | 0.837 |
| 157.5 | 0.1060290 | 0.0018082 | 0.0007306 | 0.949 |
| N/mm | ||||||
|---|---|---|---|---|---|---|
| 100 | 100 | 1 | 1 | 1 | 1 |
| R2 | ||||
|---|---|---|---|---|
| 0 | 0.052488 | 0.006025 | 0.0003908 | 0.847 |
| 22.5 | 0.197959 | −0.001155 | −0.000634 | 0.793 |
| 45 | 0.240492 | −0.005277 | −0.000341 | 0.786 |
| 67.5 | 0.18297 | 0.007671 | −0.000392 | 0.466 |
| 90 | 0.149911 | 0.013133 | −0.000753 | 0.715 |
| 112.5 | 0.081576 | −0.001422 | 0.0008751 | 0.634 |
| 135 | 0.156666 | 0.014112 | −0.000684 | 0.689 |
| 157.5 | 0.075583 | 0.000894 | 0.000419 | 0.7111 |
| FN VFRI | FN CON | FT VFRI | FT CON | ACOF VFRIC | ACOF CON | |
|---|---|---|---|---|---|---|
| 0 | −5% | 0% | −2% | −8% | −5% | −8% |
| 22.5 | 1% | −3% | −3% | −10% | −2% | −9% |
| 45 | 4% | −19% | −4% | −18% | −9% | −54% |
| 67.5 | 4% | −19% | −4% | −18% | −9% | −54% |
| 90 | 7% | 48% | −2% | 138% | 11% | 166% |
| 112.5 | 8% | −22% | −12% | −32% | 9% | −19% |
| 135 | 12% | −39% | −35% | −61% | −6% | −53% |
| 157.5 | 10% | −23% | −28% | −35% | −36% | −39% |
| Ranges | ||||||
| 0–90 | 2% | 1% | −3% | 16% | −2% | 14% |
| 112.5–157 | 10% | −28% | −25% | −43% | −11% | −37% |
Publisher’s Note: MDPI stays neutral with regard to jurisdictional claims in published maps and institutional affiliations. |
© 2022 by the authors. Licensee MDPI, Basel, Switzerland. This article is an open access article distributed under the terms and conditions of the Creative Commons Attribution (CC BY) license (https://creativecommons.org/licenses/by/4.0/).
Share and Cite
Seward, O.; Cepero-Mejías, F.; Fairclough, J.P.A.; Kerrigan, K. Development of a Novel Friction Model for Machining Simulations in Unidirectional Composite Materials. Polymers 2022, 14, 847. https://doi.org/10.3390/polym14050847
Seward O, Cepero-Mejías F, Fairclough JPA, Kerrigan K. Development of a Novel Friction Model for Machining Simulations in Unidirectional Composite Materials. Polymers. 2022; 14(5):847. https://doi.org/10.3390/polym14050847
Chicago/Turabian StyleSeward, Oscar, Fernando Cepero-Mejías, J. Patrick A. Fairclough, and Kevin Kerrigan. 2022. "Development of a Novel Friction Model for Machining Simulations in Unidirectional Composite Materials" Polymers 14, no. 5: 847. https://doi.org/10.3390/polym14050847
APA StyleSeward, O., Cepero-Mejías, F., Fairclough, J. P. A., & Kerrigan, K. (2022). Development of a Novel Friction Model for Machining Simulations in Unidirectional Composite Materials. Polymers, 14(5), 847. https://doi.org/10.3390/polym14050847

