Study on Thermal-Oxidative Aging Properties of Ethylene-Propylene-Diene Monomer Composites Filled with Silica and Carbon Nanotubes
Abstract
:1. Introduction
2. Materials and Methods
2.1. Materials
2.2. Sample Preparation
2.3. Measurements
3. Results and Discussion
3.1. Microstructure of CNTs
3.2. Mechanical Properties of EPDM Composites
3.3. Microstructure of Tensile Fractured Surface for EPDM Composites
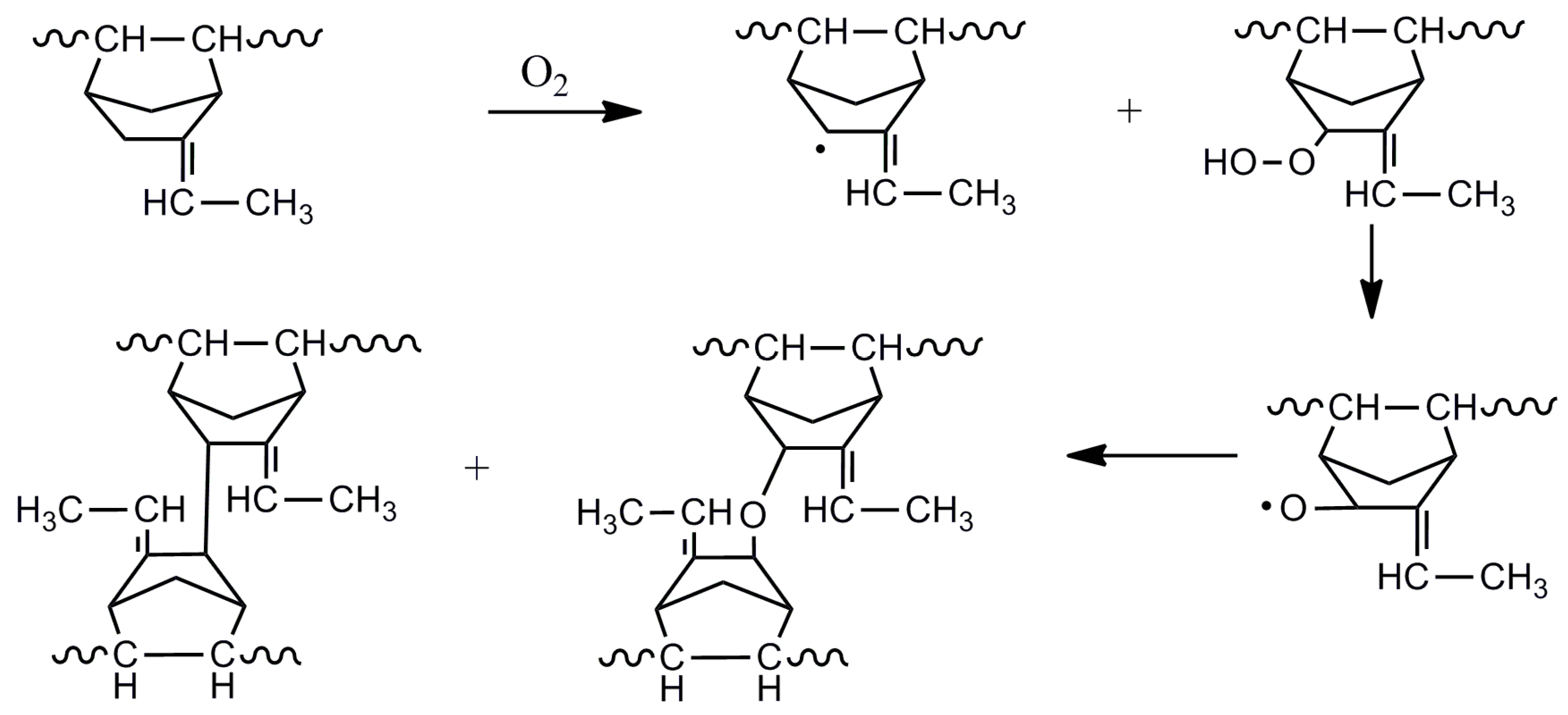
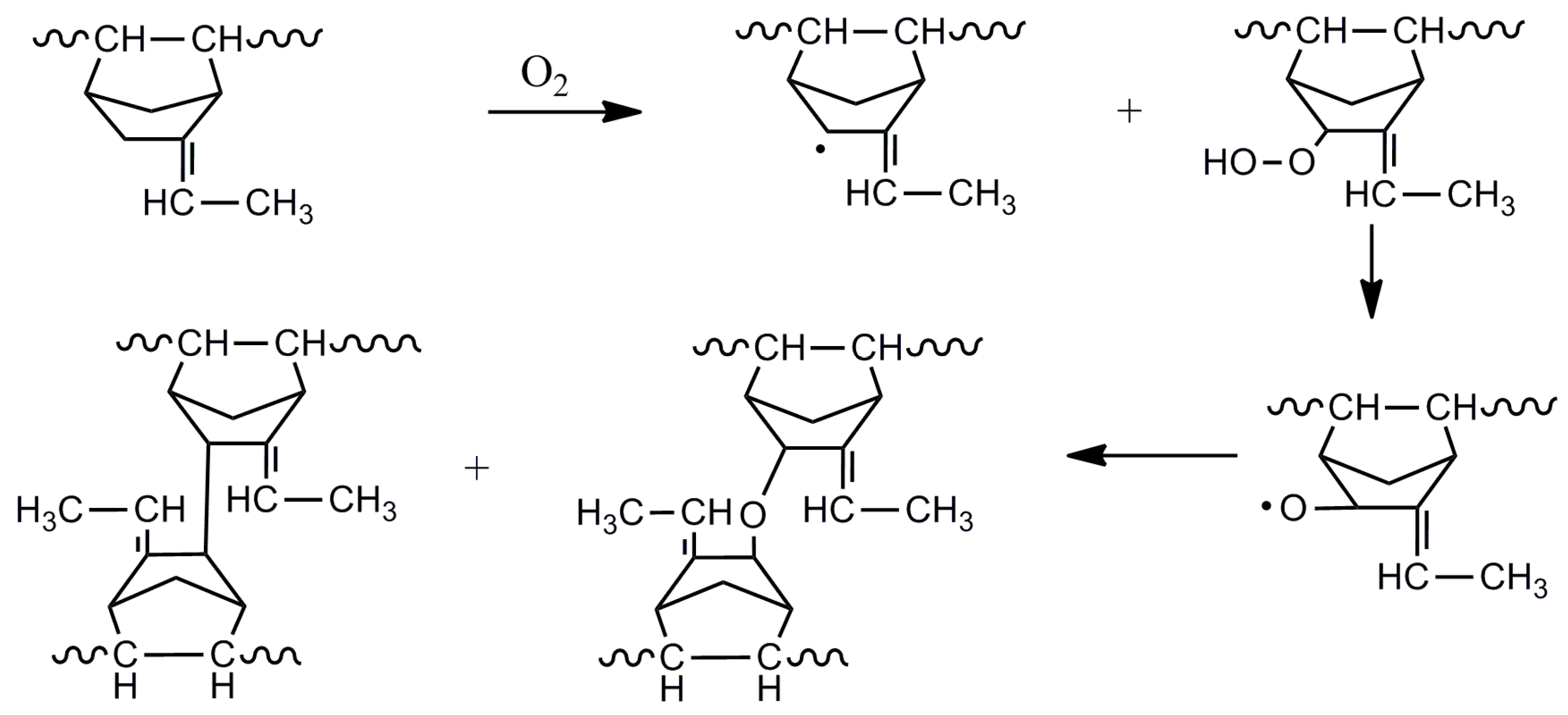
3.4. Aging Performance of EPDM Composites
3.5. Microstructure of Tensile Fractured Surface for Aged EPDM Composites
3.6. Crosslinking Density of EPDM Composites
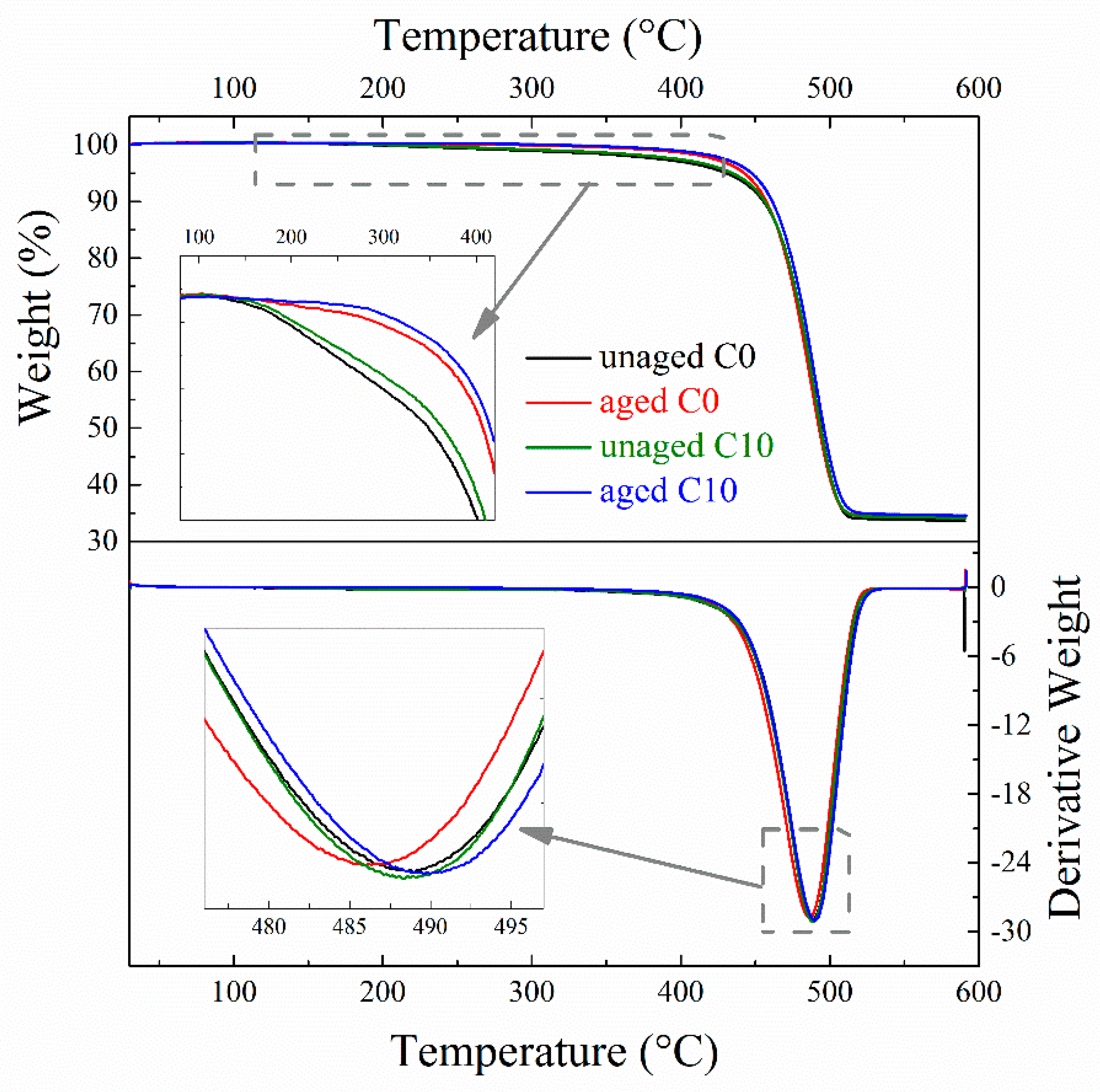
3.7. Thermal Stability of EPDM Composites
4. Conclusions
Author Contributions
Funding
Institutional Review Board Statement
Informed Consent Statement
Data Availability Statement
Conflicts of Interest
References
- Colombani, J.; Sidi, A.; Larché, J.-F.; Taviot-Gueho, C.; Rivaton, A. Thermooxidative degradation of crosslinked EVA/EPDM copolymers: Impact of Aluminium TriHydrate (ATH) filler incorporation. Polym. Degrad. Stabil. 2018, 153, 130–144. [Google Scholar] [CrossRef]
- He, S.J.; Lin, Y.K.; Chen, L.; Cao, S.Q.; Lin, J.; Du, X.Z. Improvement in thermal conductivity and mechanical properties of ethylene-propylene-diene monomer rubber by expanded graphite. Polym. Compos. 2017, 38, 870–876. [Google Scholar] [CrossRef]
- Baferani, M.A.; Wu, C.; Cao, Y. Charge transport and space charge dynamics in EPDM/2D-nanoclay composite dielectrics. Compos. Sci. Technol. 2022, 219, 109241. [Google Scholar] [CrossRef]
- Sarac, T.; Quievy, N.; Gusarov, A.; Konstantinovic, M.J. Influence of gamma-irradiation and temperature on the mechanical properties of EPDM cable insulation. Radiat. Phys. Chem. 2016, 125, 151–155. [Google Scholar] [CrossRef]
- Li, Z.Y.; Sun, W.F.; Zhao, H. Significantly Improved Electrical Properties of Photo-Initiated Auxiliary Crosslinking EPDM Used for Cable Termination. Polymers 2019, 11, 2083. [Google Scholar] [CrossRef] [PubMed] [Green Version]
- Pourmand, P.; Hedenqvist, M.S.; Furo, I.; Gedde, U.W. Deterioration of highly filled EPDM rubber by thermal ageing in air: Kinetics and non-destructive monitoring. Polym. Test. 2017, 64, 267–276. [Google Scholar] [CrossRef]
- Li, Z.H.; Chen, S.J.; Zhang, J.; Shi, D.Q. Influence of different antioxidants on cure kinetics and aging behaviours of ethylene propylene diene rubber/low density polyethylene blends. Plast. Rubber Compos. 2009, 38, 187–194. [Google Scholar] [CrossRef]
- Ning, N.; Ma, Q.; Zhang, Y.; Zhang, L.; Wu, H.; Tian, M. Enhanced thermo-oxidative aging resistance of EPDM at high temperature by using synergistic antioxidants. Polym. Degrad. Stabil. 2014, 102, 1–8. [Google Scholar] [CrossRef]
- Luo, Y.; Wang, J.-P.; Cui, X.; Fu, Y.; Li, G.L.; Wang, W. Surface-modified mesoporous silica nanorods for the highly aging resistance rubber through controlled release of antioxidant. Polym. Adv. Technol. 2021, 32, 3384–3391. [Google Scholar] [CrossRef]
- Sun, Y.; Huang, J.; He, J.; Tang, Z.; Zhu, L.; Liu, F. Effects of a novel hindered phenol samarium complex on the thermo-oxidative aging of styrene-butadiene rubber/silica composites. Polym. Degrad. Stabil. 2021, 185, 109482. [Google Scholar] [CrossRef]
- Yang, H.; Zhang, H.; Cheng, H.; Shentu, B. Effect of nano-TiO2 immobilized antioxidant on ageing resistance behavior of thermoplastic vulcanizate exposed to UV/O3. Polym. Degrad. Stabil. 2018, 155, 95–102. [Google Scholar] [CrossRef]
- Subramaniam, K.; Das, A.; Heinrich, G. Improved oxidation resistance of conducting polychloroprene composites. Compos. Sci. Technol. 2013, 74, 14–19. [Google Scholar] [CrossRef]
- Zhang, X.; Zhang, Q.; Zheng, J. Effect and mechanism of iron oxide modified carbon nanotubes on thermal oxidative stability of silicone rubber. Compos. Sci. Technol. 2014, 99, 1–7. [Google Scholar] [CrossRef]
- Fu, Y.; Zhao, D.; Yao, P.; Wang, W.; Zhang, L.; Lvov, Y. Highly Aging-Resistant Elastomers Doped with Antioxidant-Loaded Clay Nanotubes. ACS Appl. Mater. Inter. 2015, 7, 8156–8165. [Google Scholar] [CrossRef] [PubMed]
- Fu, Y.; Yang, C.; Lvov, Y.M.; Zhang, L.; Wang, W. Antioxidant sustained release from carbon nanotubes for preparation of highly aging resistant rubber. Chem. Eng. J. 2017, 328, 536–545. [Google Scholar] [CrossRef]
- He, S.J.; He, T.F.; Wang, J.Q.; Wu, X.H.; Xue, Y.; Zhang, L.Q.; Lin, J. A novel method to prepare acrylonitrile-butadiene rubber/clay nanocomposites by compounding with clay gel. Compos. Part B Eng. 2019, 167, 356–361. [Google Scholar] [CrossRef]
- Kausar, A. A review of fundamental principles and applications of polymer nanocomposites filled with both nanoclay and nano-sized carbon allotropes—Graphene and carbon nanotubes. J. Plast. Film. Sheet. 2019, 36, 209–228. [Google Scholar] [CrossRef]
- He, S.J.; Wang, J.Q.; Hu, J.B.; Zhou, H.F.; Nguyen, H.; Luo, C.M.; Lin, J. Silicone rubber composites incorporating graphitic carbon nitride and modified by vinyl tri-methoxysilane. Polym. Test. 2019, 79, 106005–106010. [Google Scholar] [CrossRef]
- Surya, I.; Muniyadi, M.; Ismail, H. A review on clay-reinforced ethylene propylene diene terpolymer composites. Polym. Compos. 2021, 42, 1698–1711. [Google Scholar] [CrossRef]
- Xue, Y.; Li, X.F.; Zhang, D.H.; Wang, H.S.; Chen, Y.; Chen, Y.F. Comparison of ATH and SiO2 fillers filled silicone rubber composites for HTV insulators. Compos. Sci. Technol. 2018, 155, 137–143. [Google Scholar] [CrossRef]
- Chen, L.; Pang, X.; Kang, Y. Comparison between the effects of partial replacement of carbon black by carbon nanotubes and graphene on the performances of natural rubber composites. J. Appl. Polym. Sci. 2022, 139, e51837. [Google Scholar] [CrossRef]
- He, S.J.; Wang, Y.Q.; Xi, M.M.; Lin, J.; Xue, Y.; Zhang, L.Q. Prevention of oxide aging acceleration by nano-dispersed clay in styrene-butadiene rubber matrix. Polym. Degrad. Stabil. 2013, 98, 1773–1779. [Google Scholar] [CrossRef]
- Li, H.; Cheng, K.; Zhang, Z.; Zhao, L.; Zhou, H.; Wang, H.; Li, Z. Effect of carbon nanotubes on aging properties of hydrogenated nitrile rubber in the dilute oxygen medium. J. Macromol. Sci. A 2021. [Google Scholar] [CrossRef]
- Neelesh, A.; Vidhyashree, S.; Meera, B. The influence of MWCNT and hybrid (MWCNT/nanoclay) fillers on performance of EPDM-CIIR blends in nuclear applications: Mechanical, hydrocarbon transport, and gamma-radiation aging characteristics. J. Appl. Polym. Sci. 2020, 137, e49271. [Google Scholar] [CrossRef]
- Poikelispaa, M.; Das, A.; Dierkes, W.; Vuorinen, J. The effect of partial replacement of carbon black by carbon nanotubes on the properties of natural rubber/butadiene rubber compound. J. Appl. Polym. Sci. 2013, 130, 3153–3160. [Google Scholar] [CrossRef]
- Han, S.W.; Choi, N.S.; Ryu, S.R.; Lee, D.J. Mechanical property behavior and aging mechanism of carbon-black-filled EPDM rubber reinforced by carbon nano-tubes subjected to electro-chemical and thermal degradation. J. Mech. Sci. Technol. 2017, 31, 4073–4078. [Google Scholar] [CrossRef]
- Ismail, N.I.N.; Ansarifar, M.A.; Song, M. Improving Heat Ageing and Thermal Properties of Silicone Rubber Using Montmorillonite Clay. J. Appl. Polym. Sci. 2014, 131, 41061. [Google Scholar] [CrossRef] [Green Version]
- Cadambi, R.M.; Ghassemieh, E. The ageing behaviour of hydrogenated nitrile butadiene rubber/nanoclay nanocomposites in various mediums. J. Elastom. Plast. 2012, 44, 353–367. [Google Scholar] [CrossRef]
- He, S.J.; Bai, F.J.; Liu, S.X.; Ma, H.F.; Hu, J.B.; Chen, L.; Lin, J.; Wei, G.S.; Du, X.Z. Aging properties of styrene-butadiene rubber nanocomposites filled with carbon black and rectorite. Polym. Test. 2017, 64, 92–100. [Google Scholar] [CrossRef]
- Ata, S.; Tomonoh, S.; Yamda, T.; Hata, K. Improvement in thermal durability of fluorinated rubber by the addition of single-walled carbon nanotubes as a thermally stable radical scavenger. Polymer 2017, 119, 112–117. [Google Scholar] [CrossRef]
- Guan, Y.; Yang, R.; Huang, Y.; Yu, C.; Li, X.; Wei, D.; Xu, X. Multi-walled carbon nanotubes acting as antioxidant for fluorosilicone rubber. Polym. Degrad. Stabil. 2018, 156, 161–169. [Google Scholar] [CrossRef]
- Xu, X.; You, Y.; Liu, X.; Wei, D.; Guan, Y.; Zheng, A. Experimental and density functional theory investigations on the antioxidant mechanism of carbon nanotubes. Carbon 2021, 177, 189–198. [Google Scholar] [CrossRef]
- Shimizu, T.; Kishi, R.; Kobashi, K.; Morimoto, T.; Okazaki, T.; Yamada, T.; Hata, K. Improved thermal stability of silicone rubber nanocomposites with low filler content, achieved by well-dispersed carbon nanotubes. Compos. Commun. 2020, 22, 100482. [Google Scholar] [CrossRef]
- Wang, M.; Wang, R.; Chen, X.; Kong, Y.; Huang, Y.; Lv, Y.; Li, G. Effect of non-rubber components on the crosslinking structure and thermo-oxidative degradation of natural rubber. Polym. Degrad. Stabil. 2022, 196, 109845. [Google Scholar] [CrossRef]
- Wang, C.; Li, P.; Zong, Y.; Zhang, Y.; Li, S.; Wei, F. A high efficiency particulate air filter based on agglomerated carbon nanotube fluidized bed. Carbon 2014, 79, 424–431. [Google Scholar] [CrossRef]
- Lu, Y.; Liu, J.; Hou, G.; Ma, J.; Wang, W.; Wei, F.; Zhang, L. From nano to giant? Designing carbon nanotubes for rubber reinforcement and their applications for high performance tires. Compos. Sci. Technol. 2016, 137, 94–101. [Google Scholar] [CrossRef]
- Ku, B.K.; Birch, M.E. Aerosolization and characterization of carbon nanotube and nanofiber materials: Relationship between aerosol properties and bulk density. J. Aerosol Sci. 2019, 127, 38–48. [Google Scholar] [CrossRef]
- Ma, P.C.; Siddiqui, N.A.; Marom, G.; Kim, J.K. Dispersion and functionalization of carbon nanotubes for polymer-based nanocomposites: A review. Compos. Part A Appl. Sci. Manuf. 2010, 41, 1345–1367. [Google Scholar] [CrossRef]
- Wang, Z.; Liu, J.; Wu, S.; Wang, W.; Zhang, L. Novel percolation phenomena and mechanism of strengthening elastomers by nanofillers. Phys. Chem. Chem. Phys. 2010, 12, 3014–3030. [Google Scholar] [CrossRef]
- He, S.J.; Hu, J.B.; Zhang, C.; Wang, J.Q.; Chen, L.; Bian, X.M.; Lin, J.; Du, X.Z. Performance improvement in nano-alumina filled silicone rubber composites by using vinyl tri-methoxysilane. Polym. Test. 2018, 67, 295–301. [Google Scholar] [CrossRef]
- Liao, Y.F.; Weng, Y.X.; Wang, J.Q.; Zhou, H.F.; Lin, J.; He, S.J. Silicone rubber composites with high breakdown strength and low dielectric loss based on polydopamine coated mica. Polymers 2019, 11, 2030–2038. [Google Scholar] [CrossRef] [PubMed] [Green Version]
- Bouguedad, D.; Mekhaldi, A.; Jbara, O.; Rondot, S.; Hadjadj, A.; Douglade, J.; Dony, P. Physico-Chemical Study of Thermally Aged EPDM Used in Power Cables Insulation. IEEE Trans. Dielectr. Electr. Insul. 2015, 22, 3207–3215. [Google Scholar] [CrossRef]








| Sample | C0 | C2 | C4 | C8 | C10 |
|---|---|---|---|---|---|
| EPDM | 100 | 100 | 100 | 100 | 100 |
| Silica | 40 | 38 | 36 | 32 | 30 |
| CNT | 0 | 2 | 4 | 8 | 10 |
| ZnO | 8 | 8 | 8 | 8 | 8 |
| MgO | 4 | 4 | 4 | 4 | 4 |
| 4010NA a | 2 | 2 | 2 | 2 | 2 |
| TAIC b | 2 | 2 | 2 | 2 | 2 |
| DCP c | 4.5 | 4.5 | 4.5 | 4.5 | 4.5 |
| Properties | C0 | C2 | C4 | C8 | C10 |
|---|---|---|---|---|---|
| Hardness (Shore A) | 66 | 71 | 72 | 74 | 75 |
| Stress at 100% strain (MPa) | 1.7 | 2.5 | 3.4 | 4.8 | 6.5 |
| Elongation at break (%) | 863 | 748 | 568 | 382 | 328 |
| Tensile strength (MPa) | 19.8 | 19.9 | 18.3 | 16.0 | 16.5 |
| Sample | T5% (°C) | Tmax (°C) | Residue Mass (%) |
|---|---|---|---|
| unaged C0 | 430.8 ± 1.2 | 488.5 ± 0.2 | 33.6 ± 0.2 |
| aged C0 | 442.7 ± 1.1 | 486.0 ± 0.3 | 34.3 ± 0.3 |
| unaged C10 | 434.6 ± 0.9 | 488.3 ± 0.3 | 34.1 ± 0.2 |
| aged C10 | 447.6 ± 1.0 | 489.6 ± 0.4 | 34.5 ± 0.1 |
Publisher’s Note: MDPI stays neutral with regard to jurisdictional claims in published maps and institutional affiliations. |
© 2022 by the authors. Licensee MDPI, Basel, Switzerland. This article is an open access article distributed under the terms and conditions of the Creative Commons Attribution (CC BY) license (https://creativecommons.org/licenses/by/4.0/).
Share and Cite
Zhang, X.; Li, J.; Chen, Z.; Pang, C.; He, S.; Lin, J. Study on Thermal-Oxidative Aging Properties of Ethylene-Propylene-Diene Monomer Composites Filled with Silica and Carbon Nanotubes. Polymers 2022, 14, 1205. https://doi.org/10.3390/polym14061205
Zhang X, Li J, Chen Z, Pang C, He S, Lin J. Study on Thermal-Oxidative Aging Properties of Ethylene-Propylene-Diene Monomer Composites Filled with Silica and Carbon Nanotubes. Polymers. 2022; 14(6):1205. https://doi.org/10.3390/polym14061205
Chicago/Turabian StyleZhang, Xiaoming, Jian Li, Zilong Chen, Ce Pang, Shaojian He, and Jun Lin. 2022. "Study on Thermal-Oxidative Aging Properties of Ethylene-Propylene-Diene Monomer Composites Filled with Silica and Carbon Nanotubes" Polymers 14, no. 6: 1205. https://doi.org/10.3390/polym14061205
APA StyleZhang, X., Li, J., Chen, Z., Pang, C., He, S., & Lin, J. (2022). Study on Thermal-Oxidative Aging Properties of Ethylene-Propylene-Diene Monomer Composites Filled with Silica and Carbon Nanotubes. Polymers, 14(6), 1205. https://doi.org/10.3390/polym14061205

