Topology and Sequence-Dependent Micellization and Phase Separation of Pluronic L35, L64, 10R5, and 17R4: Effects of Cyclization and the Chain Ends
Abstract
:1. Introduction
2. Materials and Methods
2.1. Materials
2.2. Nuclear Magnetic Resonance Spectroscopy
2.3. Size Exclusion Chromatography
2.4. Preparative SEC
2.5. Synthesis of Cyclized Polymers
2.6. Synthesis of Chain-End Methylated Polymers
2.7. Preparation of Pluronic Copolymer Solutions
2.8. Critical Micelle Temperature (TCMT) by Dye Solubilization
2.9. Cloud Point (Tc) Measurement
2.10. Dynamic Light Scattering (DLS)
3. Results and Discussions
3.1. Preparation of Sample Polymers and Their Solutions
3.2. Critical Micellization Temperature (TCMT) by Dye Solubilization
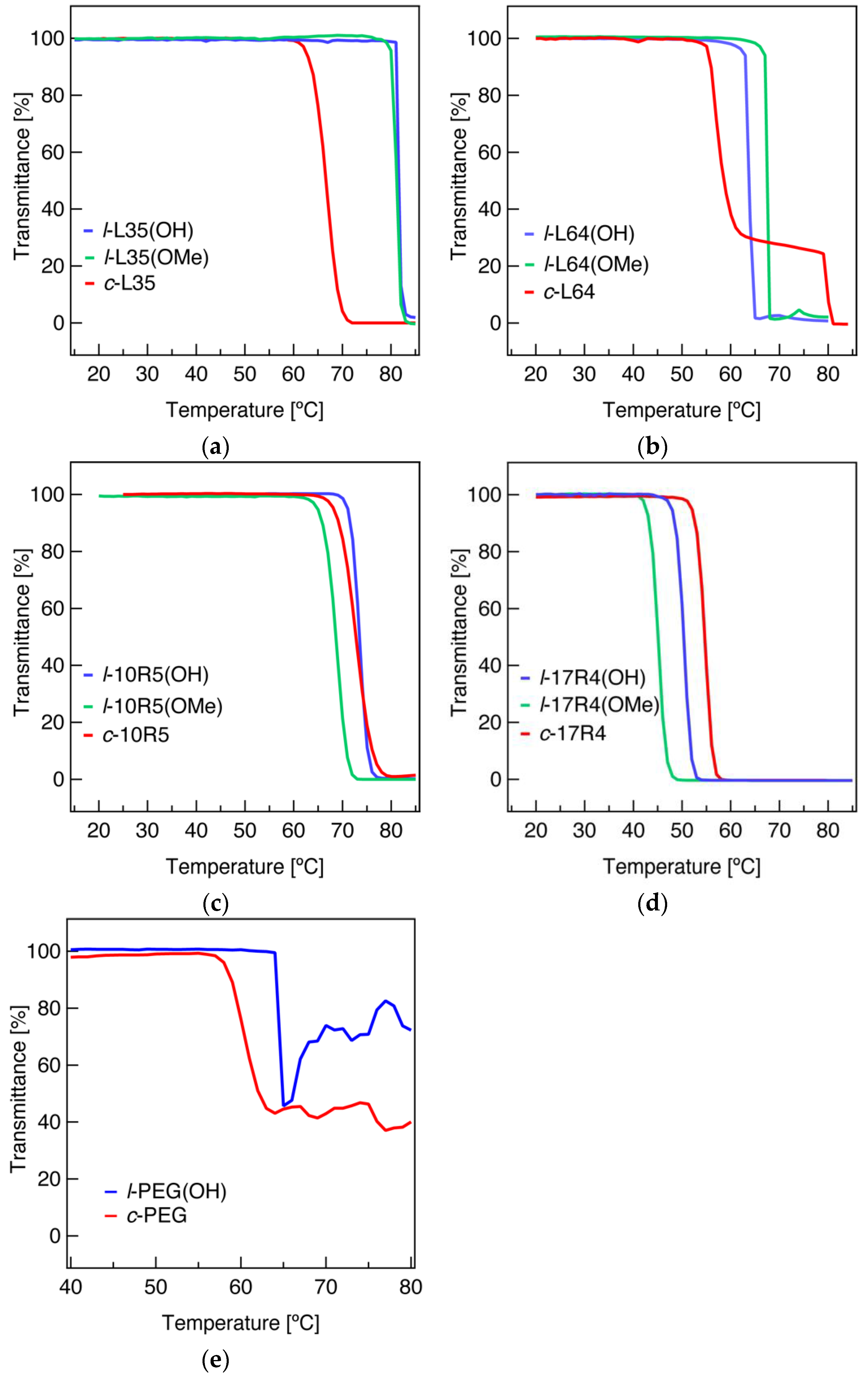
3.3. Cloud Point (Tc)
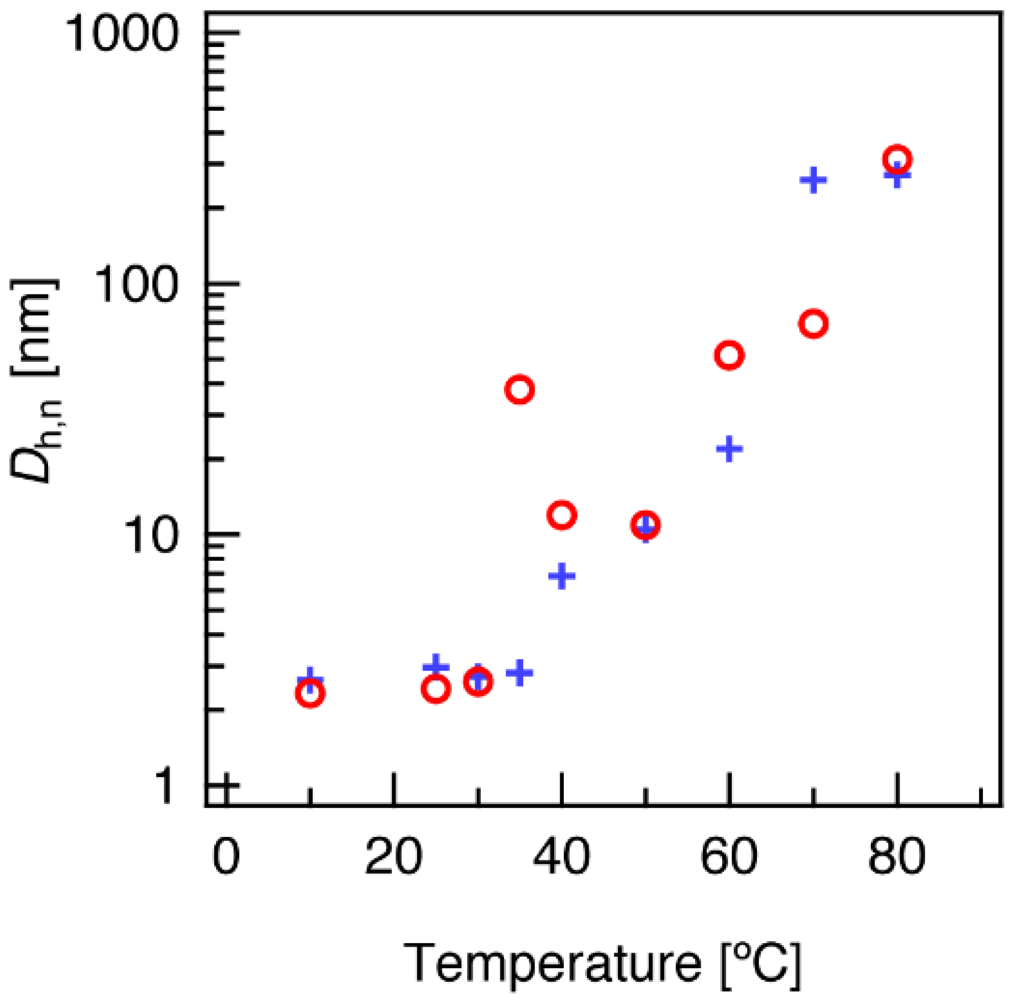
3.4. Dynamic Light Scattering (DLS)
3.5. The Effect of Cyclization on the Critical Temperatures
4. Conclusions
Supplementary Materials
Author Contributions
Funding
Institutional Review Board Statement
Informed Consent Statement
Data Availability Statement
Conflicts of Interest
References
- Roover, J. Overview on physical properties of cyclic polymers. In Topological Polymer Chemistry: Progress of Cyclic Polymers in Syntheses, Properties and Functions; Tezuka, Y., Ed.; World Scientific: Singapore, 2013; pp. 137–156. [Google Scholar]
- Haque, F.M.; Grayson, S.M. The synthesis, properties and potential applications of cyclic polymers. Nat. Chem. 2020, 12, 433–444. [Google Scholar] [CrossRef] [PubMed]
- Lienard, R.; De Winter, J.; Coulembier, O. Cyclic polymers: Advances in their synthesis, properties, and biomedical applications. J. Polym. Sci. 2020, 58, 1481–1502. [Google Scholar] [CrossRef]
- Benetti, E.M.; Divandari, M.; Ramakrishna, S.N.; Morgese, G.; Yan, W.; Trachsel, L. Loops and cycles at surfaces: The unique properties of topological polymer brushes. Chem. Eur. J. 2017, 23, 12433–12442. [Google Scholar] [CrossRef] [PubMed]
- Kricheldorf, H.R. Cyclic polymers: Synthetic strategies and physical properties. J. Polym. Sci. Part. A Polym. Chem. 2010, 48, 251–284. [Google Scholar] [CrossRef]
- Edwards, J.P.; Wolf, W.J.; Grubbs, R.H. The synthesis of cyclic polymers by olefin metathesis: Achievements and challenges. J. Polym. Sci. Part. A Polym. Chem. 2018, 57, 228–242. [Google Scholar] [CrossRef]
- Jia, Z.; Monteiro, M.J. Cyclic polymers: Methods and strategies. J. Polym. Sci. Part. A Polym. Chem. 2012, 50, 2085–2097. [Google Scholar] [CrossRef]
- Chang, Y.A.; Waymouth, R.M. Recent progress on the synthesis of cyclic polymers via ring-expansion strategies. J. Polym. Sci. Part. A Polym. Chem. 2017, 55, 2892–2902. [Google Scholar] [CrossRef]
- Aoki, D. A rational entry to cyclic polymers via spontaneous and selective cyclization reactions. Polym. J. 2021, 53, 257–269. [Google Scholar] [CrossRef]
- Wang, Y.; Quinsaat, J.E.Q.; Ono, T.; Maeki, M.; Tokeshi, M.; Isono, T.; Tajima, K.; Satoh, T.; Sato, S.; Miura, Y.; et al. Enhanced dispersion stability of gold nanoparticles by the physisorption of cyclic poly(ethylene glycol). Nat. Commun. 2020, 11, 6089. [Google Scholar] [CrossRef] [PubMed]
- Morgese, G.; Cavalli, E.; Rosenboom, J.-G.; Zenobi-Wong, M.; Benetti, E.M. Cyclic polymer grafts that lubricate and protect damaged cartilage. Angew. Chem. Int. Ed. 2018, 57, 1621–1626. [Google Scholar] [CrossRef] [PubMed]
- Zhang, K.; Lackey, M.A.; Cui, J.; Tew, G.N. Gels based on cyclic polymers. J. Am. Chem. Soc. 2011, 133, 4140–4148. [Google Scholar] [CrossRef]
- Oziri, O.J.; Wang, Y.; Watanabe, T.; Uno, S.; Maeki, M.; Tokeshi, M.; Isono, T.; Tajima, K.; Satoh, T.; Sato, S.; et al. PEGylation of silver nanoparticles by physisorption of cyclic poly(ethylene glycol) for enhanced dispersion stability, antimicrobial activity, and cytotoxicity. Nanoscale Adv. 2022, 4, 532–545. [Google Scholar] [CrossRef]
- Romio, M.; Trachsel, L.; Morgese, G.; Ramakrishna, S.N.; Spencer, N.D.; Benetti, E.M. Topological polymer chemistry enters materials science: Expanding the applicability of cyclic polymers. ACS Macro. Lett. 2020, 9, 1024–1033. [Google Scholar] [CrossRef]
- Williams, R.J.; Dove, A.P.; O’Reilly, R.K. Self-assembly of cyclic polymers. Polym. Chem. 2015, 6, 2998–3008. [Google Scholar] [CrossRef] [Green Version]
- Zhang, B.; Zhang, H.; Li, Y.; Hoskins, J.N.; Grayson, S.M. Exploring the effect of amphiphilic polymer architecture: Synthesis, characterization, and self-assembly of both cyclic and linear Poly(ethylene gylcol)-b-polycaprolactone. ACS Macro. Lett. 2013, 2, 845–848. [Google Scholar] [CrossRef]
- Heo, K.; Kim, Y.Y.; Kitazawa, Y.; Kim, M.; Jin, K.S.; Yamamoto, T.; Ree, M. Structural characteristics of amphiphilic cyclic and linear block copolymer micelles in aqueous solutions. ACS Macro. Lett. 2014, 3, 233–239. [Google Scholar] [CrossRef]
- Qian, H.-J.; Lu, Z.-Y.; Chen, L.-J.; Li, Z.-S.; Sun, C.-C. Computer simulation of cyclic block copolymer microphase separation. Macromolecules 2005, 38, 1395–1401. [Google Scholar] [CrossRef]
- Ree, B.J.; Satoh, T.; Yamamoto, T. Micelle structure details and stabilities of cyclic block copolymer amphiphile and its linear analogues. Polymers 2019, 11, 163. [Google Scholar] [CrossRef] [Green Version]
- Ouarti, N.; Viville, P.; Lazzaroni, R.; Minatti, E.; Schappacher, M.; Deffieux, A.; Putaux, J.-L.; Borsali, R. Micellar aggregation in blends of linear and cyclic poly(styrene-b-isoprene) diblock copolymers. Langmuir 2005, 21, 9085–9090. [Google Scholar] [CrossRef]
- Minatti, E.; Borsali, R.; Schappacher, M.; Deffieux, A.; Soldi, V.; Narayanan, T.; Putaux, J.-L. Effect of cyclization of polystyrene/polyisoprene block copolymers on their micellar morphology. Macromol. Rapid Commun. 2002, 23, 978–982. [Google Scholar] [CrossRef]
- Honda, S.; Yamamoto, T.; Tezuka, Y. Topology-directed control on thermal stability: Micelles formed from linear and cyclized amphiphilic block copolymers. J. Am. Chem. Soc. 2010, 132, 10251–10253. [Google Scholar] [CrossRef] [PubMed]
- Vaughn, T.H.; Suter, H.R.; Lundsted, L.G.; Kramer, M.G. Properties of some newly developed nonionic detergents. JAOCS J. Am. Oil Chem. Soc. 1951, 28, 294–299. [Google Scholar] [CrossRef]
- Almgren, M.; Brown, W.; Hvidt, S. Self-aggregation and phase behavior of poly(ethylene oxide)-poly(propylene oxide)-poly(ethylene oxide) block copolymers in aqueous solution. Colloid Polym. Sci. 1995, 273, 2–15. [Google Scholar] [CrossRef]
- Lazzari, M.; Torneiro, M. A Global View on Block Copolymers. Polymers 2020, 12, 869. [Google Scholar] [CrossRef] [PubMed]
- D’Errico, G.; Paduano, L.; Khan, A. Temperature and concentration effects on supramolecular aggregation and phase behavior for poly(propylene oxide)-b-poly(ethylene oxide)-b-poly(propylene oxide) copolymers of different composition in aqueous mixtures, 1. J. Colloid Interface Sci. 2004, 279, 379–390. [Google Scholar] [CrossRef]
- Caragheorgheopol, A.; Schlick, S. Hydration in the various phases of the triblock copolymers EO13PO30EO13 (Pluronic L64) and EO6PO34EO6 (Pluronic L62), based on electron spin resonance spectra of cationic spin probes. Macromolecules 1998, 31, 7736–7745. [Google Scholar] [CrossRef]
- Kozlov, M.Y.; Melik-Nubarov, N.S.; Batrakova, E.V.; Kabanov, A.V. Relationship between pluronic block copolymer structure, critical micellization concentration and partitioning coefficients of low molecular mass solutes. Macromolecules 2000, 33, 3305–3313. [Google Scholar] [CrossRef]
- Landazuri, G.; Fernandez, V.V.A.; Soltero, J.F.A.; Rharbi, Y. Length of the core forming block effect on fusion and fission dynamics at equilibrium in PEO–PPO–PEO triblock copolymer micelles in the spherical regime. Macromolecules 2021, 54, 2494–2505. [Google Scholar] [CrossRef]
- Alexandridis, P.; Holzwarth, J.F.; Hatton, T.A. Micellization of poly(ethylene oxide)–poly(propylene oxide)–poly(ethylene oxide) triblock copolymers in aqueous solutions: Thermodynamics of copolymer association. Macromolecules 1994, 27, 2414–2425. [Google Scholar] [CrossRef]
- Naskar, B.; Ghosh, S.; Moulik, S.P. Solution behavior of normal and reverse triblock copolymers (Pluronic L44 and 10R5) individually and in binary mixture. Langmuir 2012, 28, 7134–7146. [Google Scholar] [CrossRef]
- Zhou, Z.; Chu, B. Phase behavior and association properties of poly(oxypropylene)–poly(oxyethylene)–poly(oxypropylene) triblock copolymer in aqueous solution. Macromolecules 1994, 27, 2025–2033. [Google Scholar] [CrossRef]
- Yu, G.-E.; Garrett, C.A.; Mai, S.-M.; Altinok, H.; Attwood, D.; Price, C.; Booth, C. Effect of cyclization on the association behavior of block copolymers in aqueous solution. Comparison of oxyethylene/oxypropylene block copolymers cyclo-P34E104 and E52P34E52. Langmuir 1998, 14, 2278–2285. [Google Scholar] [CrossRef]
- Watanabe, T.; Chimura, S.; Wang, Y.; Ono, T.; Isono, T.; Tajima, K.; Satoh, T.; Sato, S.; Ida, D.; Yamamoto, T. Cyclization of PEG and Pluronic surfactants and the effects of the topology on their interfacial activity. Langmuir 2021, 37, 6974–6984. [Google Scholar] [CrossRef]
- Jebari, M.M.; Ghaouar, N.; Aschi, A.; Gharbi, A. Aggregation behaviour of Pluronic® L64 surfactant at various temperatures and concentrations examined by dynamic light scattering and viscosity measurements. Polym. Int. 2006, 55, 176–183. [Google Scholar] [CrossRef]
- Kositza, M.J.; Bohne, C.; Alexandridis, P.; Hatton, T.A.; Holzwarth, J.F. Micellization dynamics and impurity solubilization of the block-copolymer L64 in an aqueous solution. Langmuir 1999, 15, 322–325. [Google Scholar] [CrossRef]
- Cooke, J.; Viras, K.; Yu, G.-E.; Sun, T.; Yonemitsu, T.; Ryan, A.J.; Price, C.; Booth, C. Large cyclic poly(oxyethylene)s: Chain folding in the crystalline state studied by Raman spectroscopy, X-ray scattering, and differential scanning calorimetry. Macromolecules 1998, 31, 3030–3039. [Google Scholar] [CrossRef]
- Nozary, S.; Modarress, H.; Eliassi, A. Cloud-point measurements for salt + poly(ethylene glycol) + water systems by viscometry and laser beam scattering methods. J. Appl. Polym. Sci. 2003, 89, 1983–1990. [Google Scholar] [CrossRef]
- Mohsen-Nia, M.; Rasa, H.; Modarress, H. Cloud-point measurements for (water + poly(ethylene glycol) + salt) ternary mixtures by refractometry method. J. Chem. Eng. Data 2006, 51, 1316–1320. [Google Scholar] [CrossRef]
- Morrison, I.D.; Grabowski, E.F.; Herb, C.A. Improved techniques for particle size determination by quasi-elastic light scattering. Langmuir 1985, 1, 496–501. [Google Scholar] [CrossRef]
- Bryant, G.; Thomas, J.C. Improved particle size distribution measurements using multiangle dynamic light scattering. Langmuir 1995, 11, 2480–2485. [Google Scholar] [CrossRef]
- Mata, J.P.; Majhi, P.R.; Guo, C.; Liu, H.Z.; Bahadur, P. Concentration, temperature, and salt-induced micellization of a triblock copolymer Pluronic L64 in aqueous media. J. Colloid Interface Sci. 2005, 292, 548–556. [Google Scholar] [CrossRef] [PubMed]
- Sharma, R.K.; Shah, U. Aggregation Behavior of PEO-PPO-PEO Tri-Block Copolymer (Pluronic® L64) in Nonionic Surfactant Additives Environment. Tenside Surfactants Deterg. 2014, 51, 274–281. [Google Scholar] [CrossRef]
- Ganguly, R.; Choudhury, N.; Aswal, V.K.; Hassan, P.A. Pluronic L64 micelles near cloud point: Investigating the role of micellar growth and interaction in critical concentration fluctuation and percolation. J. Phys. Chem. B 2009, 113, 668–675. [Google Scholar] [CrossRef]
- Liao, C.Y.; Choi, S.-M.; Mallamace, F.; Chen, S.-H. SANS study of the structure and interaction of L64 triblock copolymer micellar solution in the critical region. J. Appl. Cryst. 2000, 33, 677–681. [Google Scholar] [CrossRef] [Green Version]
- Yang, L.; Alexandridis, P.; Steytler, D.C.; Kositza, M.J.; Holzwarth, J.F. Small-angle neutron scattering investigation of the temperature-dependent aggregation behavior of the block copolymer pluronic L64 in aqueous solution. Langmuir 2000, 16, 8555–8561. [Google Scholar] [CrossRef]
- Huff, A.; Patton, K.; Odhner, H.; Jacobs, D.T.; Clover, B.C.; Greer, S.C. Micellization and phase separation for triblock copolymer 17R4 in H2O and in D2O. Langmuir 2011, 27, 1707–1712. [Google Scholar] [CrossRef]
- Kumi, B.C.; Hammouda, B.; Greer, S.C. Self-assembly of the triblock copolymer 17R4 poly(propylene oxide)14–poly(ethylene oxide)24–poly(propylene oxide)14 in D2O. J. Colloid Interface Sci. 2014, 434, 201–207. [Google Scholar] [CrossRef]
- Yu, G.-E.; Yang, Z.; Attwood, D.; Price, C.; Booth, C. Association and surface properties of a cyclic block copolymer of ethylene oxide and butylene oxide (Cyclo-B8E42) in water. Macromolecules 1996, 29, 8479–8486. [Google Scholar] [CrossRef]
- Yamamoto, T.; Masuda, Y.; Tezuka, Y.; Korchagina, E.; Winnik, F.M. Comparative thermodynamic studies of the micellization of amphiphilic block copolymers before and after cyclization. Langmuir 2022, in press. [Google Scholar] [CrossRef]
- Kelarakis, A.; Havredaki, V.; Rekatas, C.J.; Booth, C. Thermodynamics of micellisation of a diblock copolymer of ethylene oxide and styrene oxide in water. Phys. Chem. Chem. Phys. 2001, 3, 5550–5552. [Google Scholar] [CrossRef]
- Chandler, D. Interfaces and the driving force of hydrophobic assembly. Nature 2005, 437, 640–647. [Google Scholar] [CrossRef] [PubMed]
- Kim, S.H.; Jo, W.H. A Monte Carlo simulation for the micellization of ABA- and BAB-type triblock copolymers in a selective solvent. Macromolecules 2001, 34, 7210–7218. [Google Scholar] [CrossRef]
- Kim, S.H.; Jo, W.H. A Monte Carlo simulation for the micellization of ABA- and BAB-type triblock copolymers in a selective solvent. II. Effects of the block composition. J. Chem. Phys. 2002, 117, 8565–8572. [Google Scholar] [CrossRef]
- Manet, S.; Lécchi, A.; Impéror-Clerc, M.; Zholobenko, V.; Durand, D.; Oliveira, C.L.P.; Pedersen, J.S.; Grillo, I.; Meneau, F.; Rochas, C. Structure of micelles of a nonionic block copolymer determined by SANS and SAXS. J. Phys. Chem. B 2011, 115, 11318–11329. [Google Scholar] [CrossRef]
- Pedersen, J.S.; Gerstenberg, M.C. The structure of P85 Pluronic block copolymer micelles determined by small-angle neutron scattering. Colloids Surf. A Physicochem. Eng. Asp. 2003, 213, 175–187. [Google Scholar] [CrossRef]
- Qiu, X.-P.; Tanaka, F.; Winnik, F.M. Temperature-induced phase transition of well-defined cyclic poly(N-isopropylacrylamide)s in aqueous solution. Macromolecules 2007, 40, 7069–7071. [Google Scholar] [CrossRef]
- Xu, J.; Ye, J.; Liu, S. Synthesis of well-defined cyclic poly(N-isopropylacrylamide) via click chemistry and its unique thermal phase transition behavior. Macromolecules 2007, 40, 9103–9110. [Google Scholar] [CrossRef]
- Honda, S.; Yamamoto, T.; Tezuka, Y. Tuneable enhancement of the salt and thermal stability of polymeric micelles by cyclized amphiphiles. Nat. Commun. 2013, 4, 1574. [Google Scholar] [CrossRef] [Green Version]
- Ye, J.; Xu, J.; Hu, J.; Wang, X.; Zhang, G.; Liu, S.; Wu, C. Comparative study of temperature-induced association of cyclic and linear poly(N-isopropylacrylamide) chains in dilute solutions by laser light scattering and stopped-flow temperature jump. Macromolecules 2008, 41, 4416–4422. [Google Scholar] [CrossRef]
- Mortensen, K.; Brown, W.; Jørgensen, E. Phase behavior of poly(propylene oxide)–poly(ethylene oxide)–poly(propylene oxide) triblock copolymer melt and aqueous solutions. Macromolecules 1994, 27, 5654–5666. [Google Scholar] [CrossRef]






| Topology-Pluronic (Chain-End) | Composition | Mn (g/mol) | TCMT at 10 g/L (°C) | ΔHmic (kJ/mol)a | ΔGmic (kJ/mol) b | ΔSmic (J/(mol K)) b | Tc at 10 g/L (°C) |
|---|---|---|---|---|---|---|---|
| l-L35(OH) | (EG)11–(PG)16–(EG)11 | 1900 | 58 | 91 ± 4 | –26.1 | 352 | 82 |
| l-L35(OMe) | 51 | 96 ± 5 | –25.4 | 374 | 81 | ||
| c-L35 | 45 | 77 ± 3 | –25.2 | 319 | 64 | ||
| l-L64(OH) | (EG)13–(PG)30–(EG)13 | 2900 | 35 | 182 ± 10 | –24.6 | 670 | 64 |
| l-L64(OMe) | 36 | 183 ± 9 | –24.7 | 672 | 68 | ||
| c-L64 | 31 | 156 ± 2 | –24.3 | 593 | 56 | ||
| l-10R5(OH) | (PG)8–(EG)22–(PG)8 | 2000 | 69 | 145 ± 6 | –26.9 | 505 | 72 |
| l-10R5(OMe) | 65 | 152 ± 20 | –26.5 | 530 | 66 | ||
| c-10R5 | 62 | 94 ± 7 | –25.9 | 365 | 70 | ||
| l-17R4(OH) | (PG)14–(EG)24–(PG)14 | 2700 | 46 | 173 ± 3 | –26.4 | 625 | 49 |
| l-17R4(OMe) | 42 | 230 ± 30 | –26.1 | 804 | 44 | ||
| c-17R4 | 28 | 77 ± 5 | –24.9 | 339 | 53 | ||
| l-PEG(OH) | (EG)45 | 2000 | - | - | - | - | 65 |
| c-PEG | - | - | - | - | 59 |
Publisher’s Note: MDPI stays neutral with regard to jurisdictional claims in published maps and institutional affiliations. |
© 2022 by the authors. Licensee MDPI, Basel, Switzerland. This article is an open access article distributed under the terms and conditions of the Creative Commons Attribution (CC BY) license (https://creativecommons.org/licenses/by/4.0/).
Share and Cite
Watanabe, T.; Wang, Y.; Ono, T.; Chimura, S.; Isono, T.; Tajima, K.; Satoh, T.; Sato, S.-i.; Ida, D.; Yamamoto, T. Topology and Sequence-Dependent Micellization and Phase Separation of Pluronic L35, L64, 10R5, and 17R4: Effects of Cyclization and the Chain Ends. Polymers 2022, 14, 1823. https://doi.org/10.3390/polym14091823
Watanabe T, Wang Y, Ono T, Chimura S, Isono T, Tajima K, Satoh T, Sato S-i, Ida D, Yamamoto T. Topology and Sequence-Dependent Micellization and Phase Separation of Pluronic L35, L64, 10R5, and 17R4: Effects of Cyclization and the Chain Ends. Polymers. 2022; 14(9):1823. https://doi.org/10.3390/polym14091823
Chicago/Turabian StyleWatanabe, Tomohisa, Yubo Wang, Tomoko Ono, Satoru Chimura, Takuya Isono, Kenji Tajima, Toshifumi Satoh, Shin-ichiro Sato, Daichi Ida, and Takuya Yamamoto. 2022. "Topology and Sequence-Dependent Micellization and Phase Separation of Pluronic L35, L64, 10R5, and 17R4: Effects of Cyclization and the Chain Ends" Polymers 14, no. 9: 1823. https://doi.org/10.3390/polym14091823
APA StyleWatanabe, T., Wang, Y., Ono, T., Chimura, S., Isono, T., Tajima, K., Satoh, T., Sato, S.-i., Ida, D., & Yamamoto, T. (2022). Topology and Sequence-Dependent Micellization and Phase Separation of Pluronic L35, L64, 10R5, and 17R4: Effects of Cyclization and the Chain Ends. Polymers, 14(9), 1823. https://doi.org/10.3390/polym14091823

