Improving Mechanical and Barrier Properties of Antibacterial Poly(Phenylene Sulfide) Nanocomposites Reinforced with Nano Zinc Oxide-Decorated Graphene
Abstract
1. Introduction
2. Experimental
2.1. Materials
2.2. Preparation of Graphene-ZnO
2.3. Preparation of PPS/G-ZnO Nanocomposites
2.4. Mechanical Performance Test
2.5. FT-IR Test
2.6. Morphological Characterization
2.7. DSC Analysis
2.8. Thermogravimetric Analysis
2.9. X-ray Diffraction Characterization
2.10. Water Vapor Permeability Coefficients
2.11. Water Contact Angle
2.12. Antibacterial Test
3. Results and Discussion
3.1. Mechanical Properties
3.2. FTIR
3.3. SEM
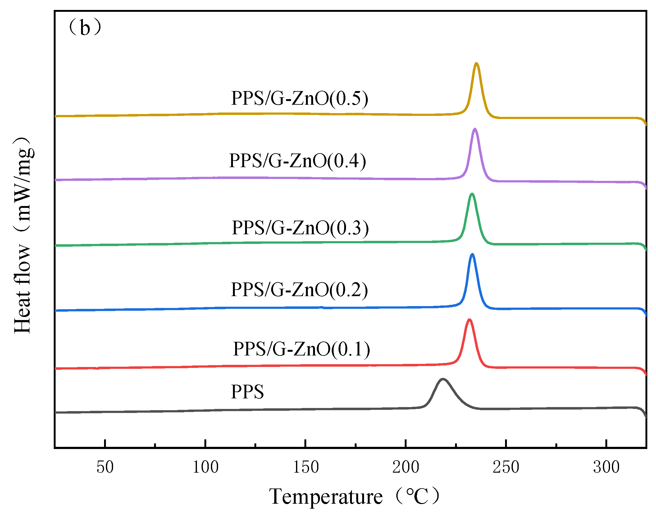
3.4. DSC Analysis
3.5. XRD
3.6. TGA
3.7. Water Vapor Permeability Coefficients
3.8. Contact Angle
3.9. Antibacterial Test
4. Conclusions
Author Contributions
Funding
Institutional Review Board Statement
Acknowledgments
Conflicts of Interest
References
- Golchin, A.; Friedrich, K.; Noll, A.; Prakash, B. Tribological behavior of carbon-filled PPS composites in water lubricated contacts. Wear 2015, 328–329, 456–463. [Google Scholar] [CrossRef]
- Pathak, A.K.; Garg, H.; Singh, M.; Yokozeki, T.; Dhakate, S.R. Enhanced interfacial properties of graphene oxide incorporated carbon fiber reinforced epoxy nanocomposite: A systematic thermal properties investigation. J. Polym. Res. 2019, 26, 23. [Google Scholar] [CrossRef]
- Sharda, T.; Rahaman, M.M.; Nukaya, Y.; Soga, T.; Jimbo, T.; Umeno, M. Structural and optical properties of diamond and nano-diamond films grown by microwave plasma chemical vapor deposition. Diam. Relat. Mater. 2001, 10, 561–567. [Google Scholar] [CrossRef]
- Tsou, C.H.; Yao, W.H.; Lu, Y.C.; Tsou, C.Y.; Wu, C.S.; Chen, J.; Wang, R.Y.; Su, C.; Hung, W.S.; De Guzman, M.; et al. Antibacterial property and cytotoxicity of a poly (lactic acid)/anosilver-doped multiwall carbon nanotube nanocomposite. Polymers 2017, 9, 100. [Google Scholar] [CrossRef]
- Dresselhaus, M.S.; Dresselhaus, G.; Eklund, P.C. Fullerenes. J. Mater. Res. 1993, 8, 2054–2097. [Google Scholar] [CrossRef]
- Yuan, L.; Qu, C.-L.; Tsou, C.-H.; De Guzman, M.R.; Huang, X.; Gao, C.; Sun, Y.-L.; Yang, T.; Zeng, C.; Luo, X. Morphology and thermal properties of low-density polyethylene/graphite composite films as potential pH sensors prepared via heat treatment and natural drying. J. Polym. Res. 2022, 29, 454. [Google Scholar] [CrossRef]
- De Guzman, M.R.; Wen, Y.-H.; Du, J.; Yuan, L.; Wu, C.-S.; Hung, W.-S.; Guo, J.-P.; Yao, Y.-L.; Yuan, S.; Wang, R.-Y.; et al. Characterization of antibacterial nanocomposites of polyethylene terephthalate filled with nanosilver-doped carbon black. Polym. Polym. Compos. 2021, 29, 797–806. [Google Scholar] [CrossRef]
- Yao, Y.L.; De Guzman, M.R.; Duan, H.; Gao, C.; Lin, X.; Wen, Y.H.; Du, J.; Lin, L.; Chen, J.C.; Wu, C.S.; et al. Infusing high-density polyethylene with graphene-zinc oxide to produce antibacterial nanocomposites with improved properties. Chin. J. Polym. Sci. 2020, 38, 898–907. [Google Scholar] [CrossRef]
- Uematsu, H.; Sudo, K.; Eguchi, T.; Yamaguchi, A.; Hirata, T.; Koori, Y.; Yasuda, H.; Senga, M.; Yamane, M.; Ozaki, Y.; et al. Improvement of interfacial shear strength between syndiotactic polystyrene and carbon fiber by Self-localization of acid modified poly(2,6-dimethyl-1,4-phenylene ether) on the surface of carbon fiber. Compos. Part A Appl. Sci. Manuf. 2022, 153, 106706. [Google Scholar] [CrossRef]
- Uematsu, H.; Yoshida, K.; Yamaguchi, A.; Fukushima, A.; Sugihara, S.; Yamane, M.; Ozaki, Y.; Tanoue, S. Enhancement of interfacial shear strength due to cooperative π-π interaction between polyphenylene sulfide and carbon fiber and molecular orientation of polyphenylene sulfide via the π-π interaction. Compos. Part A Appl. Sci. Manuf. 2023, 165, 107355. [Google Scholar] [CrossRef]
- Dydek, K.; Latko-Durałek, P.; Sulowska, A.; Kubiś, M.; Demski, S.; Kozera, P.; Sztorch, B.; Boczkowska, A. Effect of Processing Temperature and the Content of Carbon Nanotubes on the Properties of Nanocomposites Based on Polyphenylene Sulfide. Polymers 2021, 13, 3816. [Google Scholar] [CrossRef] [PubMed]
- Yu, S.; Wong, W.M.; Hu, X.; Juay, Y.K. The characteristics of carbon nanotube-reinforced poly (phenylene sulfide) nanocomposites. J. Appl. Polym. Sci. 2009, 113, 3477–3483. [Google Scholar] [CrossRef]
- Chen, S.; De Guzman, M.R.; Tsou, C.H.; Li, M.; Suen, M.C.; Gao, C.; Tsou, C.Y. Hydrophilic and absorption properties of reversible nanocomposite polyvinyl alcohol hydrogels reinforced with graphene-doped zinc oxide nanoplates for enhanced antibacterial activity. Polym. J. 2023, 55, 45–61. [Google Scholar] [CrossRef]
- Geim, A.K.; Novoselov, K.S. The rise of graphene. Nat. Mater. 2007, 6, 183–191. [Google Scholar] [CrossRef] [PubMed]
- Li, X.; Yu, J.; Wageh, S.; Al-Ghamdi, A.A.; Xie, J. Graphene in photocatalysis: A review. Small 2016, 12, 6640–6696. [Google Scholar] [CrossRef]
- Tsou, C.H.; Ma, Z.L.; De Guzman, M.R.; Zhao, L.; Du, J.; Emori, W.; Gao, C.; Zhao, Y.; Yang, T.; Wu, J. High-performance antibacterial nanocomposite films with a 3D network structure prepared from carboxylated graphene and modified polyvinyl alcohol. Prog. Org. Coat. 2022, 166, 106805. [Google Scholar] [CrossRef]
- Tsou, C.H.; Zhao, L.; Gao, C.; Duan, H.; Lin, X.; Wen, Y.; Du, J.; Lin, S.M.; Suen, M.C.; Yu, Y.; et al. Characterization of network bonding created by intercalated functionalized graphene and polyvinyl alcohol in nanocomposite films for reinforced mechanical properties and barrier performance. Nanotechnology 2020, 31, 385703. [Google Scholar] [CrossRef]
- Solomakha, O.; Stepanova, M.; Gofman, I.; Nashchekina, Y.; Rabchinskii, M.; Nashchekin, A.; Lavrentieva, A.; Korzhikova-Vlakh, E. Composites Based on Poly(ε-caprolactone) and Graphene Oxide Modified with Oligo/Poly(Glutamic Acid) as Biomaterials with Osteoconductive Properties. Polymers 2023, 15, 2714. [Google Scholar] [CrossRef]
- Wen, Y.H.; Tsou, C.H.; De Guzman, M.R.; Wu, C.S.; Liao, B.; Du, J.; Wei, W.; Sun, Y.L. Preparation of antibacterial nanocomposites of zinc oxide-doped graphene reinforced polypropylene with high comprehensive properties. Nano 2021, 16, 2150026. [Google Scholar] [CrossRef]
- Zhao, Y.F.; Xiao, M.; Wang, S.J.; Ge, X.C.; Meng, Y.Z. Preparation and properties of electrically conductive PPS/expanded graphite nanocomposites. Compos. Sci. Technol. 2007, 67, 2528–2534. [Google Scholar] [CrossRef]
- Gu, J.; Xie, C.; Li, H.; Dang, J.; Geng, W.; Zhang, Q. Thermal percolation behavior of graphene nanoplatelets/polyphenylene sulfide thermal conductivity composites. Polym. Compos. 2014, 35, 1087–1092. [Google Scholar] [CrossRef]
- Xing, J.; Xu, Z.; Ni, Q.Q.; Ke, H. Preparation and characterization of polyphenylene sulfide/graphene nanoplatelets composite fibers with enhanced oxidation resistance. High Perform. Polym. 2020, 32, 394–405. [Google Scholar] [CrossRef]
- Song, W.; Li, X.; Liu, J.; Wei, Y.; Huang, R. Improvement of mechanical and thermal properties of polyphenylene sulfide/graphene oxide composite by zinc oxide modification. J. Appl. Polym. Sci. 2017, 134, 44571. [Google Scholar]
- Lu, Z.; Jiang, L.; Liu, Y.; Li, H.; Li, Y. Synergistic effect of graphene oxide modified by zinc oxide nanoparticles on mechanical properties of polyphenylene sulfide composites. Mater. Des. 2016, 101, 119–125. [Google Scholar]
- Sun, J.; Zhang, L.; Gao, L.; Xu, Y.; Wang, J.; Sun, R. Mechanical and thermal properties of polyphenylene sulfide composites reinforced with graphene oxide modified by zinc oxide nanoparticles. J. Mater. Sci. 2020, 55, 4301–4315. [Google Scholar]
- Wu, G.; Feng, X.; Jiang, L.; Song, L.; Zhang, C.; Li, Y. Synergistic effect of graphene oxide and zinc oxide nanoparticles on the mechanical properties of polyphenylene sulfide composites. J. Appl. Polym. Sci. 2018, 135, 46402. [Google Scholar]
- Zhu, H.; Luo, X.; Liu, X.; Lu, X.; Wang, X. Effect of high graphene oxide loading on the mechanical and thermal properties of polyphenylene sulfide composites. Polym. Compos. 2019, 40, 4886–4895. [Google Scholar]
- Yang, X.; Duan, L.; Ran, X. Effect of polydopamine coating on improving photostability of polyphenylene sulfide fiber. Polym. Bull. 2017, 74, 641–656. [Google Scholar] [CrossRef]
- Hong, T.H. A Note on Determination of the Shear Stress-Strain Response of Unidirectional Composites. J. Compos. Mater. 1973, 7, 383–386. [Google Scholar] [CrossRef]
- Piaggio, P.; Cuniberti, C.; Dellepiane, G.; Campani, E.; Gorini, G.; Masetti, G.; Petrillo, G. Vibrational spectra and assignment of poly-(p-phenylene sulfide) and its oligomers. Spectrochim. Acta Part A Mol. Spectrosc. 1989, 45, 347–356. [Google Scholar] [CrossRef]
- Lu, Y.; Li, R.; He, Y. A study on the structure of thermal oxidative treatment of polyphenylene sulfide. Polym. Mater. Sci. Eng. 1990, 5, 87–89. [Google Scholar]
- Du, Z. Study by ft-ir spectroscopy on peactions and changes of polyphenylene snlfide(pps)is the process of heating. J. Sichuan Univ. 1987, 45, 1624–1632. [Google Scholar]
- Xiao, G.Z.; Shanahan, M.E.R. Water absorption and desorption in an epoxy resin with degradation. J. Polym. Sci. Part B Polym. Phys. 1997, 35, 2659–2670. [Google Scholar] [CrossRef]
- Ge, F.F.; Wan, N.; Tsou, C.H.; Chen, J.C.; Wu, C.S.; De Guzman, M.R.; Yu, Y.Q. Thermal properties and hydrophilicity of antibacterial poly (phenylene sulfide) nanocomposites reinforced with zinc oxide-doped multiwall carbon nanotubes. J. Polym. Res. 2022, 29, 83. [Google Scholar] [CrossRef]
- Tsou, C.H.; Zeng, R.; Wan, N.; De Guzman, M.R.; Hu, X.F.; Yang, T.; Gao, C.; Wei, X.; Yi, J.; Lan, L.; et al. Biological oyster shell waste enhances polyphenylene sulfide composites and endows them with antibacterial properties. Chin. J. Chem. Eng. 2022, 57, 118–131. [Google Scholar] [CrossRef]
- Ma, Z.L.; Tsou, C.H.; Cui, X.; Wu, J.; Lin, L.; Wen, H.; De Guzman, M.R.; Wang, C.Y.; Liu, H.; Xiong, Q.; et al. Barrier properties of nanocomposites from high-density polyethylene reinforced with natural attapulgite. Curr. Res. Green Sustain. Chem. 2022, 5, 100314. [Google Scholar] [CrossRef]
- Tsou, C.H.; Guo, J.; Lei, J.A.; De Guzman, M.R.; Suen, M.C. Characterizing attapulgite-reinforced nanocomposites of poly (lactic acid). Polym. Sci. Ser. A 2022, 62, 732–743. [Google Scholar] [CrossRef]
- Brugnoni, M.; Nickel, A.C.; Kröger, L.C.; Scotti, A.; Pich, A.; Leonhard, K.; Richtering, W. Synthesis and structure of deuterated ultra-low cross-linked poly (N-isopropylacrylamide) microgels. Polym. Chem. 2019, 10, 2397–2405. [Google Scholar] [CrossRef]
- Bouharras, F.E.; Labardi, M.; Tombari, E.; Capaccioli, S.; Raihane, M.; Améduri, B. Dielectric characterization of core-shell structured poly (vinylidene fluoride)-grafted-BaTiO3 nanocomposites. Polymers 2023, 15, 595. [Google Scholar] [CrossRef]
- Rahate, A.S.; Nemade, K.R.; Waghuley, S.A. Polyphenylene sulfide (PPS): State of the art and applications. Rev. Chem. Eng. 2013, 29, 471–489. [Google Scholar] [CrossRef]
- Tang, W.; Li, P.; Yan, D.; Yan, Y.; Ren, H.; Wang, B.; Zhao, J. Insights into the luminescent properties of poly (phenylene sulfide)-grafted metal-organic framework (Tb–MOF–PPS) copolymers. High Perform. Polym. 2022, 34, 1028–1036. [Google Scholar] [CrossRef]
- Langer, L.; Billaud, D.; Issi, J.P. Thermal conductivity of stretched and annealed poly (p-phenylene sulfide) films. Solid State Commun. 2003, 126, 353–357. [Google Scholar] [CrossRef]
- Patterson, S.J. A lattice-point problem in hyperbolic space. Mathematika 1975, 22, 81–88. [Google Scholar] [CrossRef]
- Wilson, J.L.; Poddar, P.; Frey, N.A.; Srikanth, H.; Mohomed, K.; Harmon, J.P.; Kotha, S.; Wachsmuth, J. Synthesis and magnetic properties of polymer nanocomposites with embedded iron nanoparticles. J. Appl. Phys. 2004, 95, 1439–1443. [Google Scholar] [CrossRef]
- Li, X.; Zhang, Y.J.; Tsou, C.H.; Wen, Y.H.; Wu, C.S.; De Guzman, M.R.; Zeng, C.Y.; Gao, C.; Zou, J.J.; Zhao, W.B.; et al. A New Application of Hollow Nanosilica Added to Modified Polypropylene to Prepare Nanocomposite Films. Nano 2021, 16, 2150117. [Google Scholar] [CrossRef]
- Ma, Z.L.; Tsou, C.H.; Yao, Y.L.; De Guzman, M.R.; Wu, C.S.; Gao, C.; Lin, L. Thermal properties and barrier performance of antibacterial high-density polyethylene reinforced with carboxyl graphene-grafted modified high-density polyethylene. Ind. Eng. Chem. Res. 2021, 60, 12911–12922. [Google Scholar] [CrossRef]
- Tas, C.E.; Hendessi, S.; Baysal, M.; Unal, S.; Cebeci, F.C.; Menceloglu, Y.Z.; Unal, H. Halloysite nanotubes/polyethylene nanocomposites for active food packaging materials with ethylene scavenging and gas barrier properties. Food Bioprocess Technol. 2017, 10, 789–798. [Google Scholar] [CrossRef]
- Liu, L.; Su, D.; Tang, Y.; Fang, G. Thermal conductivity enhancement of phase change materials for thermal energy storage: A review. Renew. Sustain. Energy Rev. 2016, 62, 305–317. [Google Scholar] [CrossRef]
- Sun, Y.-L.; Tu, L.-J.; Tsou, C.-H.; Lin, S.-M.; Lin, L.; De Guzman, M.R.; Zeng, R.; Xia, Y. Thermal and mechanical properties of biodegradable nanocomposites prepared by poly(lactic acid)/acetyl tributyl citrate reinforced with attapulgite. J. Polym. Res. 2023, 30, 117. [Google Scholar] [CrossRef]
- Khalili, N.; Oraei, M.; Gohari, G.; Panahirad, S.; Nourafcan, H.; Hano, C. Chitosan-Enriched Salicylic Acid Nanoparticles Enhanced Anthocyanin Content in Grape (Vitis vinifera L. cv. Red Sultana) Berries. Polymers 2022, 14, 3349. [Google Scholar] [CrossRef]
- Peña, M.G.; Sanchez, L.O.; Flores, L.A.; Almendarez, A.; Gutierrez, E.J.; Navarrete, J.; Pérez, E.; Gonzalez, J.A. Mechanical, antibacterial, and non-cytotoxic performance of polypropylene nanocomposites reinforced with sTiO2 deposited with AgNPs mediated by quercetin biomolecule. Polymer. Bull. 2022, 80, 6749–6775. [Google Scholar] [CrossRef]
- Wen, Y.H.; De Guzman, M.R.; Lin, X.; Chen, J.C.; Gao, C.; Wu, C.S.; Wang, Z.H.; Huang, D.; Du, J.; Yu, Y.Q.; et al. Antibacterial nanocomposites of polypropylene modified with silver-decorated multiwalled carbon nanotubes. Nano 2020, 15, 2050112. [Google Scholar] [CrossRef]
- Tsou, C.H.; Zeng, R.; Tsou, C.Y.; Chen, J.C.; Sun, Y.L.; Ma, Z.L.; De Guzman, M.R.; Tu, L.J.; Tian, X.Y.; Wu, C.S. Mechanical, Hydrophobic, and Barrier Properties of Nanocomposites of Modified Polypropylene Reinforced with Low-Content Attapulgite. Polymers 2022, 14, 3696. [Google Scholar] [CrossRef]
- Tsou, C.H.; Ge, F.F.; Lin, L.; Yuan, S.; De Guzman, M.R.; Potiyaraj, P. Barrier and Biodegradable Properties of Poly (butylene adipate-co-terephthalate) Reinforced with ZnO-Decorated Graphene Rendering it Antibacterial. ACS Appl. Polym. Mater. 2023, 5, 1681–1695. [Google Scholar] [CrossRef]
- Liu, S.; Zeng, T.H.; Hofmann, M.; Burcombe, E.; Wei, J.; Jiang, R.; Kong, J.; Chen, Y. Antibacterial Activity of Graphite, Graphite Oxide, Graphene Oxide, and Reduced Graphene Oxide: Membrane and Oxidative Stress. ACS Nano 2011, 5, 6971–6980. [Google Scholar] [CrossRef]
- Shafaee, H.; Khosropanah, H.; Rahimi, H.; Darroudi, M.; Rangrazi, A. Effects of Adding Cinnamon, ZnO, and CuO Nanoparticles on the Antibacterial Properties of a Glass Ionomer Cement as the Luting Agent for Orthodontic Bands and Their Cytotoxicity. J. Compos. Sci. 2022, 6, 336. [Google Scholar] [CrossRef]
- Liu, J.; Dong, Y.; Ma, Z.; Rao, Z.; Zheng, X.; Tang, K. Soluble Soybean Polysaccharide/Carrageenan Antibacterial Nanocomposite Films Containing Green Synthesized Silver Nanoparticles. ACS Appl. Polym. Mater. 2022, 4, 5608–5618. [Google Scholar] [CrossRef]
- Tarabiah, A.E.; Alhadlaq, H.A.; Alaizeri, Z.M.; Ahmed, A.A.; Asnag, G.M.; Ahamed, M. Enhanced structural, optical, electrical properties and antibacterial activity of PEO/CMC doped ZnO nanorods for energy storage and food packaging applications. J. Polym. Res. 2022, 29, 167. [Google Scholar] [CrossRef]













| Sample | PPS (%) | G-ZnO (%) | 
|---|---|---|
| PPS | 100 | 0 | 
| PPS/G-ZnO_0.1 | 99.9 | 0.1 | 
| PPS/G-ZnO_0.2 | 99.8 | 0.2 | 
| PPS/G-ZnO_0.3 | 99.7 | 0.3 | 
| PPS/G-ZnO_0.4 | 99.6 | 0.4 | 
| PPS/G-ZnO_0.5 | 99.5 | 0.5 | 
| Sample | Second Heating | Cooling | ||
|---|---|---|---|---|
| Tm (°C) | ΔHm (J/g) | Xc (%) | Tc (°C) | |
| PPS | 283.1 | −38.9 | 48.62 | 218.6 | 
| PPS/G-ZnO_0.1 | 282.0 | −38.12 | 47.70 | 231.8 | 
| PPS/G-ZnO_0.2 | 280.8 | −40.08 | 50.20 | 233.2 | 
| PPS/G-ZnO_0.3 | 282.0 | −39.77 | 49.86 | 233.1 | 
| PPS/G-ZnO_0.4 | 281.5 | −38.27 | 48.03 | 234.5 | 
| PPS/G-ZnO_0.5 | 281.7 | −39.0 | 48.99 | 235.2 | 
| Sample | T10% (°C) | Tmax (°C) | Me (%) | 
|---|---|---|---|
| PPS | 507.7 | 511.2 | 35.7 | 
| PPS/G-ZnO_0.1 | 508.0 | 510.8 | 54.1 | 
| PPS/G-ZnO_0.2 | 509.2 | 514.2 | 57.0 | 
| PPS/G-ZnO_0.3 | 509.5 | 514.2 | 54.0 | 
| PPS/G-ZnO_0.4 | 509.6 | 510.1 | 49.4 | 
| PPS/G-ZnO_0.5 | 510.5 | 507.5 | 50.4 | 
| Disclaimer/Publisher’s Note: The statements, opinions and data contained in all publications are solely those of the individual author(s) and contributor(s) and not of MDPI and/or the editor(s). MDPI and/or the editor(s) disclaim responsibility for any injury to people or property resulting from any ideas, methods, instructions or products referred to in the content. | 
© 2023 by the authors. Licensee MDPI, Basel, Switzerland. This article is an open access article distributed under the terms and conditions of the Creative Commons Attribution (CC BY) license (https://creativecommons.org/licenses/by/4.0/).
Share and Cite
Tsou, C.-H.; Du, J.-H.; Yao, W.-H.; Fu, L.; Wu, C.-S.; Huang, Y.; Qu, C.-L.; Liao, B. Improving Mechanical and Barrier Properties of Antibacterial Poly(Phenylene Sulfide) Nanocomposites Reinforced with Nano Zinc Oxide-Decorated Graphene. Polymers 2023, 15, 2779. https://doi.org/10.3390/polym15132779
Tsou C-H, Du J-H, Yao W-H, Fu L, Wu C-S, Huang Y, Qu C-L, Liao B. Improving Mechanical and Barrier Properties of Antibacterial Poly(Phenylene Sulfide) Nanocomposites Reinforced with Nano Zinc Oxide-Decorated Graphene. Polymers. 2023; 15(13):2779. https://doi.org/10.3390/polym15132779
Chicago/Turabian StyleTsou, Chi-Hui, Jian-Hua Du, Wei-Hua Yao, Lei Fu, Chin-San Wu, Yuxia Huang, Chang-Lei Qu, and Bin Liao. 2023. "Improving Mechanical and Barrier Properties of Antibacterial Poly(Phenylene Sulfide) Nanocomposites Reinforced with Nano Zinc Oxide-Decorated Graphene" Polymers 15, no. 13: 2779. https://doi.org/10.3390/polym15132779
APA StyleTsou, C.-H., Du, J.-H., Yao, W.-H., Fu, L., Wu, C.-S., Huang, Y., Qu, C.-L., & Liao, B. (2023). Improving Mechanical and Barrier Properties of Antibacterial Poly(Phenylene Sulfide) Nanocomposites Reinforced with Nano Zinc Oxide-Decorated Graphene. Polymers, 15(13), 2779. https://doi.org/10.3390/polym15132779
 
        




 
       