Synthesis and Characterization of Core–Double-Shell-Structured PVDF-grafted-BaTiO3/P(VDF-co-HFP) Nanocomposite Films
Abstract
1. Introduction
2. Materials and Methods
2.1. Materials
2.2. Film Preparation
2.3. Characterization
2.3.1. Fourier Transform Infrared (FT-IR) Spectroscopy
2.3.2. Thermogravimetric Analysis (TGA)
2.3.3. Differential Scanning Calorimetry (DSC)
2.3.4. Scanning Electron Microscopy (SEM)
2.3.5. Dielectric Measurements
2.3.6. Mechanical Analysis
3. Results and Discussion
3.1. FT-IR Spectral Analysis
3.2. Scanning Electron Microscopy (SEM)
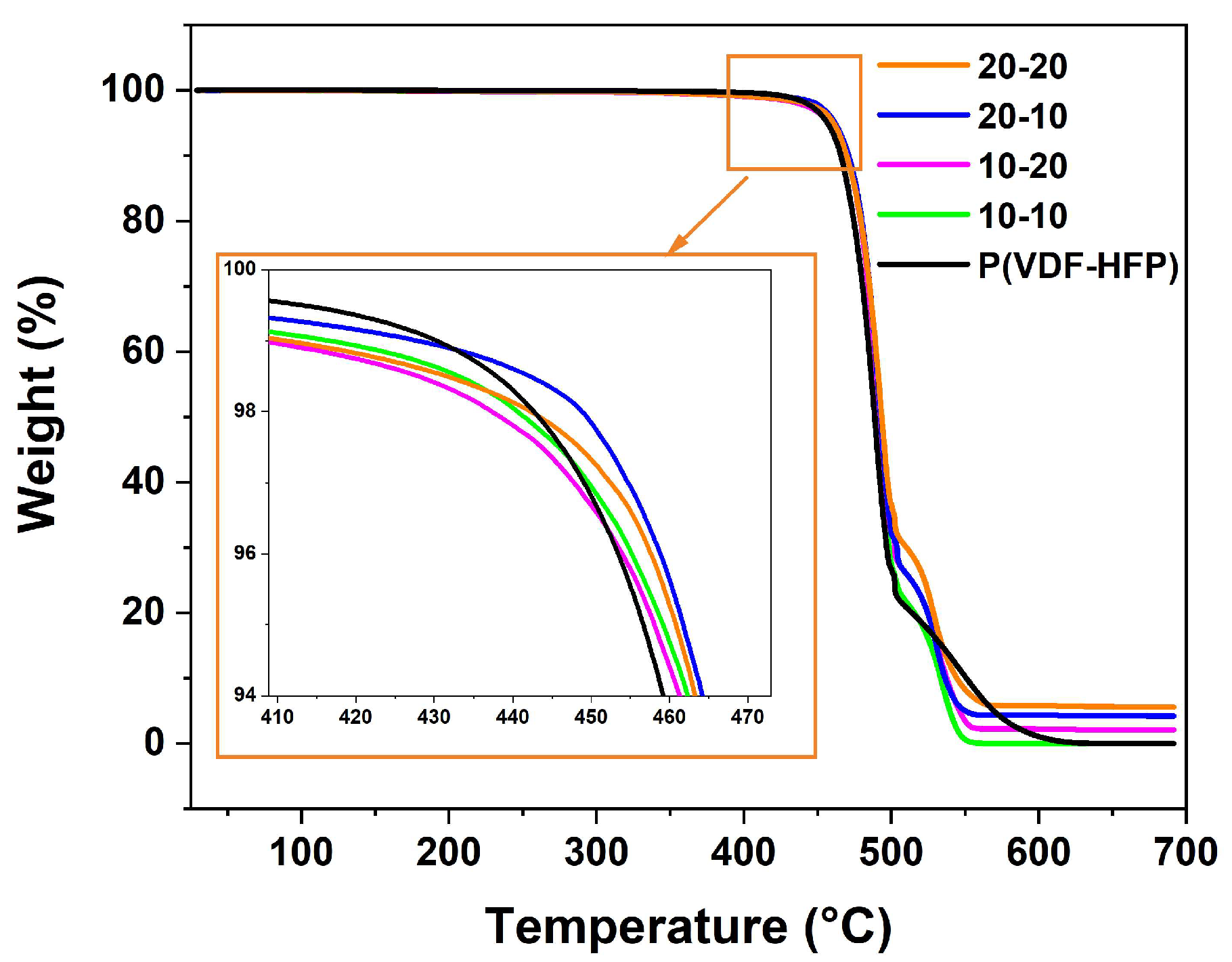
3.3. Thermogravimetric Analysis (TGA)
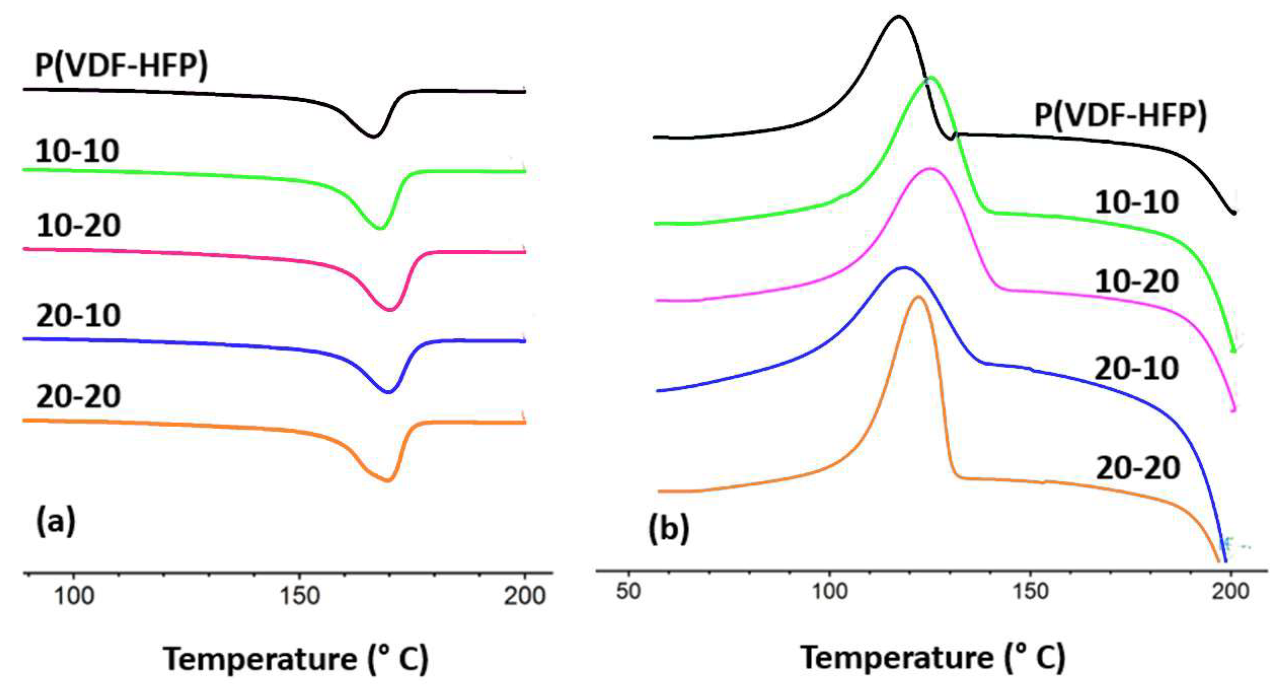
3.4. Differential Scanning Calorimetry (DSC)
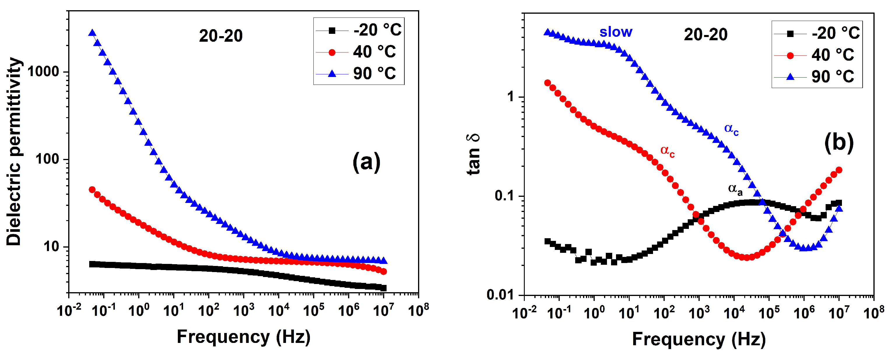
3.5. Dielectric Properties
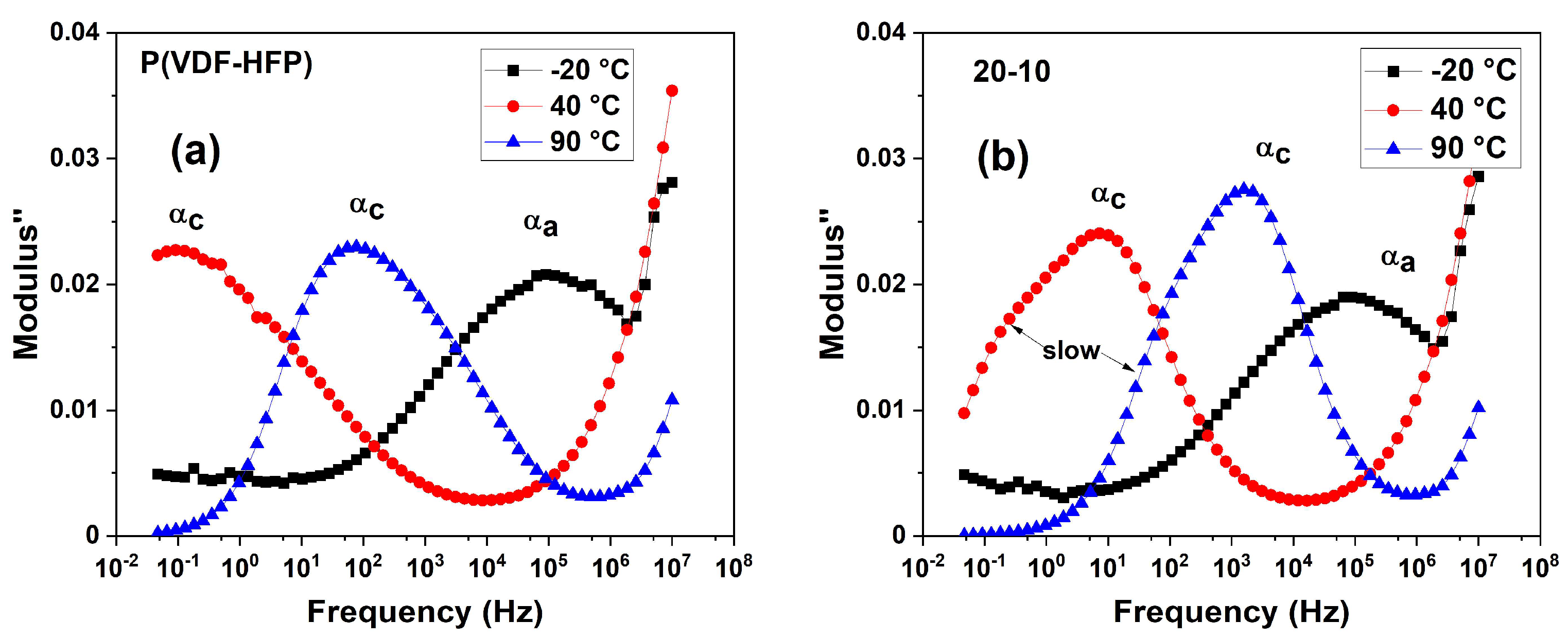
3.5.1. Dielectric Properties of P(VDF-co-HFP) Matrix
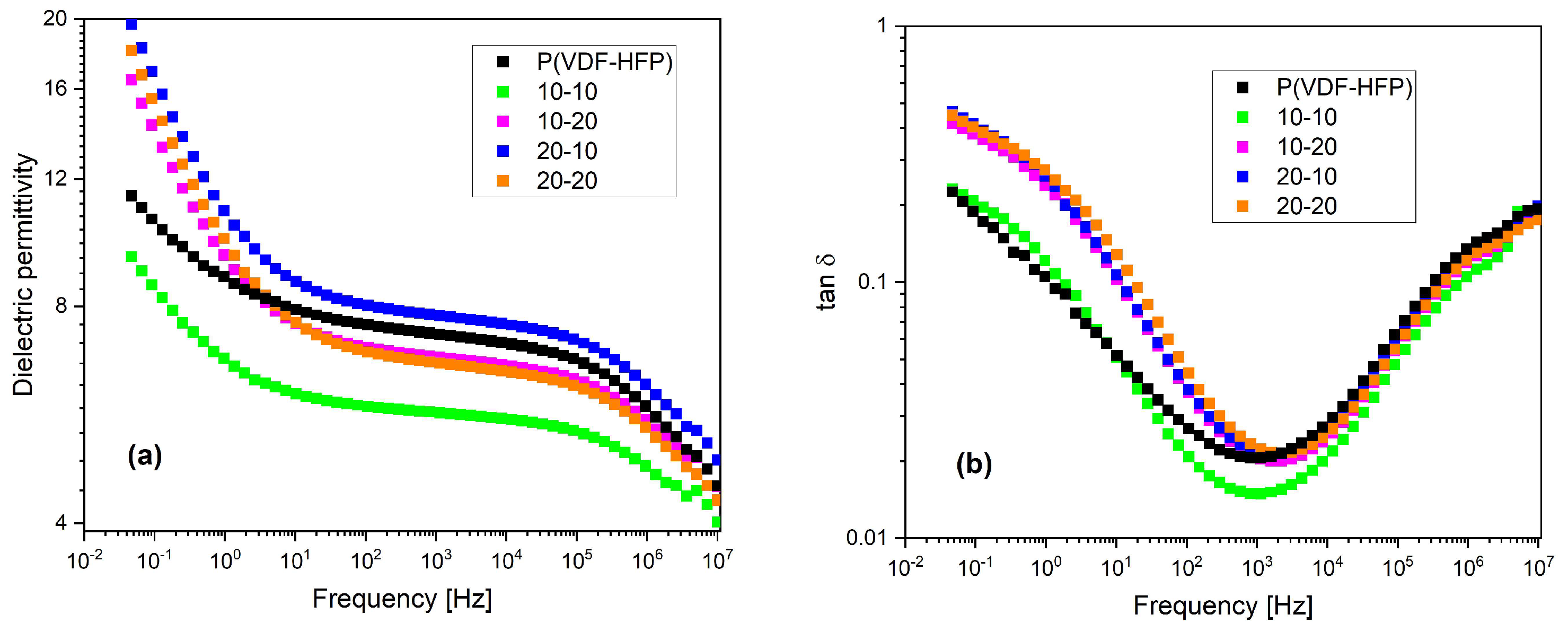
3.5.2. Dielectric Properties of Core–Double-Shell PVDF-g-BT/P(VDF-co-HFP) Nanocomposites
3.6. Mechanical Properties
4. Conclusions
- (i)
- The starting degradation temperature determined via TGA increases with the concentration of core–shell structures.
- (ii)
- Within an acceptable error, Young’s modulus is higher for all nanocomposites than for the polymer alone and rises with the PVDF shell volume.
- (iii)
- Tensile strength cannot be assigned a trend, because the error bars are comparable to the dispersion of data.
- (iv)
- The elongation at break decreases with the core–shell structure concentrations.
Supplementary Materials
Author Contributions
Funding
Institutional Review Board Statement
Data Availability Statement
Acknowledgments
Conflicts of Interest
References
- Yao, Z.; Song, Z.; Hao, H.; Yu, Z.; Cao, M.; Zhang, S.; Lanagan, M.T.; Liu, H. Homogeneous/inhomogeneous-structured dielectrics and their energy-storage performance. Adv. Mater. 2017, 29, 1601727. [Google Scholar] [CrossRef]
- Huang, X.; Jiang, P. Core-shell structured high-k polymer nanocomposites for energy storage and dielectric applications. Adv. Mater. 2015, 27, 546. [Google Scholar] [CrossRef]
- Li, Q.; Han, K.; Gadinski, M.R.; Zhang, G.; Wang, Q. High energy and power density capacitors from solution-processed ternary ferroelectric polymer nanocomposites. Adv. Mater. 2014, 26, 6244. [Google Scholar] [CrossRef]
- Chen, S.; Lv, X.; Han, X.; Luo, H.; Bowen, C.R.; Zhang, D. Significantly improved energy density of BaTiO3 nanocomposites by accurate interfacial tailoring using a novel rigid fluoropolymer. Polym. Chem. 2018, 9, 548. [Google Scholar] [CrossRef]
- He, Z.; Cao, Q.; Jing, B.; Wang, X.; Deng, Y. Gel electrolytes based on poly(vinylidenefluoride-co-hexafluoropropylene)/thermoplastic polyurethane/poly(methyl methacrylate) with in situ SiO2 for polymer lithium batteries. RSC Adv. 2017, 7, 3240. [Google Scholar] [CrossRef]
- Ur Rehman Farooqui, U.; Latif Ahmad, A.; Abdul Hameed, N. Influence of solvent and thickness variation on the performance of poly(vinylidene fluoride-co-hexafluoropropylene) polymer membrane. J. Phys. Sci. 2018, 29, 125. [Google Scholar] [CrossRef]
- Ahmad, A.L.; Farooqui, U.R.; Hamid, N.A. Effect of graphene oxide (GO) on poly(vinylidene fluoride-hexafluoropropylene) (PVDF-HFP) polymer electrolyte membrane. Polymer 2018, 142, 330. [Google Scholar] [CrossRef]
- Yu, J.; Wu, W.; Dai, D.; Song, Y.; Li, C.; Jiang, N. Crystal structure transformation and dielectric properties of polymer composites incorporating zinc oxide nanorods. Macromol. Res. 2014, 22, 19. [Google Scholar] [CrossRef]
- Martins, P.; Lopes, A.C.; Lanceros-Mendez, S. Electroactive phases of poly(vinylidene fluoride): Determination, processing and applications. Prog. Polym. Sci. 2014, 39, 683. [Google Scholar] [CrossRef]
- Goldbach, J.T.; Amin-Sanayei, R.; He, W.; Henry, J.; Kosar, W.; Lefebvre, A.; O’Brien, G.; Vaessen, D.; Wood, K.; Zerafati, S. Chapter 6: Commercial synthesis and applications of poly(vinylidene fluoride). In RSC Polymer Chemistry Series; Royal Society of Chemistry: Cambridge, UK, 2017; pp. 127–157. [Google Scholar] [CrossRef]
- Song, Y.; Shen, Y.; Liu, H.; Lin, Y.; Li, M.; Nan, C.-W. Improving the dielectric constants and breakdown strength of polymer composites: Effects of the shape of the BaTiO3 nanoinclusions, surface modification and polymer matrix. J. Mater. Chem. 2012, 22, 16491. [Google Scholar] [CrossRef]
- Ameduri, B. From vinylidene fluoride (VDF) to the applications of VDF-containing polymers and copolymers: Recent developments and future trends. Chem. Rev. 2009, 109, 6632. [Google Scholar] [CrossRef]
- Prateek; Thakur, V.K.; Gupta, R.K. Recent progress on ferroelectric polymer-based nanocomposites for high energy density capacitors: Synthesis, dielectric properties, and future aspects. Chem. Rev. 2016, 116, 4260. [Google Scholar] [CrossRef]
- Yang, K.; Huang, X.; Fang, L.; He, J.; Jiang, P. Fluoro-polymer functionalized graphene for flexible ferroelectric polymer-based high-k nanocomposites with suppressed dielectric loss and low percolation threshold. Nanoscale 2014, 6, 14740. [Google Scholar] [CrossRef]
- Guo, N.; DiBenedetto, S.A.; Tewari, P.; Lanagan, M.T.; Ratner, M.A.; Marks, T.J. Nanoparticle, size, shape, and interfacial effects on leakage current density, permittivity, and breakdown strength of metal oxide−polyolefin nanocomposites: Experiment and theory. Chem. Mater. 2010, 22, 1567. [Google Scholar] [CrossRef]
- Zhou, T.; Zha, J.-W.; Cui, R.-J.; Fan, B.-H.; Yuan, J.-K.; Dang, Z.-M. Improving dielectric properties of BaTiO3/ferroelectric polymer composites by employing surface hydroxylated BaTiO3 nanoparticles. ACS Appl. Mater. Interfaces 2011, 3, 2184. [Google Scholar] [CrossRef]
- Kim, B.P.; Jones, S.C.; Hotchkiss, P.J.; Haddock, J.N.; Kippelen, B.; Marder, S.R.; Perry, J.W. Phosphonic acid-modified barium titanate polymer nanocomposites with high permittivity and dielectric strength. Adv. Mater. 2007, 19, 1001. [Google Scholar] [CrossRef]
- Kim, P.; Doss, N.M.; Tillotson, J.P.; Hotchkiss, P.J.; Pan, M.-J.; Marder, S.R.; Li, J.; Calame, J.P.; Perry, J.W. High energy density nanocomposites based on surface-modified BaTiO3 and a ferroelectric polymer. ACS Nano 2009, 3, 2581. [Google Scholar] [CrossRef]
- Wang, S.; Xu, P.; Xu, X.; Kang, D.; Chen, J.; Li, Z.; Huang, X. Tailoring the electrical energy storage capability of dielectric polymer nanocomposites via engineering of the host–guest interface by phosphonic acids. Molecules 2022, 27, 7225. [Google Scholar] [CrossRef]
- Defebvin, J.; Barrau, S.; Lyskawa, J.; Woisel, P.; Lefebvre, J.-M. Influence of nitrodopamine-functionalized barium titanate content on the piezoelectric response of poly(vinylidene fluoride) based polymer-ceramic composites. Compos. Sci. Technol. 2017, 147, 16. [Google Scholar] [CrossRef]
- Horchidan, N.; Ciomaga, C.E.; Curecheriu, L.P.; Stoian, G.; Botea, M.; Florea, M.; Maraloiu, V.A.; Pintilie, L.; Tufescu, F.M.; Tiron, V.; et al. Increasing permittivity and mechanical harvesting response of PVDF-based flexible composites by using Ag nanoparticles onto BaTiO3 nanofillers. Nanomaterials 2022, 12, 934. [Google Scholar] [CrossRef]
- Guo, C.; Fuji, M. Effect of silicone coupling agent on dielectric properties of barium titanate/silicone elastomer composites. Adv. Powder Technol. 2016, 27, 1162. [Google Scholar] [CrossRef]
- Liu, S.; Xue, S.; Zhang, W.; Zhai, J. Enhanced dielectric and energy storage density induced by surface-modified BaTiO3 nanofibers in poly (vinylidene fluoride) nanocomposites. Ceram. Int. 2014, 40, 15633. [Google Scholar] [CrossRef]
- Dalle Vacche, S.; Oliveira, F.; Leterrier, Y.; Michaud, V.; Damjanovic, D.; Månson, J.-A.E. Effect of silane coupling agent on the morphology, structure, and properties of poly(vinylidene fluoride–trifluoroethylene)/BaTiO3 composites. J. Mater. Sci. 2014, 49, 4552. [Google Scholar] [CrossRef]
- Wang, J.; Guan, F.; Cui, L.; Pan, J.; Wang, Q.; Zhu, L. Achieving high electric energy storage in a polymer nanocomposite at low filling ratios using a highly polarizable phthalocyanine interphase. J. Polym. Sci. Part B Polym. Phys. 2014, 52, 1669. [Google Scholar] [CrossRef]
- Zhang, X.; Zhao, S.; Wang, F.; Ma, Y.; Wang, L.; Chen, D.; Zhao, C.; Yang, W. Improving dielectric properties of BaTiO3/poly(vinylidene fluoride) composites by employing core-shell structured BaTiO3@Poly(methylmethacrylate) and BaTiO3@Poly(trifluoroethyl methacrylate) nanoparticles. Appl. Surf. Sci. 2017, 403, 71. [Google Scholar] [CrossRef]
- Du, X.; Liu, Y.; Wang, J.; Niu, H.; Yuan, Z.; Zhao, S.; Zhang, X.; Cao, R.; Yin, Y.; Li, N.; et al. Improved triboelectric nanogenerator output performance through polymer nanocomposites filled with core–shell-structured particles. ACS Appl. Mater. Interfaces 2018, 10, 25683. [Google Scholar] [CrossRef]
- Hu, X.; Zhang, H.; Wu, D.; Yin, D.; Zhu, N.; Guo, K.; Lu, C. PVDF-based matrix with covalent bonded BaTiO3 nanowires enabled ultrahigh energy density and dielectric properties. Chem. Eng. J. 2023, 451, 138391. [Google Scholar] [CrossRef]
- Yang, K.; Huang, X.; Huang, Y.; Xie, L.; Jiang, P. Fluoro-polymer@BaTiO3 hybrid nanoparticles prepared via RAFT polymerization: Toward ferroelectric polymer nanocomposites with high dielectric constant and low dielectric loss for energy storage application. Chem. Mater. 2013, 25, 2327. [Google Scholar] [CrossRef]
- Yang, K.; Huang, X.; Zhu, M.; Xie, L.; Tanaka, T.; Jiang, P. Combining RAFT polymerization and thiol–ene click reaction for core–shell structured polymer@BaTiO3 nanodielectrics with high dielectric constant, low dielectric loss, and high energy storage capability. ACS Appl. Mater. Interfaces 2014, 6, 1812. [Google Scholar] [CrossRef]
- Zhang, X.; Chen, H.; Ma, Y.; Zhao, C.; Yang, W. Preparation and dielectric properties of core–shell structural composites of poly(1H,1H,2H,2H-perfluorooctyl methacrylate)@BaTiO3 nanoparticles. Appl. Surf. Sci. 2013, 277, 121. [Google Scholar] [CrossRef]
- Qian, K.; Lv, X.; Chen, S.; Luo, H.; Zhang, D. Interfacial engineering tailoring the dielectric behavior and energy density of BaTiO3/P(VDF-TrFE-CTFE) nanocomposites by regulating a liquid-crystalline polymer modifier structure. Dalt. Trans. 2018, 47, 12759. [Google Scholar] [CrossRef] [PubMed]
- Zhang, J.; Ma, J.; Zhang, L.; Zong, C.; Xu, A.; Zhang, Y.; Geng, B.; Zhang, S. Enhanced breakdown strength and suppressed dielectric loss of polymer nanocomposites with BaTiO3 fillers modified by fluoropolymer. RSC Adv. 2020, 10, 7065. [Google Scholar] [CrossRef]
- Ma, J.; Azhar, U.; Zong, C.; Zhang, Y.; Xu, A.; Zhai, C.; Zhang, L.; Zhang, S. Core-shell structured PVDF@BT nanoparticles for dielectric materials: A novel composite to prove the dependence of dielectric properties on ferroelectric shell. Mater. Des. 2019, 164, 107556. [Google Scholar] [CrossRef]
- Bouharras, F.E.; Raihane, M.; Silly, G.; Totee, C.; Ameduri, B. Core shell structured poly(vinylidene fluoride)-grafted-BaTiO3 nanocomposites prepared via Reversible Addition fragmentation chain transfer (RAFT) polymerization of VDF for high energy storage capacitors. Polym. Chem. 2019, 10, 891. [Google Scholar] [CrossRef]
- Bouharras, F.E.; Raihane, M.; Ameduri, B. Recent progress on core-shell structured BaTiO3@polymer/fluorinated polymers nanocomposites for high energy storage: Synthesis, dielectric properties and applications. Prog. Mater. Sci. 2020, 113, 100670. [Google Scholar] [CrossRef]
- Jiang, Y.; Zhang, Z.; Zhou, Z.; Yang, H.; Zhang, Q. Enhanced dielectric performance of P(VDF-HFP) composites with satellite–core-structured Fe2O3@BaTiO3 nanofillers. Polymers 2019, 11, 1541. [Google Scholar] [CrossRef]
- Pan, H.; Weng, L.; Wang, X.; Zhang, X.; Guan, L.; Shi, J. Enhanced dielectric properties of poly(vinylidene fluoride-co-hexafluoropropylene) composites using oriented ZnFe2O4@BaTiO3 rod. J. Mater. Sci. Mater. Electron. 2023, 34, 389. [Google Scholar] [CrossRef]
- Zheng, W.; Li, X.; Lin, Y.; Gang, Y.; Liu, L.; Chen, L.; Dan, Y.; Cheng, X. Influence of BaTiO3 morphology on BaTiO3/P(VDF-HFP) electrolyte for self-charging sodium-ion batteries. Solid State Ion. 2023, 393, 116183. [Google Scholar] [CrossRef]
- Bouharras, F.E.; Labardi, M.; Tombari, E.; Capaccioli, S.; Raihane, M.; Améduri, B. Dielectric characterization of core-shell structured poly(vinylidene fluoride)-grafted-BaTiO3 nanocomposites. Polymers 2023, 15, 595. [Google Scholar] [CrossRef]
- Cai, X.; Lei, T.; Sun, D.; Lin, L. A critical analysis of the α, β and γ phases in poly(vinylidene fluoride) using FTIR. RSC Adv. 2017, 7, 15382. [Google Scholar] [CrossRef]
- Kumar, P.; Yu, S.; Shahzad, F.; Hong, S.M.; Kim, Y.-H.; Koo, C.M. Ultrahigh electrically and thermally conductive self-aligned graphene/polymer composites using large-area reduced graphene oxides. Carbon 2016, 101, 120. [Google Scholar] [CrossRef]
- Tian, X.; Jiang, X. Poly(vinylidene fluoride-co-hexafluoropropene) (PVDF-HFP) membranes for ethyl acetate removal from water. J. Hazard. Mater. 2008, 153, 128. [Google Scholar] [CrossRef] [PubMed]
- Schneider, M.; Maurath, J.; Fischer, S.B.; Weiss, M.; Willenbacher, N.; Koos, E. Suppressing crack formation in particulate systems by utilizing capillary forces. ACS Appl. Mater. Interfaces 2017, 9, 11095. [Google Scholar] [CrossRef]
- Yadavalli, S.K.; Chen, M.; Hu, M.; Dai, Z.; Zhou, Y.; Padture, N.P. Electron-beam-induced cracking in organic-inorganic halide perovskite thin films. Scr. Mater. 2020, 187, 88. [Google Scholar] [CrossRef]
- Ilsouk, M.; Raihane, M.; Rhouta, B.; Meri, R.M.; Zicans, J.; Vecstaudža, J.; Lahcini, M. The relationship of structure, thermal and water vapor permeability barrier properties of poly(butylene succinate)/organomodified beidellite clay bionanocomposites prepared by in situ polycondensation. RSC Adv. 2020, 10, 37314. [Google Scholar] [CrossRef]
- Tarascon, J.M.; Gozdz, A.S.; Schmutz, C.; Shokoohi, F.; Warren, P.C. Performance of Bellcore’s plastic rechargeable Li-ion batteries. Solid State Ion. 1996, 86–88, 49. [Google Scholar] [CrossRef]
- Zhang, Q.; Jiang, Y.; Yu, E.; Yang, H. Significantly enhanced dielectric properties of P(VDF-HFP) composite films filled with core-shell BaTiO3@PANI nanoparticles. Surf. Coat. Technol. 2019, 358, 293. [Google Scholar] [CrossRef]
- Yu, D.; Xu, N.X.; Hu, L.; Zhang, Q.L.; Yang, H. Nanocomposites with BaTiO3-SrTiO3 hybrid fillers exhibiting enhanced dielectric behaviours and energy-storage densities. J. Mater. Chem. C 2015, 3, 4016. [Google Scholar] [CrossRef]
- Kremer, F.; Schönhals, A. Broadband Dielectric Spectroscopy; Springer: Heidelberg, Germany, 2003. [Google Scholar]
- Zhao, X.; Liu, W.; Jiang, X.; Liu, K.; Peng, G.; Zhan, Z. Exploring the relationship of dielectric relaxation behavior and discharge efficiency of P(VDF-HFP)/PMMA blends by dielectric spectroscopy. Mater. Res. Express 2016, 3, 75304. [Google Scholar] [CrossRef]
- Kochervinskij, V.V.; Malyshkina, I.A.; Bessonova, N.P.; Suljanov, S.N.; Dembo, K.A. Effect of recrystallization on the molecular mobility of a copolymer of vinylidene fluoride and hexafluoropropylene. J. Appl. Polym. Sci. 2011, 120, 13. [Google Scholar] [CrossRef]
- Castelvetro, V.; Capaccioli, S.; Raihane, M.; Atlas, S. Complex dynamics of a fluorinated vinylidene cyanide copolymer highlighted by dielectric relaxation spectroscopy. Macromolecules 2016, 49, 5104. [Google Scholar] [CrossRef]
- Tohluebaji, N.; Putson, C.; Muensit, N. High electromechanical deformation based on structural beta-phase content and electrostrictive properties of electrospun poly(vinylidene fluoride- hexafluoropropylene) nanofibers. Polymers 2019, 11, 1817. [Google Scholar] [CrossRef]
- Peng, G.; Zhao, X.; Zhan, Z.; Ci, S.; Wang, Q.; Liang, Y.; Zhao, M. New crystal structure and discharge efficiency of poly(vinylidene fluoride-hexafluoropropylene)/poly(methyl methacrylate) blend films. RSC Adv. 2014, 4, 16849. [Google Scholar] [CrossRef]
- Frübing, P.; Wang, F.; Wegener, M. Relaxation processes and structural transitions in stretched films of polyvinylidene fluoride and its copolymer with hexafluoropropylene. Appl. Phys. A 2012, 107, 603. [Google Scholar] [CrossRef]
- Zhao, X.; Li, C.; Zhu, T.; Ren, N.; Han, X.; Peng, G. Study on relaxation process of fluorinated graphite/poly(vinylidene fluoride-hexafluoropropylene) composites by dielectric relaxation spectroscopy. Mater. Res. Express 2019, 6, 065323. [Google Scholar] [CrossRef]
- Xu, N.; Hu, L.; Zhang, Q.; Xiao, X.; Yang, H.; Yu, E. Significantly enhanced dielectric performance of poly(vinylidene fluoride-co-hexafluoropylene)-based composites filled with hierarchical flower-like TiO2 Particles. ACS Appl. Mater. Interfaces 2015, 7, 27373. [Google Scholar] [CrossRef] [PubMed]
- Li, Y.; Huang, X.; Hu, Z.; Jiang, P.; Li, S.; Tanaka, T. Large dielectric constant and high thermal conductivity in poly(vinylidene fluoride)/barium titanate/silicon carbide three-phase nanocomposites. ACS Appl. Mater. Interfaces 2011, 3, 4396. [Google Scholar] [CrossRef]
- Khodaparast, P.; Ounaies, Z. On the dielectric and mechanical behavior of metal oxide-modified PVDF-based nanocomposites. In ASME 2013 Conference on Smart Materials, Adaptive Structures and Intelligent Systems SMASIS; American Society of Mechanical Engineers: New York, NY, USA, 2013. [Google Scholar] [CrossRef]
- Chanmal, C.V.; Jog, J.P. Dielectric relaxations in PVDF/BaTiO3 nanocomposites. Express Polym. Lett. 2008, 2, 294. [Google Scholar] [CrossRef]
- Yu, K.; Bai, Y.; Zhou, Y.; Niu, Y.; Wang, H.; Yu, K.; Bai, Y.; Zhou, Y.; Niu, Y.; Wang, H. Poly(vinylidene fluoride) polymer based nanocomposites with enhanced energy density by filling with polyacrylate elastomers and BaTiO3 nanoparticles. Appl. Phys. Lett. 2014, 104, 082904. [Google Scholar] [CrossRef]
- Tsangaris, G.M.; Kouloumbi, N.; Kyvelidis, S. Interfacial relaxation phenomena in particulate composites of epoxy resin with copper or iron particles. Mater. Chem. Phys. 1996, 44, 245. [Google Scholar] [CrossRef]
- Psarras, G.; Manolakaki, E.; Tsangaris, G. Electrical relaxations in polymeric particulate composites of epoxy resin and metal particles. Compos. Part A Appl. Sci. Manuf. 2002, 33, 375. [Google Scholar] [CrossRef]
- Rekik, H.; Ghallabi, Z.; Royaud, I.; Arous, M.; Seytre, G.; Boiteux, G.; Kallel, A. Dielectric relaxation behaviour in semi-crystalline polyvinylidene fluoride (PVDF)/TiO2 nanocomposites. Compos. Part B Eng. 2013, 45, 1199. [Google Scholar] [CrossRef]
- Liu, S.; Xue, S.; Shen, B.; Zhai, J. Reduced energy loss in poly(vinylidene fluoride) nanocomposites by filling with a small loading of core-shell structured BaTiO3/SiO2 nanofibers. Appl. Phys. Lett. 2015, 107, 032907. [Google Scholar] [CrossRef]
- Gong, Y.; Zhou, W.; Wang, Z.; Xu, L.; Kou, Y.; Cai, H.; Liu, X.; Chen, Q.; Dang, Z.M. Towards suppressing dielectric loss of GO/PVDF nanocomposites with TA-Fe coordination complexes as an interface layer. J. Mater. Sci. Technol. 2018, 34, 2415. [Google Scholar] [CrossRef]
- Parodi, E.; Govaert, L.E.; Peters, G.W.M. Glass transition temperature versus structure of polyamide 6: A flash-DSC study. Thermochim. Acta 2017, 657, 110. [Google Scholar] [CrossRef]
- Fornes, T.D.; Hunter, D.L.; Paul, D.R. Nylon-6 nanocomposites from alkylammonium-modified clay: The role of alkyl tails on exfoliation. Macromolecules 2004, 37, 1793. [Google Scholar] [CrossRef]
- Yoon, P.J.; Hunter, D.L.; Paul, D.R. Polycarbonate nanocomposites. Part 1. Effect of organoclay structure on morphology and properties. Polymer 2003, 44, 5323. [Google Scholar] [CrossRef]
- Ponnamma, D.; Al-Maadeed, M.A.A. Influence of BaTiO3/white graphene filler synergy on the energy harvesting performance of a piezoelectric polymer nanocomposite. Sustain. Energy Fuels 2019, 3, 774. [Google Scholar] [CrossRef]
- Tarhini, A.A.; Tehrani-Bagha, A.R. Graphene-based polymer composite films with enhanced mechanical properties and ultra-high in-plane thermal conductivity. Compos. Sci. Technol. 2019, 184, 107797. [Google Scholar] [CrossRef]
- Bouharras, F.E.; Raihane, M.; Baccour, M.; Louvain, N.; Ameduri, B. Evaluation of core–shell poly(vinylidene fluoride)-grafted-Barium titanate (PVDF-g-BaTiO3) nanocomposites as a cathode binder in batteries. Solid State Ion. 2020, 356, 115441. [Google Scholar] [CrossRef]
















| Sample Composition PVDF-g-BT x%/P(VDF-co-HFP) (X/Y) | Code x-X | x% = BT/VDF Feed Mass inPVDF-g-BT * | X/Y Mass Ratio PVDF-g-BT x%/ P(VDF-co-HFP) in PVDF-g-BT/P(VDF-co-HFP) | 
|---|---|---|---|
| 10%/(10/90) | 10-10 | 10 | 10/90 | 
| 10%/(20/80) | 10-20 | 10 | 20/80 | 
| 20%/(10/90) | 20-10 | 20 | 10/90 | 
| 20%/(20/80) | 20-20 | 20 | 20/80 | 
| Samples | Td (°C) | Weight Loss (%) at 650 °C | 
|---|---|---|
| P(VDF-co-HFP) | 446 | 99.9 | 
| 10-10 | 459 | 99.9 | 
| 10-20 | 460 | 97.8 | 
| 20-10 | 462 | 95.7 | 
| 20-20 | 464 | 94.4 | 
| Samples | ΔHm (J/g) | Tc (°C) | Tm (°C) | χ (%) | 
|---|---|---|---|---|
| P(VDF-co-HFP) | 19 | 117 | 167 | 18 | 
| 10-10 | 23 | 125 | 168 | 22 | 
| 10-20 | 24 | 125 | 170 | 23 | 
| 20-10 | 22 | 119 | 170 | 21 | 
| 20-20 | 26 | 122 | 170 | 25 | 
| Samples | BT vol % | PVDF vol % | P(VDF-co-HFP) vol % | 
|---|---|---|---|
| P(VDF-co-HFP) | 0 | 0 | 100 | 
| 10-10 | 0.5 | 8.5 | 91.0 | 
| 10-20 | 1.0 | 17.2 | 81.8 | 
| 20-10 | 1.1 | 6.4 | 92.5 | 
| 20-20 | 2.4 | 13.1 | 84.5 | 
| Samples | Log f0 | Δε | a | b | 
|---|---|---|---|---|
| P(VDF-co-HFP) | 0.21 | 3.22 | 0.60 | 0.58 | 
| 10-10 | 0.12 | 14.9 | 0.64 | 0.82 | 
| 10-20 | 0.45 | 13.3 | 0.56 | 1 | 
| 20-10 | −0.06 | 5.3 | 0.61 | 0.77 | 
| 20-20 | 0.03 | 15.7 | 0.54 | 1 | 
| Samples | Log fA | Ea (kJ mol−1) | COD | |||
|---|---|---|---|---|---|---|
| αc | Slow | αc | Slow | αc | Slow | |
| P(VDF-co-HFP) | 19.37 | - | 121.8 | - | 0.99 | - | 
| 10-10 | 18.54 | 17.50 | 109.3 | 113.4 | 0.99 | 0.99 | 
| 10-20 | 18.44 | 16.26 | 105.7 | 102.8 | 0.99 | 0.97 | 
| 20-10 | 18.04 | 17.86 | 102.7 | 111.5 | 0.99 | 0.99 | 
| 20-20 | 17.57 | 18.54 | 104.7 | 114.8 | 0.99 | 0.99 | 
| Samples | Log fA | Ea (kJ mol−1) | COD | 
|---|---|---|---|
| P(VDF-co-HFP) | 14.8 ± 0.4 | 52.0 ± 1.3 | 0.994 | 
| 10-10 | 14.6 ± 0.6 | 50.8 ± 2.3 | 0.982 | 
| 10-20 | 14.5 ± 0.5 | 50.6 ± 2.3 | 0.985 | 
| 20-10 | 14.5 ± 0.7 | 50.83 ± 2.7 | 0.978 | 
| 20-20 | 15.3 ± 0.7 | 53.9 ± 2.7 | 0.981 | 
| Disclaimer/Publisher’s Note: The statements, opinions and data contained in all publications are solely those of the individual author(s) and contributor(s) and not of MDPI and/or the editor(s). MDPI and/or the editor(s) disclaim responsibility for any injury to people or property resulting from any ideas, methods, instructions or products referred to in the content. | 
© 2023 by the authors. Licensee MDPI, Basel, Switzerland. This article is an open access article distributed under the terms and conditions of the Creative Commons Attribution (CC BY) license (https://creativecommons.org/licenses/by/4.0/).
Share and Cite
Bouharras, F.E.; Atlas, S.; Capaccioli, S.; Labardi, M.; Hajlane, A.; Ameduri, B.; Raihane, M. Synthesis and Characterization of Core–Double-Shell-Structured PVDF-grafted-BaTiO3/P(VDF-co-HFP) Nanocomposite Films. Polymers 2023, 15, 3126. https://doi.org/10.3390/polym15143126
Bouharras FE, Atlas S, Capaccioli S, Labardi M, Hajlane A, Ameduri B, Raihane M. Synthesis and Characterization of Core–Double-Shell-Structured PVDF-grafted-BaTiO3/P(VDF-co-HFP) Nanocomposite Films. Polymers. 2023; 15(14):3126. https://doi.org/10.3390/polym15143126
Chicago/Turabian StyleBouharras, Fatima Ezzahra, Salima Atlas, Simone Capaccioli, Massimiliano Labardi, Abdelghani Hajlane, Bruno Ameduri, and Mustapha Raihane. 2023. "Synthesis and Characterization of Core–Double-Shell-Structured PVDF-grafted-BaTiO3/P(VDF-co-HFP) Nanocomposite Films" Polymers 15, no. 14: 3126. https://doi.org/10.3390/polym15143126
APA StyleBouharras, F. E., Atlas, S., Capaccioli, S., Labardi, M., Hajlane, A., Ameduri, B., & Raihane, M. (2023). Synthesis and Characterization of Core–Double-Shell-Structured PVDF-grafted-BaTiO3/P(VDF-co-HFP) Nanocomposite Films. Polymers, 15(14), 3126. https://doi.org/10.3390/polym15143126
 
        





 
       