The Specific Encapsulation of Procyanidins from Litchi Peel and Coffee Pulp Extracts via Spray-Drying Using Green Polymers
Abstract
:1. Introduction
2. Materials and Methods
2.1. Materials and Reagents
2.2. Plant Material
2.3. Encapsulation Matrix Selection
2.3.1. Extract Preparation
2.3.2. Quantification of Procyanidin Content in Litchi and Coffee Extracts
2.3.3. Microcapsules Preparation
2.3.4. Release Technique
2.3.5. Encapsulation Efficiency (EE)
2.4. Optimization of the Encapsulation Process
2.4.1. Development of Taguchi Methodology
2.4.2. Encapsulation of the Extracts with the Selected Matrix
2.4.3. Encapsulation Efficiency Based on Procyanidin Content
2.4.4. Total Polyphenols in Microcapsules
2.5. Evaluation of Antioxidant Activity
2.5.1. ABTS
2.5.2. DPPH
2.5.3. Lipid Oxidation Inhibition (LOI)
2.5.4. Morphological Characterization of the Microcapsules
2.6. Statistical Analysis
3. Results
3.1. Selection of the Encapsulation Matrix
3.1.1. Procyanidin Content of Extracts
3.1.2. Encapsulation Efficiency of Each Matrix
3.2. Optimization of the Encapsulation Process
3.2.1. Encapsulation Efficiency of Procyanidins and Total Polyphenols
3.2.2. Encapsulation Efficiency of Procyanidins and Total Polyphenols of Coffee Encapsulates
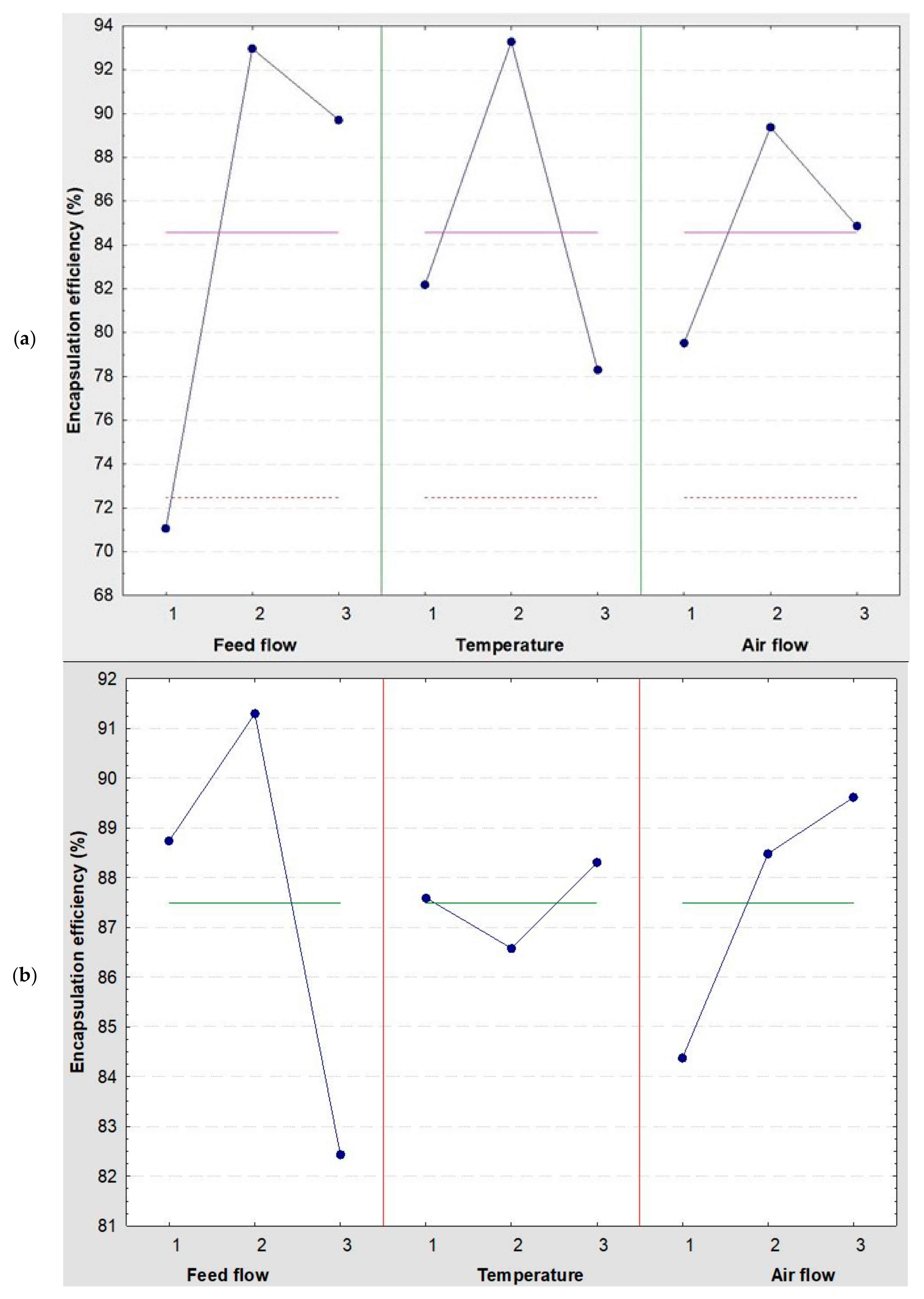
3.2.3. Taguchi Analysis
Relative Influence of Encapsulation Factors
Individual Performance of Encapsulation Factors
Optimal Encapsulation Conditions
Experimental Validation of Optimum Encapsulation Conditions
3.3. Evaluation of Antioxidant Activity
Microcapsule Morphology
4. Discussion
4.1. Procyanidins in Extracts and Encapsulation Matrix Selection
4.2. Optimization of Procyanidin Encapsulation
4.3. Microencapsulates Antioxidant Capacity and Morphology
5. Conclusions
Supplementary Materials
Author Contributions
Funding
Institutional Review Board Statement
Data Availability Statement
Conflicts of Interest
References
- Rue, E.A.; Rush, M.D.; Van Breemen, R.B. Procyanidins: A Comprehensive Review Encompassing Structure Elucidation via Mass Spectrometry. Phytochem. Rev. 2018, 17, 1–16. [Google Scholar] [CrossRef] [PubMed]
- Li, A.N.; Li, S.; Zhang, Y.J.; Xu, X.R.; Chen, Y.M.; Li, H. Bin Resources and Biological Activities of Natural Polyphenols. Nutrients 2014, 6, 6020–6047. [Google Scholar] [CrossRef] [PubMed]
- Quiñones, M.; Miguel, M.; Aleixandre, A. Los Polifenoles, Compuestos de Origen Natural Con Efectos Saludables Sobre El Sistema Cardiovascular. Nutr. Hosp. 2012, 27, 76–89. [Google Scholar] [CrossRef]
- Bartosz, T.; Irene, T. Polyphenols Encapsulation—Application of Innovation Technologies to Improve Stability of Natural Products. Phys. Sci. Rev. 2019, 1, 20150005. [Google Scholar] [CrossRef]
- Reshef, N.; Agam, N.; Fait, A. Grape Berry Acclimation to Excessive Solar Irradiance Leads to Repartitioning between Major Flavonoid Groups. J. Agric. Food Chem. 2018, 66, 3624–3636. [Google Scholar] [CrossRef] [PubMed]
- Deprez, S.; Brezillon, C.; Rabot, S.; Philippe, C.; Mila, I.; Lapierre, C.; Scalbert, A. Polymeric Proanthocyanidins Are Catabolized by Human Colonic Microflora into Low-Molecular-Weight Phenolic Acids. J. Nutr. 2018, 130, 2733–2738. [Google Scholar] [CrossRef] [PubMed]
- Serna-Jiménez, J.A.; Torres-Valenzuela, L.S.; Martínez Cortínez, K.; Hernández Sandoval, M.C. Aprovechamiento de La Pulpa de Café Como Alternativa de Valorización de Subproductos. Rev. ION 2018, 31, 37–42. [Google Scholar] [CrossRef]
- Ramirez-Coronel, M.A.; Marnet, N.; Kolli, V.S.K.; Roussos, S.; Guyot, S.; Augur, C. Characterization and Estimation of Proanthocyanidins and Other Phenolics in Coffee Pulp (Coffea, Arabica) by Thiolysis-High-Performance Liquid Chromatography. J. Agric. Food Chem. 2004, 52, 1344–1349. [Google Scholar] [CrossRef]
- Massounga Bora, A.F.; Ma, S.; Li, X.; Liu, L. Application of Microencapsulation for the Safe Delivery of Green Tea Polyphenols in Food Systems: Review and Recent Advances. Food Res. Int. 2018, 105, 241–249. [Google Scholar] [CrossRef]
- Martín, G.D.A. Los Compuestos Fenólicos: Un Acercamiento A Su Biosíntesis, Síntesis Y Actividad Biológica. Rev. Investig. Agrar. Ambient. 2018, 9, 81–104. [Google Scholar] [CrossRef]
- Papoutsis, K.; Golding, J.B.; Vuong, Q.; Pristijono, P.; Stathopoulos, C.E.; Scarlett, C.J.; Bowyer, M. Encapsulation of Citrus By-Product Extracts by Spray-Drying and Freeze-Drying Using Combinations of Maltodextrin with Soybean Protein and ι-Carrageenan. Foods 2018, 7, 115. [Google Scholar] [CrossRef] [PubMed]
- Ćujić-Nikolić, N.; Stanisavljević, N.; Šavikin, K.; Kalušević, A.; Nedović, V.; Samardžić, J.; Janković, T. Chokeberry Polyphenols Preservation Using Spray Drying: Effect of Encapsulation Using Maltodextrin and Skimmed Milk on Their Recovery Following in Vitro Digestion. J. Microencapsul. 2019, 36, 693–703. [Google Scholar] [CrossRef] [PubMed]
- Rehman, A.; Ahmad, T.; Aadil, R.M.; Spotti, M.J.; Bakry, A.M.; Khan, I.M.; Zhao, L.; Riaz, T.; Tong, Q. Pectin Polymers as Wall Materials for the Nano-Encapsulation of Bioactive Compounds. Trends Food Sci. Technol. 2019, 90, 35–46. [Google Scholar] [CrossRef]
- Poozesh, S.; Bilgili, E. Scale-up of Pharmaceutical Spray Drying Using Scale-up Rules: A Review. Int. J. Pharm. 2019, 562, 271–292. [Google Scholar] [CrossRef] [PubMed]
- Aguirre, A.; Borneo, R. Improving bioavailability of polyphenols using nanodelivery systems based on food polymers. In Polyphenols in Plants: Isolation, Purification and Extract Preparation; Watson, R.R., Ed.; Academic Press: London, UK, 2019; pp. 59–65. ISBN 978-0-12-813768-0. [Google Scholar]
- Porter, L.J.; Hrstich, L.N.; Chan, B.G. The Conversion of Procyanidins and Prodelphinidins to Cyanidin and Delphinidin. Phytochemistry 1986, 2, 223–230. [Google Scholar] [CrossRef]
- Nossa González, D.L.; Talero Pérez, Y.V.; Rozo Núñez, W.E. Determinación Del Contenido de Polifenoles y Actividad Antioxidante de Los Extractos Polares de Comfrey (Symphytum officinale L). Rev. Cuba. Plantas Med. 2016, 21, 125–132. [Google Scholar]
- Castro-López, C.; Bautista-Hernández, I.; González-Hernández, M.D.; Martínez-Ávila, G.C.G.; Rojas, R.; Gutiérrez-Díez, A.; Medina-Herrera, N.; Aguirre-Arzola, V.E. Polyphenolic Profile and Antioxidant Activity of Leaf Purified Hydroalcoholic Extracts from Seven Mexican Persea Americana Cultivars. Molecules 2019, 24, 173. [Google Scholar] [CrossRef] [PubMed]
- Miranda-Hernández, A.M.; Muñiz-Márquez, D.B.; Wong-Paz, J.E.; Aguilar-Zárate, P.; de la Rosa-Hernández, M.; Larios-Cruz, R.; Aguilar, C.N. Characterization by HPLC–ESI–MS2 of Native and Oxidized Procyanidins from Litchi (Litchi chinensis) Pericarp. Food Chem. 2019, 291, 126–131. [Google Scholar] [CrossRef]
- Pereira, L. Composición Química de La Pulpa de Café a Diferentes Tiempos de Ensilaje Para Su Uso Potencial En La Alimentación Animal. Zootec. Trop. 2009, 27, 135–141. [Google Scholar]
- Ge, Y.W.; Zhu, S.; Kazuma, K.; Wei, S.L.; Yoshimatsu, K.; Komatsu, K. Molecular Ion Index Assisted Comprehensive Profiling of B-Type Oligomeric Proanthocyanidins in Rhubarb by High Performance Liquid Chromatography-Tandem Mass Spectrometry. Anal. Bioanal. Chem. 2016, 408, 3555–3570. [Google Scholar] [CrossRef]
- Ballesteros, L.F.; Ramirez, M.J.; Orrego, C.E.; Teixeira, J.A.; Mussatto, S.I. Encapsulation of Antioxidant Phenolic Compounds Extracted from Spent Coffee Grounds by Freeze-Drying and Spray-Drying Using Different Coating Materials. Food Chem. 2017, 237, 623–631. [Google Scholar] [CrossRef] [PubMed]
- Cuevas-Bernardino, J.C.; Perez-Alonso, C.; Nieto-Angel, R.; Aguirre-Mandujano, E. Microencapsulation of Grape Seed Oil by Spray Drying Using Whey Protein and Hawthorn Pectin. Ing. Agrícola Biosist. 2019, 11, 127–145. [Google Scholar] [CrossRef]
- Robert, P.; Gorena, T.; Romero, N.; Sepulveda, E.; Chavez, J.; Saenz, C. Encapsulation of Polyphenols and Anthocyanins from Pomegranate (Punica granatum) by Spray Drying. Int. J. Food Sci. Technol. 2010, 45, 1386–1394. [Google Scholar] [CrossRef]
- Akhavan Mahdavi, S.; Jafari, S.M.; Assadpoor, E.; Dehnad, D. Microencapsulation Optimization of Natural Anthocyanins with Maltodextrin, Gum Arabic and Gelatin. Int. J. Biol. Macromol. 2017, 85, 379–385. [Google Scholar] [CrossRef] [PubMed]
- Jakobek, L. Interactions of Polyphenols with Carbohydrates, Lipids and Proteins. Food Chem. 2015, 175, 556–567. [Google Scholar] [CrossRef] [PubMed]
- Bautista-Ortín, A.B.; Cano-Lechuga, M.; Ruiz-García, Y.; Gómez-Plaza, E. Interactions between Grape Skin Cell Wall Material and Commercial Enological Tannins. Practical Implications. Food Chem. 2014, 152, 558–565. [Google Scholar] [CrossRef] [PubMed]
- Santiago-Adame, R.; Medina-Torres, L.; Gallegos-Infante, J.A.; Calderas, F.; González-Laredo, R.F.; Rocha-Guzmán, N.E.; Ochoa-Martínez, L.A.; Bernad-Bernad, M.J. Spray Drying-Microencapsulation of Cinnamon Infusions (Cinnamomum zeylanicum) with Maltodextrin. LWT—Food Sci. Technol. 2015, 64, 571–577. [Google Scholar] [CrossRef]
- Wong-Paz, J.E.; Guyot, S.; Aguilar-Zárate, P.; Muñiz-Márquez, D.B.; Contreras-Esquivel, J.C.; Aguilar, C.N. Structural Characterization of Native and Oxidized Procyanidins (Condensed tannins) from Coffee Pulp (Coffea arabica) Using Phloroglucinolysis and Thioglycolysis-HPLC-ESI-MS. Food Chem. 2020, 340, 127830. [Google Scholar] [CrossRef]
- Li, S.; Xiao, J.; Chen, L.; Hu, C.; Chen, P.; Xie, B.; Sun, Z. Identification of A-Series Oligomeric Procyanidins from Pericarp of Litchi chinensis by FT-ICR-MS and LC-MS. Food Chem. 2012, 135, 31–38. [Google Scholar] [CrossRef]
- Kalušević, A.M.; Lević, S.M.; Čalija, B.R.; Milić, J.R.; Pavlović, V.B.; Bugarski, B.M.; Nedović, V.A. Effects of Different Carrier Materials on Physicochemical Properties of Microencapsulated Grape Skin Extract. J. Food Sci. Technol. 2017, 54, 3411–3420. [Google Scholar] [CrossRef]
- Zhang, L.; Mou, D.; Du, Y. Procyanidins: Extraction and Microencapsulation. J. Sci. Food Agric. 2007, 1243, 1237–1243. [Google Scholar]
- Romano, A.; Masi, P.; Pucci, E.; Oliviero, V.; Ferranti, P. Encapsulated Proanthocyanidins as Novel Ingredients. Chem. Eng. Trans. 2017, 57, 1885–1890. [Google Scholar] [CrossRef]
- Contreras Martínez, M. Evaluación de Las Propiedades Encapsulantes de Ácidos Grasos Poli-Insaturados Microencapsulados En Diferentes Matrices Proteínicas; Universidad Autonoma Del Estado De México: Toluca, Mexico, 2019. [Google Scholar]
- Rodríguez González, I. Evaluación de Las Condiciones de Microencapsulación Mediante Secado Por Aspersión de Antioxidantes de Polen Apícola; Universidad Nacional de Colombia: Medellín, Colombia, 2017. [Google Scholar]
- Khanal, R.C.; Howard, L.R.; Prior, R.L. Effect of Heating on the Stability of Grape and Blueberry Pomace Procyanidins and Total Anthocyanins. Food Res. Int. 2010, 43, 1464–1469. [Google Scholar] [CrossRef]
- Esquivel-Gonzáles, B.E.; Ochoa Martínez, L.A.; Rutiaga-Quiñones, O.M. Microencapsulación Mediante Secado Por Aspersión de Compuestos Biactivos. Rev. Iberoam. Tecnol. Postcosecha ISSN 2015, 16, 180–192. [Google Scholar] [CrossRef]
- Rincon Duran, M.C.; Arenas Bustos, I. Formulacion y Evaluación de La Eficiencia de Cápsulas de Aceite de Chía Por Medio Del Método de Secado Por Purverización (Spray-Drying); Universidad de los Andes: Santiago, Chile, 2020. [Google Scholar]
- Vázquez-Sánchez, A.Y.; Aguilar-Zárate, P.; Muñiz-Márquez, D.B.; Wong-Paz, J.E.; Rojas, R.; Ascacio-Valdés, J.A.; Martínez-Ávila, G.C.G. Effect of Ultrasound Treatment on the Extraction of Antioxidants from Ardisia Compressa Kunth Fruits and Identification of Phytochemicals by HPLC-ESI-MS. Heliyon 2019, 5, e03058. [Google Scholar] [CrossRef] [PubMed]
- Ravanfar, R.; Tamadon, A.M.; Niakousari, M. Optimization of Ultrasound Assisted Extraction of Anthocyanins from Red Cabbage Using Taguchi Design Method. J. Food Sci. Technol. 2015, 52, 8140–8147. [Google Scholar] [CrossRef] [PubMed]
- Viera, V.B.; Piovesan, N.; Rodrigues, J.B.; de O Mello, R.; Prestes, R.C.; dos Santos, R.C.V.; de A Vaucher, R.; Hautrive, T.P.; Kubota, E.H. Extraction of Phenolic Compounds and Evaluation of the Antioxidant and Antimicrobial Capacity of Red Onion Skin (Allium cepa L.). Int. Food Res. J. 2017, 24, 990–999. [Google Scholar]
- Maldonado-Saavedra, O.; Jiménez-Vázquez, E.N.; Bernabé Guapillo-Vargas, M.R.; Ceballos, R.G.M.; Méndez, B.E. Free Radicals and Their Role in Chronic-Degenerative Diseases. Rev. Médica Univ. Veracruzana 2010, 10, 32–39. [Google Scholar]



| Parameter | Level 1 | Level 2 | Level 3 |
|---|---|---|---|
| Feed flow (mL/min) | 3 | 4.5 | 6 |
| Air inlet temperature (°C) | 125 | 150 | 175 |
| Drying airflow (m3/h) | 30 | 35 | 40 |
| Run No. | Feed Flow | Temperature | Airflow |
|---|---|---|---|
| 1 | 1 | 1 | 1 |
| 2 | 1 | 2 | 2 |
| 3 | 1 | 3 | 3 |
| 4 | 2 | 1 | 2 |
| 5 | 2 | 2 | 3 |
| 6 | 2 | 3 | 1 |
| 7 | 3 | 1 | 3 |
| 8 | 3 | 2 | 1 |
| 9 | 3 | 3 | 2 |
| Procyanidins * | Total Polyphenols * | |||
|---|---|---|---|---|
| Run | Concentration (mg/L) | EE (%) | Concentration (GAE mg/L) | EE (%) |
| L1 | 57.1 ± 23.0 | 59.6 ± 24.0 | 112.8 ± 32.5 | 38.6 ± 11.1 |
| L2 | 87.7 ± 14.4 | 87.0 ± 15.1 | 98.7 ± 18.0 | 33.8 ± 6.2 |
| L3 | 59.5 ± 11.0 | 62.1 ± 11.5 | 112.3 ± 10.5 | 38.5 ± 3.6 |
| L4 | 88.5 ± 0.5 | 92.3 ± 0.5 | 112.3 ± 14.6 | 38.5 ± 5.0 |
| L5 | 98.3 ± 2.3 | 98.0 ± 2.3 | 131.3 ± 11.3 | 45.0 ± 3.9 |
| L6 | 88.8 ± 8.7 | 88.6 ± 8.7 | 139.0 ± 6.1 | 47.6 ± 6.1 |
| L7 | 94.8 ± 3.7 | 94.6 ± 3.6 | 129.5 ± 5.1 | 44.3 ± 1.8 |
| L8 | 90.6 ± 6.3 | 90.3 ± 6.2 | 115.3 ± 26.9 | 39.5 ± 9.2 |
| L9 | 84.5 ± 14.9 | 84.3 ± 14.8 | 121.5 ± 22.0 | 41.6 ± 7.5 |
| Procyanidins * | Total Polyphenols * | |||
|---|---|---|---|---|
| Run | Concentration (mg/L) | EE (%) | Concentration (GAE mg/L) | EE (%) |
| L1 | 55.0 ± 1.2 | 82.4 ± 1.7 | 202.5 ± 3.7 | 62.2 ± 15.3 |
| L2 | 62.4 ± 4.4 | 93.4 ± 6.5 | 206.9 ± 22.6 | 72.1 ± 7.9 |
| L3 | 60.4 ± 3.5 | 90.5 ± 5.3 | 196.2 ± 13.5 | 68.4 ± 4.7 |
| L4 | 60.9 ± 1.9 | 91.2 ± 2.8 | 226.0 ± 19.3 | 78.8 ± 6.7 |
| L5 | 59.6 ± 3.9 | 89.2 ± 5.9 | 239.0 ± 11.9 | 83.3 ± 4.1 |
| L6 | 62.5 ± 6.2 | 93.5 ± 9.3 | 227.3 ± 14.6 | 79.2 ± 5.1 |
| L7 | 59.6 ± 2.8 | 89.2 ± 4.2 | 216.6 ± 15.0 | 75.5 ± 5.2 |
| L8 | 51.6 ± 1.6 | 77.2 ± 2.4 | 230.5 ± 26.0 | 80.4 ± 9.1 |
| L9 | 54.0 ± 4.5 | 80.9 ± 6.7 | 214.2 ± 22.7 | 74.7 ± 7.9 |
| Extract | Factors | SS | df | MS | F | p | Contribution (%) |
|---|---|---|---|---|---|---|---|
| Litchi | Feed flow | 836.91 | 2 | 418.45 | 3.81 | 0.20 | 53.45 |
| Temperature | 363.16 | 2 | 181.58 | 1.65 | 0.37 | 23.19 | |
| Airflow | 146.03 | 2 | 73.01 | 0.66 | 0.60 | 9.33 | |
| Residual | 219.59 | 2 | 109.79 | 14.03 | |||
| Total | 1565.71 | 100 | |||||
| Coffee | Feed flow | 124.68 | 2 | 62.34 | 1.25 | 0.44 | 45.44 |
| Temperature | 4.47 | 2 | 2.23 | 0.04 | 0.95 | 1.63 | |
| Airflow | 45.54 | 2 | 22.77 | 0.45 | 0.68 | 16.60 | |
| Residual | 99.67 | 2 | 49.83 | 36.33 | |||
| Total | 274.38 | 100 |
| Extract | Factors | Level | Value | Standard Error |
|---|---|---|---|---|
| Litchi | Feed flow | 2 | 4.5 mL/min | 6.05 |
| Temperature | 2 | 150 °C | 6.05 | |
| Airflow | 2 | 35 m3/h | 6.05 | |
| Predicted EE | 106.45% | |||
| Litchi-adjusted | Feed flow | 3 | 6 mL/min | 6.05 |
| Temperature | 2 | 150 °C | 6.05 | |
| Airflow | 2 | 35 m3/h | 6.05 | |
| Predicted EE | 103.20% | |||
| Experimental EE | 98.10% | |||
| Coffee | Feed flow | 2 | 4.5 mL/min | 4.07 |
| Temperature | 3 | 175 °C | 4.07 | |
| Airflow | 3 | 40 m3/h | 4.07 | |
| Predicted EE | 94.20% | |||
| Experimental EE | 93.60% |
| Sample | LOI (%) | DPPH (GAE μg/mL) | ABTS (GAE μg/mL) |
|---|---|---|---|
| Litchi extract | 80.50 ± 1.28 a | 88.15 ± 0.16 a | 98.28 ± 0.24 a |
| Coffee extract | 78.58 ± 2.70 a | 88.06 ± 0.54 a | 93.10 ± 0.40 b |
| Litchi microcapsules | 67.63 ± 5.31 b | 84.75 ± 0.76 b | 93.14 ± 0.79 b |
| Coffee microcapsules | 55.28 ± 4.76 c | 82.38 ± 0.39 c | 93.14 ± 0.92 b |
Disclaimer/Publisher’s Note: The statements, opinions and data contained in all publications are solely those of the individual author(s) and contributor(s) and not of MDPI and/or the editor(s). MDPI and/or the editor(s) disclaim responsibility for any injury to people or property resulting from any ideas, methods, instructions or products referred to in the content. |
© 2023 by the authors. Licensee MDPI, Basel, Switzerland. This article is an open access article distributed under the terms and conditions of the Creative Commons Attribution (CC BY) license (https://creativecommons.org/licenses/by/4.0/).
Share and Cite
Vázquez-Núñez, M.d.l.Á.; Aguilar-Zárate, M.; Gómez-García, R.; Reyes-Luna, C.; Aguilar-Zárate, P.; Michel, M.R. The Specific Encapsulation of Procyanidins from Litchi Peel and Coffee Pulp Extracts via Spray-Drying Using Green Polymers. Polymers 2023, 15, 3823. https://doi.org/10.3390/polym15183823
Vázquez-Núñez MdlÁ, Aguilar-Zárate M, Gómez-García R, Reyes-Luna C, Aguilar-Zárate P, Michel MR. The Specific Encapsulation of Procyanidins from Litchi Peel and Coffee Pulp Extracts via Spray-Drying Using Green Polymers. Polymers. 2023; 15(18):3823. https://doi.org/10.3390/polym15183823
Chicago/Turabian StyleVázquez-Núñez, María de los Ángeles, Mayra Aguilar-Zárate, Ricardo Gómez-García, Carlos Reyes-Luna, Pedro Aguilar-Zárate, and Mariela R. Michel. 2023. "The Specific Encapsulation of Procyanidins from Litchi Peel and Coffee Pulp Extracts via Spray-Drying Using Green Polymers" Polymers 15, no. 18: 3823. https://doi.org/10.3390/polym15183823
APA StyleVázquez-Núñez, M. d. l. Á., Aguilar-Zárate, M., Gómez-García, R., Reyes-Luna, C., Aguilar-Zárate, P., & Michel, M. R. (2023). The Specific Encapsulation of Procyanidins from Litchi Peel and Coffee Pulp Extracts via Spray-Drying Using Green Polymers. Polymers, 15(18), 3823. https://doi.org/10.3390/polym15183823

