Injectable Networks Based on a Hybrid Synthetic/Natural Polymer Gel and Self-Assembling Peptides Functioning as Reinforcing Fillers
Abstract
1. Introduction
2. Materials and Methods
2.1. Materials
2.2. Preparation of the DN Hydrogels
2.3. Samples Characterization
2.3.1. Fourier Transform Infrared Spectroscopy (FTIR) Analysis
2.3.2. Rheological Measurements
2.3.3. Swelling Study
2.3.4. Thermal Analysis
2.3.5. Scanning Electron Microscopy (SEM) Analysis
2.3.6. In Vitro Biocompatibility Assay MTT
3. Results
3.1. Fourier Transform Infrared Spectroscopy (FTIR) Analysis
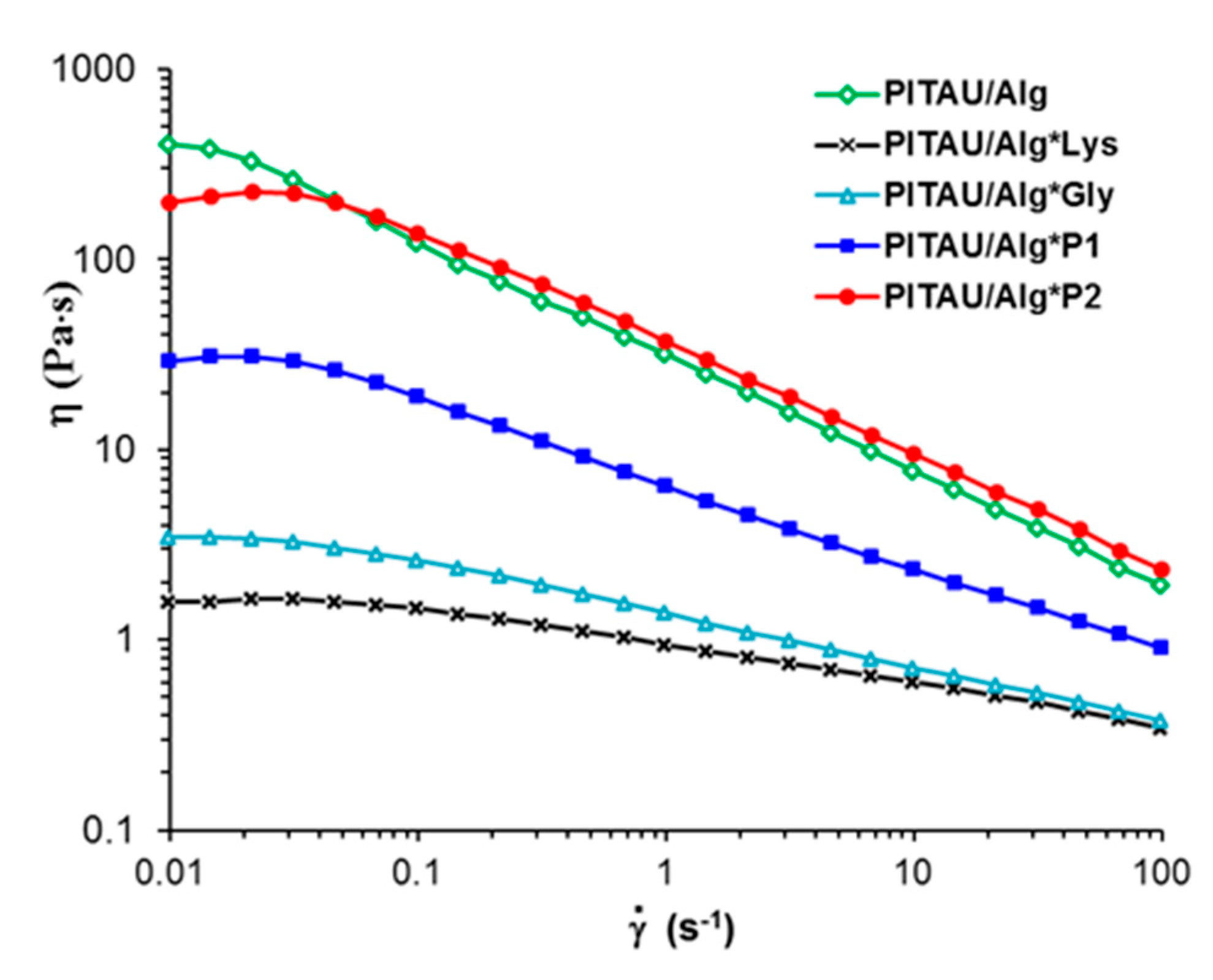
3.2. Rheological Behavior
3.3. Swelling Study
3.4. Thermal Analysis
3.5. Microscopy Analysis
3.6. In Vitro Biocompatibility Assay
4. Conclusions
Author Contributions
Funding
Institutional Review Board Statement
Data Availability Statement
Conflicts of Interest
References
- Mondal, S.; Das, S.; Nandi, A.K. A review on recent advances in polymer and peptide hydrogels. Soft Matter 2020, 6, 1404–1454. [Google Scholar] [CrossRef] [PubMed]
- Croitoriu, A.; Nita, L.E.; Chiriac, A.P.; Rusu, A.G.; Bercea, M. New Physical Hydrogels Based on Co-Assembling of FMOC–Amino Acids. Gels 2021, 7, 208. [Google Scholar] [CrossRef]
- Li, Y.; Wang, F.; Cui, H. Peptide-Based Supramolecular Hydrogels for Delivery of Biologics. Bioeng. Transl. Med. 2016, 1, 306–322. [Google Scholar] [CrossRef] [PubMed]
- Binaymotlagh, R.; Chronopoulou, L.; Haghighi, F.H.; Fratoddi, I.; Palocci, C. Peptide-Based Hydrogels: New Materials for Biosensing and Biomedical Applications. Materials 2022, 15, 5871. [Google Scholar] [CrossRef] [PubMed]
- Alonci, G.; Mocchi, R.; Sommatis, S. Physico-Chemical Characterization and In Vitro Biological Evaluation of a Bionic Hydrogel Based on Hyaluronic Acid and l-Lysine for Medical Applications. Pharmaceutics 2021, 13, 1194. [Google Scholar] [CrossRef]
- Ullah, R.; Jo, M.H.; Riaz, M.; Alam, S.I.; Saeed, K.; Ali, W.; Rehman, I.U.; Ikram, M.; Kim, M.O. Glycine, the smallest amino acid, confers neuroprotection against D-galactose-induced neurodegeneration and memory impairment by regulating c-Jun N-terminal kinase in the mouse brain. J. Neuroinflamm. 2020, 15, 303. [Google Scholar] [CrossRef]
- Croitoriu, A.; Nita, L.E.; Rusu, A.G.; Ghilan, A.; Bercea, M.; Chiriac, A.P. New Fmoc-Amino Acids/Peptides-Based Supramolecular Gels Obtained through Co-Assembly Process: Preparation and Characterization. Polymers 2022, 14, 3354. [Google Scholar] [CrossRef]
- Draper, R.E.; Morris, L.K.; Little, M.; Raeburn, J.; Colquhoun, C.; Cross, R.E.; McDonald, O.T.; Serpell, C.L.; Adams, J.D. Hydrogels formed from Fmoc amino-acids. Cryst. Eng. Comm. 2015, 17, 8047–8057. [Google Scholar] [CrossRef]
- Croitoriu, A.; Nita, L.E.; Rusu, A.G.; Cimponeriu, A.; Chiriac, A.P. Supramolecular Gels Based on Amino Acids. In Proceedings of the 2021 International Conference on e-Health and Bioengineering (EHB), Iasi, Romania, 18–19 November 2021; pp. 1–4. [Google Scholar] [CrossRef]
- Reddy, S.M.M.; Shanmugam, G.; Duraipandy, N.; Kiran, M.S.; Mandal, A.B. An additional fluorenylmethoxycarbonyl (Fmoc) moiety in di-Fmoc-functionalized l-lysine induces pH-controlled ambidextrous gelation with significant advantages. Soft Matter 2015, 11, 8126–8140. [Google Scholar] [CrossRef]
- Xie, Y.; Qin, X.; Feng, J.Y.; Zhong, C.; Jia, S. A self-assembled amino acid-based hydrogel with broad-spectrum antibacterial activity. J. Mater. Sci. 2021, 56, 7626–7636. [Google Scholar] [CrossRef]
- Wang, Y.L.; Lin, S.P.; Nelli, S.R. Self-Assembled Peptide-Based Hydrogels as Scaffolds for Proliferation and Multi-Differentiation of Mesenchymal Stem Cells. Macromol. Biosci. 2017, 17, 10. [Google Scholar] [CrossRef] [PubMed]
- Abbas, M.; Xing, R.; Zhang, N.; Zou, Q.; Ya, X. Antitumor Photodynamic Therapy Based on Dipeptide Fibrous Hydrogels with Incorporation of Photosensitive Drugs. ACS Biomater. Sci. Eng. 2018, 4, 2046–2052. [Google Scholar] [CrossRef] [PubMed]
- Li, Y.; Qin, M.; Cao, Y. Designing the mechanical properties of peptide-based supramolecular hydrogels for biomedical applications. Sci. China Phys. Mech. Astron. 2014, 57, 849–858. [Google Scholar] [CrossRef]
- Diaconu, A.; Chiriac, A.P.; Nita, L.E.; Tudorachi, N.; Neamtu, I.; Vasile, C.; Pinteala, M. Design and synthesis of a new polymer network containing pendant spiroacetal moieties. Des. Monomers Polym. 2015, 18, 780–788. [Google Scholar] [CrossRef]
- Diaconu, A.; Nita, L.E.; Bercea, M.; Chiriac, A.P.; Rusu, A.G.; Rusu, D. Hyaluronic acid gels with tunable properties by conjugating with a synthetic copolymer. Biochem. Eng. J. 2017, 125, 135–143. [Google Scholar] [CrossRef]
- Sandu, A.E.; Nita, L.E.; Chiriac, A.P.; Tudorachi, N.; Rusu, A.G.; Pamfil, D. New Hydrogel Network Based on Alginate and a Spiroacetal Copolymer. Gels 2021, 7, 241. [Google Scholar] [CrossRef]
- Chen, Q.; Chen, H.; Zhu, L.; Zheng, J. Fundamentals of double network hydrogels. J. Mater. Chem. B 2015, 3, 3654. [Google Scholar] [CrossRef]
- Aldana, A.; Morgan, F.L.C.; Houben, S.; Pitet, L.M.; Moroni, L.; Bake, M.B. Biomimetic double network hydrogels: Combining dynamic and static crosslinks to enable biofabrication and control cell-matrix interactions. J. Polym. Sci. 2021, 59, 2832–2843. [Google Scholar] [CrossRef]
- Gonzalez, M.C.; Fores, J.; Rodon, W.; Schroder, D.; Carvalho, A. Enzyme-assisted self-assembly within a hydrogel induced by peptide diffusion. Chem. Comm. 2019, 55, 1156–1159. [Google Scholar] [CrossRef]
- Liu, Y.-S.; Chakravarthy, R.D.; Saddik, A.A.; Mohammed, M.; Lin, H.-C. Supramolecular polymer/peptide hybrid hydrogels with tunable stiffness mediated by interchain acidamide hydrogen bonds. RSC Adv. 2022, 12, 14315. [Google Scholar] [CrossRef]
- Wang, T.; Zhang, Y.; Gu, Z.; Cheng, W.; Lei, H.; Qin, M.; Xue, B.; Wang, W.; Cao, Y. Regulating Mechanical Properties of Polymer-Supramolecular Double-Network Hydrogel by Supramolecular Self-assembling Structures. Chin. J. Chem. 2021, 39, 2711–2717. [Google Scholar] [CrossRef]
- Bajas, D.; Vlase, G.; Mateescu, M. Formulation and Characterization of Alginate-Based Membranes for the Potential Transdermal Delivery of Methotrexate. Polymers 2021, 13, 161. [Google Scholar] [CrossRef] [PubMed]
- Mignon, A.; de Belie, N.; Dubruel, P.; Van Vlierberghe, S. Superabsorbent polymers: A review on the characteristics and applications of synthetic, polysaccharide-based, semi-synthetic and ‘smart’ derivatives. Eur. Polym. J. 2019, 117, 165–178. [Google Scholar] [CrossRef]
- Panão, C.O.; Campos, E.L.S.; Lima, H.H.C.; Rinaldi, A.W.; Lima-Tenório, M.K.; Tenório-Neto, E.T.; Guilherme, M.R.; Asefa, T.; Rubira, A.F. Ultra-absorbent hybrid hydrogel based on alginate and SiO2 microspheres: A high-water-content system for removal of methylene blue. J. Mol. Liq. 2019, 276, 204–213. [Google Scholar] [CrossRef]
- Flores-Hernández, C.G.; Cornejo-Villegas, M.d.l.A.; Moreno-Martell, A.; Del Real, A. Synthesis of a Biodegradable Polymer of Poly (Sodium Alginate/Ethyl Acrylate). Polymers 2021, 13, 504. [Google Scholar] [CrossRef]
- Shen, M.; Vijjamarri, S.; Cao, H.; Solisa, K.; Robertson, M.G. Degradability, Thermal Stability, and High Thermal Properties in Spiro Polycycloacetals Partially Derived from Lignin, Polym. Chem. 2021, 1, 35. [Google Scholar]
- Schaberg, A.; Wroblowski, R.; Goertz, R. Comparative study of the thermal decomposition behaviour of different amino acids and peptides. J. Phys. Conf. 2018, 1107, 032013. [Google Scholar] [CrossRef]
- Weiss, M.; Muth, C.; Drumm, R.; Kirchner, H.O.K. Thermal decomposition of the amino acids glycine, cysteine, aspartic acid, asparagine, glutamic acid, glutamine, arginine and histidine. BMC Biophys. 2018, 11, 2. [Google Scholar] [CrossRef]
- ISO 10993-5:2009; Biological Evaluation of Medical Devices—Part 5, Tests for In Vitro Cytotoxicity. ISO: Geneva, Switzerland, 2009. Available online: https://www.iso.org/standard/36406.html (accessed on 3 December 2022).
- Huzum, B.; Puha, B.; Necoara, R.M. Biocompatibility assessment of biomaterials used in orthopedic devices: An overview. Exp. Ther. Med. 2021, 22, 5–1315. [Google Scholar] [CrossRef]
- Assad, M.; Jackson, N. Biocompatibility evaluation of orthopedic biomaterials and medical devices: A review of safety and efficacy models. In Encyclopedia of Biomedical Engineering, 1st ed.; Narayan, R.J., Ed.; Elsevier: Amsterdam, The Netherlands, 2019; Volume 2, pp. 281–309. [Google Scholar]











| Sample | Samples Composition | |||||
|---|---|---|---|---|---|---|
| Alginate (g) | PITAU (g) | Lys (g) | Gly (g) | DMSO (mL) | PBS (mL) | |
| PITAU/Alg | 6.72 | 3.6 | - | - | - | - |
| PITAU/Alg*Lys | 6.72 | 3.6 | 0.1 | - | 0.48 | 9.52 |
| PITAU/Alg*Gly | 6.72 | 3.6 | - | 0.1 | 0.48 | 9.52 |
| PITAU/Alg*P1 | 6.72 | 3.6 | 0.05 | 0.05 | 0.48 | 9.52 |
| PITAU/Alg*P2 | 6.72 | 3.6 | 0.025 | 0.075 | 0.48 | 9.52 |
| Sample | Degradation Stage | Tonset (°C) | Tpeak (°C) | Tendset (°C) | W (%) | T10 (°C) | T50 (°C) |
|---|---|---|---|---|---|---|---|
| PITAU/Alg | I II III IV V | 71 148 220 260 303 | 84 184 230 265 325 | 107 209 246 279 347 | 4.70 28.48 15.0 10.87 18.53 22.55 | 153 | 251 |
| PITAU/Alg*Lys | I II III IV | 50 120 235 374 | 103 171 254 375 | 110 206 336 444 | 5.11 26.23 20.36 20.79 27.51 | 145 | 315 |
| PITAU/Alg*Gly | I II III IV | 70 207 237 388 | 168 222 246 405 | 195 234 349 450 | 30.74 8.88 17.73 21.82 20.81 | 146 | 286 |
| PITAU/Alg*P1 | I II III IV | 44 136 232 385 | 72 169 250 401 | 119 198 375 529 | 4.33 25.52 30.35 18.05 21.92 | 147 | 292 |
| PITAU/Alg*P2 | I II III IV | 79 198 246 370 | 161 218 254 389 | 189 232 333 423 | 30.17 9.73 18.63 26.89 15.05 | 138 | 275 |
Disclaimer/Publisher’s Note: The statements, opinions and data contained in all publications are solely those of the individual author(s) and contributor(s) and not of MDPI and/or the editor(s). MDPI and/or the editor(s) disclaim responsibility for any injury to people or property resulting from any ideas, methods, instructions or products referred to in the content. |
© 2023 by the authors. Licensee MDPI, Basel, Switzerland. This article is an open access article distributed under the terms and conditions of the Creative Commons Attribution (CC BY) license (https://creativecommons.org/licenses/by/4.0/).
Share and Cite
Ghilan, A.; Croitoriu, A.; Chiriac, A.P.; Nita, L.E.; Bercea, M.; Rusu, A.G. Injectable Networks Based on a Hybrid Synthetic/Natural Polymer Gel and Self-Assembling Peptides Functioning as Reinforcing Fillers. Polymers 2023, 15, 636. https://doi.org/10.3390/polym15030636
Ghilan A, Croitoriu A, Chiriac AP, Nita LE, Bercea M, Rusu AG. Injectable Networks Based on a Hybrid Synthetic/Natural Polymer Gel and Self-Assembling Peptides Functioning as Reinforcing Fillers. Polymers. 2023; 15(3):636. https://doi.org/10.3390/polym15030636
Chicago/Turabian StyleGhilan, Alina, Alexandra Croitoriu, Aurica P. Chiriac, Loredana Elena Nita, Maria Bercea, and Alina Gabriela Rusu. 2023. "Injectable Networks Based on a Hybrid Synthetic/Natural Polymer Gel and Self-Assembling Peptides Functioning as Reinforcing Fillers" Polymers 15, no. 3: 636. https://doi.org/10.3390/polym15030636
APA StyleGhilan, A., Croitoriu, A., Chiriac, A. P., Nita, L. E., Bercea, M., & Rusu, A. G. (2023). Injectable Networks Based on a Hybrid Synthetic/Natural Polymer Gel and Self-Assembling Peptides Functioning as Reinforcing Fillers. Polymers, 15(3), 636. https://doi.org/10.3390/polym15030636

