Influence of DNA Type on the Physicochemical and Biological Properties of Polyplexes Based on Star Polymers Bearing Different Amino Functionalities
Abstract
1. Introduction
2. Materials and Methods
2.1. Materials
2.1.1. Synthesis and Quaternization of Star-Like PDMAEMA
2.1.2. Preparation of Polymer Solutions
2.1.3. Polyplex Formation
2.1.4. Cell Culture
2.2. Methods
2.2.1. Dynamic Light Scattering (DLS) and Electrophoretic Light Scattering (ELS)
2.2.2. Transmission Electron Microscopy (TEM)
2.2.3. Buffering Capacity
2.2.4. Stability of Polyplexes in Presence of Salt
2.2.5. Cell Viability Assay
2.2.6. Cell Morphology Analysis
2.2.7. In Vitro Transfection
2.2.8. Statistical Analysis
3. Results and Discussion
3.1. Characterization and Aqueous Solution Properties of the Star-Shaped Polymers
3.2. Interaction/Complexation of PDMAEMA Stars with Nucleic Acids
3.3. Salt-Induced Destabilization of Polyplexes
3.4. Biological Performance of Polyplexes
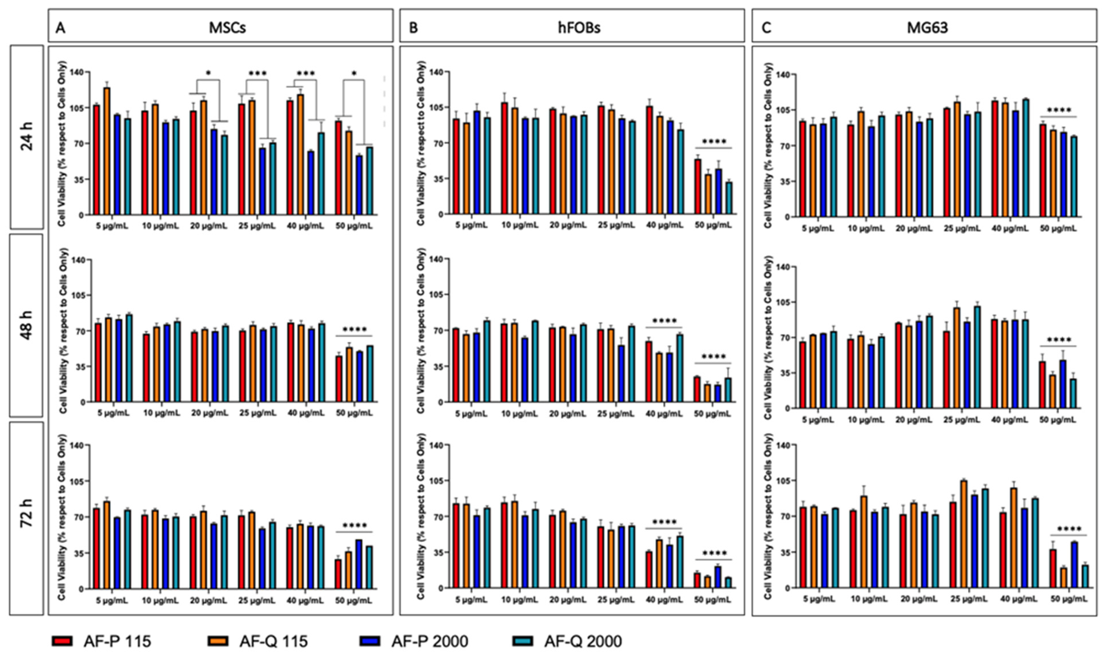
3.4.1. Cytotoxicity of Polyplexes Formed with lDNA
3.4.2. Cytotoxicity and Transfection Efficiency of Polyplexes Formed with pDNA
4. Conclusions
Author Contributions
Funding
Data Availability Statement
Acknowledgments
Conflicts of Interest
References
- Shi, B.; Zheng, M.; Tao, W.; Chung, R.; Jin, D.; Ghaffari, D.; Farokhzad, O.C. Challenges in DNA delivery and recent advances in multifunctional polymeric DNA delivery system. Biomacromolecules 2017, 18, 2231–2246. [Google Scholar] [CrossRef] [PubMed]
- Zhang, Y.; Satterlee, A.; Huang, L. In vivo gene delivery by nonviral vectors: Overcoming hurdles? Mol. Ther. 2012, 20, 1298–1304. [Google Scholar] [CrossRef] [PubMed]
- Ibraheem, D.; Elaissari, A.; Fessi, H. Gene therapy and DNA delivery systems. Int. J. Pharm. 2014, 459, 70–83. [Google Scholar] [CrossRef] [PubMed]
- Patil, S.D.; Rhodes, D.G.; Burgess, D.J. DNA-based therapeutics and DNA delivery systems: A comprehensive review. AAPS J. 2005, 7, E61–E77. [Google Scholar] [CrossRef] [PubMed]
- Young, L.S.; Searle, P.F.; Onion, D.; Mautner, V. Viral gene therapy strategies: From basic science to clinical application. J. Pathol. 2006, 208, 299–318. [Google Scholar] [CrossRef]
- Hill, A.; Chen, M.; Chen, C.-K.; Pfeifer, B.A.; Jones, C. Overcoming gene-delivery hurdles: Physiological considerations for nonviral vectors. Trends Biotechnol. 2016, 34, 91–105. [Google Scholar] [CrossRef]
- Lai, W.F.; Wong, W.T. Design of polymeric gene carriers for effective intracellular delivery. Trends Biotechnol. 2018, 36, 713–728. [Google Scholar] [CrossRef]
- Yin, H.; Kanasty, R.L.; Eltoukhy, A.A.; Vegas, A.J.; Dorkin, J.R.; Anderson, D.G. Non-viral vectors for gene-based therapy. Nat. Rev. Genet. 2014, 15, 541–555. [Google Scholar] [CrossRef]
- Aied, A.; Greiser, U.; Pandit, A.; Wang, W. Polymer gene delivery: Overcoming the obstacles. Drug Discov. 2013, 18, 1090–1098. [Google Scholar] [CrossRef]
- O’Rorke, S.; Keeney, M.; Pandit, A. Non-viral polyplexes: Scaffold mediated delivery for gene therapy. Prog. Polym. Sci. 2010, 35, 441–458. [Google Scholar] [CrossRef]
- Eliyahu, H.; Barenholz, Y.; Domb, A.J. Polymers for DNA delivery. Molecules 2005, 10, 34–64. [Google Scholar] [CrossRef] [PubMed]
- Jones, C.H.; Chen, C.-K.; Ravikrishnan, A.; Rane, S.; Pfeifer, B.A. Overcoming nonviral gene delivery barriers: Perspective and future. Mol. Pharm. 2013, 10, 4082–4098. [Google Scholar] [CrossRef] [PubMed]
- Izumrudov, V.A.; Zhiryakova, M.V.; Kudaibergenov, S.E. Controllable stability of DNA-containing polyelectrolyte complexes in water-salt solutions. Biopolymers 1999, 52, 94–108. [Google Scholar] [CrossRef]
- Varkouhi, A.K.; Mountrichas, G.; Schiffelers, R.M.; Lammers, T.; Storm, G.; Pispas, S.; Hennink, W.E. Polyplexes based on cationic polymers with strong nucleic acid binding properties. Eur. J. Pharm. Sci. 2012, 45, 459–466. [Google Scholar] [CrossRef] [PubMed]
- Bus, T.; Traeger, A.; Schubert, U.S. The great escape: How cationic polyplexes overcome the endosomal barrier. J. Mater. Chem. B 2018, 6, 6904–6918. [Google Scholar] [CrossRef]
- Warriner, L.W.; Duke III, J.R.; Pack, D.W.; DeRouchey, J.E. Succinylated polyethylenimine derivatives greatly enhance polyplex serum stability and gene delivery in vitro. Biomacromolecules 2018, 19, 4348–4357. [Google Scholar] [CrossRef]
- Godbey, W.T.; Wu, K.K.; Mikos, A.G. Size matters: Molecular weight affects the efficiency of poly(ethylenimine) as a gene delivery vehicle. J. Biomed. Mater. Res. 1999, 45, 268–275. [Google Scholar] [CrossRef]
- Blakney, A.K.; Yilmaz, G.; McKay, P.F.; Becer, C.R.; Shattock, R.J. One size does not fit all: The effect of chain length and charge density of poly(ethylene imine) based copolymers on delivery of pDNA, mRNA, and RepRNA polyplexes. Biomacromolecules 2018, 19, 2870–2879. [Google Scholar] [CrossRef]
- Schaffer, D.V.; Fidelman, N.A.; Dan, N.; Lauffenburger, D.A. Vector unpacking as a potential barrier for receptor-mediated polyplex gene delivery. Biotechnol. Bioeng. 2000, 67, 598–606. [Google Scholar] [CrossRef]
- Shen, Z.L.; Xia, Y.Q.; Yang, Q.S.; Tian, W.D.; Chen, K.; Ma, Y.Q. Polymer–Nucleic Acid Interactions In Polymeric Gene Delivery Systems; Topics in Current Chemistry Collections; Cheng, Y., Ed.; Springer: Cham, Switzerland, 2017. [Google Scholar]
- Jiang, Y.; Reineke, T.M.; Lodge, T.P. Complexation of DNA with Cationic Copolymer Micelles: Effects of DNA Length and Topology. Macromolecules 2018, 51, 1150–1160. [Google Scholar] [CrossRef]
- Tan, Z.; Jiang, Y.; Zhang, W.; Karls, L.; Lodge, T.P.; Reineke, T.M. Polycation Architecture and Assembly Direct Successful Gene Delivery: Micelleplexes Outperform Polyplexes via Optimal DNA Packaging. J. Am. Chem. Soc. 2019, 141, 15804–15817. [Google Scholar] [CrossRef] [PubMed]
- Ugrinova, I.; Mitkova, E.; Moskalenko, C.; Pashev, I.; Pasheva, E. DNA Bending versus DNA End Joining Activity of HMGB1 Protein Is Modulated in Vitro by Acetylation. Biochemistry 2007, 46, 2111–2117. [Google Scholar] [CrossRef] [PubMed]
- Kahn, J.D. DNA, Flexibly Flexible. Biophys. J. 2014, 107, 282–284. [Google Scholar] [CrossRef] [PubMed]
- Yue, Y.; Wu, C. Progress and perspectives in developing polymeric vectors for in vitro gene delivery. Biomater. Sci. 2013, 1, 152–170. [Google Scholar] [CrossRef]
- Agarwal, S.; Zhang, Y.; Maji, S.; Greiner, A. PDMAEMA based gene delivery materials. Mater. Today 2012, 15, 388–393. [Google Scholar] [CrossRef]
- Dai, F.; Sun, P.; Liu, Y.; Liu, W. Redox-cleavable star cationic PDMAEMA by arm-first approach of ATRP as a nonviral vector for gene delivery. Biomaterials 2010, 31, 559–569. [Google Scholar] [CrossRef]
- Mendrek, B.; Sieroń, Ł.; Libera, M.; Smet, M.; Trzebicka, B.; Sieroń, A.L.; Dworak, A.; Kowalczuk, A. Polycationic star polymers with hyperbranched cores for gene delivery. Polymer 2014, 55, 4551–4562. [Google Scholar] [CrossRef]
- Eltoukhy, A.A.; Siegwart, D.J.; Alabi, C.A.; Rajan, J.S.; Langer, R.; Anderson, D.G. Effect of molecular weight of amine end-modified poly(β-amino ester)s on gene delivery efficiency and toxicity. Biomaterials 2012, 33, 3594–3603. [Google Scholar] [CrossRef]
- Haladjova, E.; Chrysostomou, V.; Petrova, M.; Ugrinova, I.; Pispas, S.; Rangelov, S. Physicochemical Properties and Biological Performance of Polymethacrylate based Gene Delivery Vector Systems: Influence of Amino Functionalities. Macromol. Biosci. 2021, 21, 2000352. [Google Scholar] [CrossRef]
- Skandalis, A.; Pispas, S. PDMAEMA-b-PLMA-b-POEGMA triblock terpolymers via RAFT polymerization and their self-assembly in aqueous solutions. Polym. Chem. 2017, 8, 4538–4547. [Google Scholar] [CrossRef]
- Skandalis, A.; Pispas, S. Synthesis of (AB)n-, AnBn-, and AxBy-type amphiphilic and double-hydrophilic star copolymers by RAFT polymerization. J. Polym. Sci. A Polym. Chem. 2019, 57, 1771–1783. [Google Scholar] [CrossRef]
- van de Wetering, P.; Moret, E.E.; Schuurmans-Nieuwenbroek, N.M.; van Steenbergen, M.J.; Hennink, W.E. Structure-activity relationships of water-soluble cationic methacrylate/methacrylamide polymers for nonviral gene delivery. Bioconjug. Chem. 1999, 10, 589–597. [Google Scholar] [CrossRef] [PubMed]
- Lee, H.; Son, S.H.; Sharma, R.; Won, Y.-Y. A discussion of the pH-dependent protonation behaviors of poly(2-(dimethylamino)ethyl methacrylate) (PDMAEMA) and poly(ethylenimine-ran-2-ethyl-2-oxazoline) (P(EI-r-EOz)). J. Phys. Chem. B 2011, 115, 844–860. [Google Scholar] [CrossRef] [PubMed]
- Dhanoya, A.; Chain, B.M.; Keshavarz-Moore, E. The impact of DNA topology on polyplex uptake and transfection efficiency in mammalian cells. J. Biotechnol. 2011, 10, 377–386. [Google Scholar] [CrossRef]
- Haladjova, E.; Halacheva, S.; Posheva, V.; Peycheva, E.; Moskova-Doumanova, V.; Topouzova-Hristova, T.; Doumanov, J.; Rangelov, S. Comb-like Polyethyleneimine-based Polyplexes: Balancing Toxicity, Cell Internalization, and Transfection Efficiency via Polymer Chain Topology. Langmuir 2015, 31, 10017–10025. [Google Scholar] [CrossRef]
- Lee, J.H.; Lim, Y.B.; Choi, J.S.; Lee, Y.; Kim, T.I.; Kim, H.J.; Yoon, J.K.; Kim, K.; Park, J.S. Polyplexes assembled with internally quaternized PAMAM-OH dendrimer and plasmid DNA have a neutral surface and gene delivery potency. Bioconjug. Chem. 2003, 14, 1214–1221. [Google Scholar] [CrossRef]
- Vader, P.; van der Aa, L.J.; Engbersen, J.F.J.; Storm, G.; Schiffelers, R.M. Physicochemical and Biological Evaluation of siRNA Polyplexes Based on PEGylated Poly(amido amine)s. Pharm. Res. 2012, 29, 352–361. [Google Scholar] [CrossRef]
- Lai, E.; van Zanten, J.H. Monitoring DNA/Poly-l-Lysine Polyplex Formation with Time-Resolved Multiangle Laser Light Scattering. Biophys. J. 2001, 80, 864–873. [Google Scholar] [CrossRef]
- Chrysostomou, V.; Katifelis, H.; Gazouli, M.; Dimas, K.; Demetzos, C.; Pispas, S. Hydrophilic random cationic copolymers as polyplex-formation vectors for DNA. Materials 2022, 15, 2650. [Google Scholar] [CrossRef]









| Sample | Code | Mw, (a) g/mol | Mw/Mn (a) | Number of Arms (b) | DP of Arm (b) | Dh, (c) nm (PDI (e)) | ζ, (d) mV |
|---|---|---|---|---|---|---|---|
| Arm-first PDMAEMA | AF-P | 89 000 | 1.37 | 25 | 23 | 11.4 (0.091) | 24.1 |
| Arm-first QPDMAEMA | AF-Q | 169 000 | 1.37 | 25 | 23 | 15.8 (0.083) | 31.6 |
| Sample | Buffering Capacity, 1/Slope, |
|---|---|
| AF-P | 6.76 |
| AF-Q | 4.54 |
| H2O | 3.31 |
Disclaimer/Publisher’s Note: The statements, opinions and data contained in all publications are solely those of the individual author(s) and contributor(s) and not of MDPI and/or the editor(s). MDPI and/or the editor(s) disclaim responsibility for any injury to people or property resulting from any ideas, methods, instructions or products referred to in the content. |
© 2023 by the authors. Licensee MDPI, Basel, Switzerland. This article is an open access article distributed under the terms and conditions of the Creative Commons Attribution (CC BY) license (https://creativecommons.org/licenses/by/4.0/).
Share and Cite
Haladjova, E.; Panseri, S.; Montesi, M.; Rossi, A.; Skandalis, A.; Pispas, S.; Rangelov, S. Influence of DNA Type on the Physicochemical and Biological Properties of Polyplexes Based on Star Polymers Bearing Different Amino Functionalities. Polymers 2023, 15, 894. https://doi.org/10.3390/polym15040894
Haladjova E, Panseri S, Montesi M, Rossi A, Skandalis A, Pispas S, Rangelov S. Influence of DNA Type on the Physicochemical and Biological Properties of Polyplexes Based on Star Polymers Bearing Different Amino Functionalities. Polymers. 2023; 15(4):894. https://doi.org/10.3390/polym15040894
Chicago/Turabian StyleHaladjova, Emi, Silvia Panseri, Monica Montesi, Arianna Rossi, Athanasios Skandalis, Stergios Pispas, and Stanislav Rangelov. 2023. "Influence of DNA Type on the Physicochemical and Biological Properties of Polyplexes Based on Star Polymers Bearing Different Amino Functionalities" Polymers 15, no. 4: 894. https://doi.org/10.3390/polym15040894
APA StyleHaladjova, E., Panseri, S., Montesi, M., Rossi, A., Skandalis, A., Pispas, S., & Rangelov, S. (2023). Influence of DNA Type on the Physicochemical and Biological Properties of Polyplexes Based on Star Polymers Bearing Different Amino Functionalities. Polymers, 15(4), 894. https://doi.org/10.3390/polym15040894

