Covalent Triazine Frameworks Decorated with Pyridine-Type Carbonitride Moieties: Enhanced Photocatalytic Hydrogen Evolution by Improved Charge Separation
Abstract
1. Introduction
2. Experimental
2.1. Materials
2.2. Catalyst Preparation
2.3. Characterization
2.4. Photoelectrochemical and Electrochemical Measurements
2.5. Photocatalytic Hydrogen Evolution
3. Results and Discussion
3.1. TEM and XRD
3.2. FTIR
3.3. UV/Vis Diffuse-Reflectance Spectroscopy
3.4. BET Surface Area
3.5. XPS
3.6. Photoluminescence
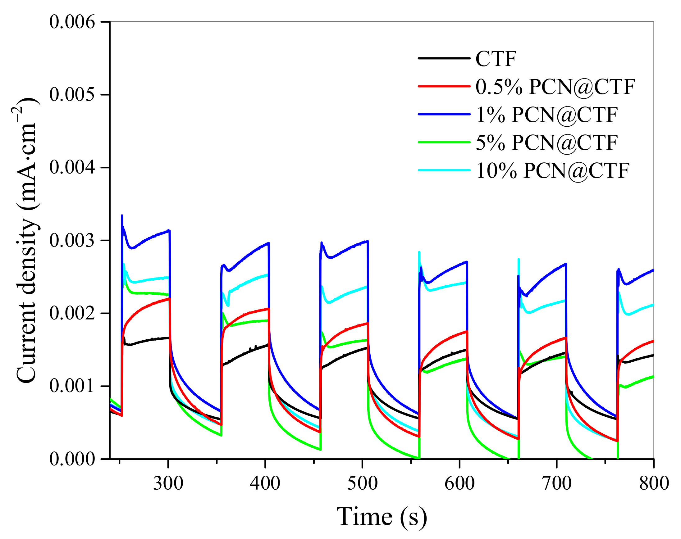
3.7. Analysis of i-t Characteristics
3.8. EIS
3.9. Photocatalytic Hydrogen Evolution
4. Conclusions
Author Contributions
Funding
Institutional Review Board Statement
Data Availability Statement
Acknowledgments
Conflicts of Interest
References
- Li, L.; Zhu, Y.Z.; Gong, N.; Zhang, W.; Peng, W.C.; Li, Y.; Zhang, F.B.; Fan, X.B. Band-gap engineering of layered covalent organic frameworks via controllable exfoliation for enhanced visible-light-driven hydrogen evolution. Int. J. Hydrogen Energy 2020, 45, 2689–2698. [Google Scholar] [CrossRef]
- Xu, X.; Lai, L.; Zeng, T.; Yu, Y.; He, Z.Q.; Chen, J.M.; Song, S. In situ formation of pyridine-type carbonitrides-modified disorder-engineered C-TiO2 used for enhanced visible-light-driven photocatalytic hydrogen evolution. J. Phys. Chem. C 2018, 122, 18870–18879. [Google Scholar] [CrossRef]
- Wang, X.; Chen, L.; Chong, S.Y.; Little, M.A.; Wu, Y.; Zhu, W.H.; Clowes, R.; Yan, Y.; Zwijnenburg, M.A.; Sprick, R.S. Sulfonecontaining covalent organic frameworks for photocatalytic hydrogen evolution from water. Nat. Chem. 2018, 10, 1180. [Google Scholar] [CrossRef] [PubMed]
- Khan, S.U.M.; Al-Shahry, M.; Ingler, W.B. Efficient photochemical water splitting by a chemically modified N-TiO2. Science 2002, 297, 2243–2245. [Google Scholar] [CrossRef] [PubMed]
- Ning, X.F.; Lu, G.X. Photocorrosion inhibition of CdS-based catalysts for photocatalytic overall water splitting. Nanoscale 2020, 12, 1213–1223. [Google Scholar] [CrossRef]
- Zhang, T.; Qian, Y.; Gao, H.; Huang-Fu, Z.C.; Brown, J.B.; Rao, Y. Surface states for photoelectrodes of gallium phosphide (GaP) with surface-specific electronic spectra and phase measurements. J. Phys. Chem. C 2022, 126, 6761–6772. [Google Scholar] [CrossRef]
- Maeda, K.; Takata, T.; Hara, M.; Saito, N.; Inoue, Y.; Kobayashi, H.; Domen, K. GaN:ZnO Solid solution as a photocatalyst for visible-light-driven overall water splitting. J. Am. Chem. Soc. 2005, 127, 8286–8287. [Google Scholar] [CrossRef]
- Wen, J.; Li, X.; Liu, W.; Fang, Y.; Xie, J.; Xu, Y. Photocatalysis Fundamentals and Surface Modification of TiO2 Nanomaterials. Cuihua Xuebao/Chin. J. Catal. 2015, 36, 2049–2070. [Google Scholar] [CrossRef]
- Ong, W.J.; Tan, L.L.; Ng, Y.H.; Yong, S.T.; Chai, S.P. Graphitic Carbon Nitride (g-C3N4)-Based Photocatalysts for Artificial Photosynthesis and Environmental Remediation: Are We a Step Closer to Achieving Sustainability? Chem. Rev. 2016, 116, 7159–7329. [Google Scholar] [CrossRef]
- Bhoyar, T.; Kim, D.J.; Abraham, B.M.; Tonda, S.; Manwar, N.R.; Vidyasagar, D.; Umare, S.S. Tailoring photoactivity of polymeric carbon nitride via donor-π-acceptor network. Appl. Catal. B Environ. 2022, 310, 121347. [Google Scholar] [CrossRef]
- Chen, R.; Shi, J.L.; Ma, Y.; Lin, G.; Lang, X.; Wang, C. Designed synthesis of a 2D porphyrin-based sp2 carbon-conjugated covalent organic framework for heterogeneous photocatalysis. Angew. Chem. Int. Ed. 2019, 58, 6430–6434. [Google Scholar] [CrossRef]
- Li, X.; Dong, Q.; Tian, Q.; Sial, A.; Wang, H.; Wen, H.; Wang, C. Recent advance in metal-and covalent-organic framework-based photocatalysis for hydrogen evolution. Mater. Today Chem. 2022, 26, 101037. [Google Scholar] [CrossRef]
- Dong, P.; Wang, Y.; Zhang, A.; Cheng, T.; Xi, X.; Zhang, J. Platinum single atoms anchored on a covalent organic framework: Boosting active sites for photocatalytic hydrogen evolution. ACS Catal. 2021, 11, 13266–13279. [Google Scholar] [CrossRef]
- Liu, C.; Xiao, Y.; Yang, Q.; Wang, Y.; Lu, R.; Chen, Y.; Yan, H. A highly fluorine-functionalized 2D covalent organic framework for promoting photocatalytic hydrogen evolution. Appl. Surf. Sci. 2021, 537, 148082. [Google Scholar] [CrossRef]
- Wang, H.; Wang, H.; Wang, Z.; Tang, L.; Zeng, G.; Xu, P.; Tang, J. Covalent organic framework photocatalysts: Structures and applications. Chem. Soc. Rev. 2020, 49, 4135–4165. [Google Scholar] [CrossRef]
- Li, X.L.; Zhang, C.L.; Cai, S.L.; Lei, X.H.; Altoe, V.; Hong, F.; Urban, J.J.; Ciston, J.; Chan, E.M.; Liu, Y. Facile transformation of imine covalent organic frameworks into ultrastable crystalline porous aromatic frameworks. Nat. Commun. 2018, 9, 2998. [Google Scholar] [CrossRef]
- Zhao, Q.; Chen, S.; Ren, H.; Chen, C.; Yang, W. Ruthenium nanoparticles confined in covalent organic framework/reduced graphene oxide as electrocatalyst toward hydrogen evolution reaction in alkaline media. Ind. Eng. Chem. Res. 2021, 60, 11070–11078. [Google Scholar] [CrossRef]
- Shen, H.; Shang, D.; Li, L.; Li, D.; Shi, W. Rational design of 2D/2D covalent-organic framework/TiO2 nanosheet heterojunction with boosted photocatalytic H2 evolution. Appl. Surf. Sci. 2022, 578, 152024. [Google Scholar] [CrossRef]
- Yang, S.; Gong, Y.; Zhang, J.; Zhan, L.; Ma, L.; Fang, Z.; Vajtai, R.; Wang, X.; Ajayan, P.M. Exfoliated graphitic carbon nitride nanosheets as efficient catalysts for hydrogen evolution under visible light. Adv. Mater. 2013, 25, 2452–2456. [Google Scholar] [CrossRef]
- Xu, X.; Lai, L.; Jiang, J.; He, Z.Q.; Song, S. C, N-codoped TiO2 with a nitrogen-doped carbon coating derived from 2,6-diaminopyridine for visible light-induced photocatalytic hydrogen evolution. J. Phys. Chem. C 2019, 123, 9702–9712. [Google Scholar] [CrossRef]
- Zeng, T.; Li, S.Q.; Shen, Y.; Zhang, H.; Feng, H.; Zhang, X.; Li, L.; Cai, Z.; Song, S. Sodium doping and 3D honeycomb nanoarchitecture: Key features of covalent triazine-based frameworks (CTF) organocatalyst for enhanced solar-driven advanced oxidation processes. Appl. Catal. B Environ. 2019, 257, 117915. [Google Scholar] [CrossRef]
- Shen, Y.; Zhu, C.; Song, S.; Zeng, T.; Li, L.; Cai, Z. Defect-abundant covalent triazine frameworks as sunlight-driven self-cleaning adsorbents for volatile aromatic pollutants in water. Environ. Sci. Technol. 2019, 53, 9091–9101. [Google Scholar] [CrossRef] [PubMed]
- Gao, R.; Bai, J.; Shen, R.; Hao, L.; Huang, C.; Wang, L.; Li, X. 2D/2D covalent organic framework/CdS Z-scheme heterojunction for enhanced photocatalytic H2 evolution: Insights into interfacial charge transfer mechanism. J. Mater. Sci. Technol. 2023, 137, 223–231. [Google Scholar] [CrossRef]
- Xie, J.; Shevlin, S.A.; Ruan, Q.; Moniz, S.J.; Liu, Y.; Liu, X.; Tang, J. Efficient visible light-driven water oxidation and proton reduction by an ordered covalent triazine-based framework. Energy Environ. Sci. 2018, 11, 1617–1624. [Google Scholar] [CrossRef]
- Li, C.; Wu, H.; Zhu, D.; Zhou, T.; Yan, M.; Chen, G.; Dong, H. High-efficient charge separation driven directionally by pyridine rings grafted on carbon nitride edge for boosting photocatalytic hydrogen evolution. Appl. Catal. B Environ. 2021, 297, 120433. [Google Scholar] [CrossRef]
- Bhunia, A.; Esquivel, D.; Dey, S.; Fernández-Terán, R.; Goto, Y.; Inagaki, S.; Janiak, C. A photoluminescent covalent triazine framework: CO2 adsorption, light-driven hydrogen evolution and sensing of nitroaromatics. J. Mater. Chem. A 2016, 4, 13450–13457. [Google Scholar] [CrossRef]
- Talapaneni, S.N.; Hwang, T.H.; Je, S.H.; Buyukcakir, O.; Choi, J.W.; Coskun, A. Elemental-sulfur-mediated facile synthesis of a covalent triazine framework for high-performance lithium-sulfur batteries. Angew. Chem. Int. Ed. 2016, 55, 3106–3111. [Google Scholar] [CrossRef]
- Zheng, Y.; Chen, S.; Zhang, K.A.; Zhu, J.; Xu, J.; Zhang, C.; Liu, T. Ultrasound-triggered assembly of covalent triazine framework for synthesizing heteroatom-doped carbon nanoflowers boosting metal-free bifunctional electrocatalysis. Appl. Mater. Interfaces 2021, 13, 13328–13337. [Google Scholar] [CrossRef]
- He, J.; Wang, X.; Jin, S.; Liu, Z.Q.; Zhu, M. 2D metal-free heterostructure of covalent triazine framework/g-C3N4 for enhanced photocatalytic CO2 reduction with high selectivity. Chin. J. Catal. 2022, 43, 1306–1315. [Google Scholar] [CrossRef]
- Zheng, Y.; Xia, S.; Dong, F.; Sun, H.; Pang, Y.; Yang, J.; Zheng, S. High performance Li metal anode enabled by robust covalent triazine framework-based protective layer. Adv. Funct. Mater. 2021, 31, 2006159. [Google Scholar] [CrossRef]
- Wang, C.; Zhang, H.; Luo, W.; Sun, T.; Xu, Y. Ultrathin crystalline covalent-triazine-framework nanosheets with electron donor groups for synergistically enhanced photocatalytic water splitting. Angew. Chem. Int. Ed. 2021, 60, 25381–25390. [Google Scholar] [CrossRef]
- Wei, S.; Zhang, F.; Zhang, W.; Qiang, P.; Yu, K.; Fu, X.; Wu, D.; Bi, S.; Zhang, F. Semiconducting 2D triazine-cored covalent organic frameworks with unsubstituted olefin linkages. J. Am. Chem. Soc. 2019, 141, 14272–14279. [Google Scholar] [CrossRef]
- Mo, C.; Yang, M.; Sun, F.; Jian, J.; Zhong, L.; Fang, Z.; Feng, J.; Yu, D. Alkene-linked covalent organic frameworks boosting photocatalytic hydrogen evolution by efficient charge separation and transfer in the presence of sacrificial electron donors. Adv. Sci. 2020, 7, 1902988. [Google Scholar] [CrossRef]
- Vyas, V.S.; Haase, F.; Stegbauer, L.; Savasci, G.; Podjaski, F.; Ochsenfeld, C.; Lotsch, B.V. A tunable azine covalent organic framework platform for visible light-induced hydrogen generation. Nat. Commun. 2015, 6, 8508. [Google Scholar] [CrossRef]
- Jayaramulu, K.; Toyao, T.; Ranc, V.; Rösler, C.; Petr, M.; Zboril, R.; Horiuchi, Y.; Matsuoka, M.; Fischer, R.A. An in situ porous cuprous oxide/nitrogen-rich graphitic carbon nanocomposite derived from a metal–organic framework for visible light driven hydrogen evolution. J. Mater. Chem. A 2016, 4, 18037–18042. [Google Scholar] [CrossRef]
- Zhang, R.; Liu, Y.; Wang, J.; Wang, Z.; Wang, P.; Zheng, Z.; Qin, X.; Zhang, X.; Dai, Y.; Huang, B. Post-synthetic platinum complex modification of a triazine based metal organic frameworks for enhanced photocatalytic H2 evolution. J. Solid State Chem. 2019, 271, 260–265. [Google Scholar] [CrossRef]
- Xu, N.; Liu, Y.; Yang, W.; Tang, J.; Cai, B.; Li, Q.; Fan, Y. 2D-2D Heterojunctions of a covalent triazine framework with a triphenylphosphine-based covalent organic framework for efficient photocatalytic hydrogen evolution. Appl. Energy Mater. 2020, 3, 11939–11946. [Google Scholar] [CrossRef]













| Photocatalyst/ Co-Catalyst | Light Source | Aqueous Reaction Solution | H2 Evolution Rate | Reference |
|---|---|---|---|---|
| PCN-9-Pt | >400 nm | TEOA | 33.5 μmol g−1 h−1 | Ref. [32] |
| COF–imide | >420 nm | Water | 34 μmol h−1∙g−1 | Ref. [33] |
| N1–COF | >420 nm | PBS buffer | 90 μmol h−1∙g−1 | Ref. [34] |
| N0–COF | >420 nm | PBS buffer | 23 μmol g−1 h−1 | Ref. [34] |
| Cu2O@C3N | Visible light | EDTA | 26 μmol g−1 h−1 | Ref. [35] |
| g–C33N3–COF | >420 nm | Water | 74 μmol h−1∙g−1 | Ref. [36] |
| CTF | AM 1.5G | TEOA | 3.7 ± 2 μmol g−1 h−1 | This work |
| 1%PCN@CTF | AM 1.5G | TEOA | 170.2 ± 2.3 μmol g−1 h−1 | This work |
Disclaimer/Publisher’s Note: The statements, opinions and data contained in all publications are solely those of the individual author(s) and contributor(s) and not of MDPI and/or the editor(s). MDPI and/or the editor(s) disclaim responsibility for any injury to people or property resulting from any ideas, methods, instructions or products referred to in the content. |
© 2023 by the authors. Licensee MDPI, Basel, Switzerland. This article is an open access article distributed under the terms and conditions of the Creative Commons Attribution (CC BY) license (https://creativecommons.org/licenses/by/4.0/).
Share and Cite
Kong, X.; Yang, F.; Li, X.; Fu, M.; Zeng, T.; Song, S.; He, Z.; Yu, Y. Covalent Triazine Frameworks Decorated with Pyridine-Type Carbonitride Moieties: Enhanced Photocatalytic Hydrogen Evolution by Improved Charge Separation. Polymers 2023, 15, 1781. https://doi.org/10.3390/polym15071781
Kong X, Yang F, Li X, Fu M, Zeng T, Song S, He Z, Yu Y. Covalent Triazine Frameworks Decorated with Pyridine-Type Carbonitride Moieties: Enhanced Photocatalytic Hydrogen Evolution by Improved Charge Separation. Polymers. 2023; 15(7):1781. https://doi.org/10.3390/polym15071781
Chicago/Turabian StyleKong, Xianxian, Fan Yang, Xiaoying Li, Mengying Fu, Tao Zeng, Shuang Song, Zhiqiao He, and Yan Yu. 2023. "Covalent Triazine Frameworks Decorated with Pyridine-Type Carbonitride Moieties: Enhanced Photocatalytic Hydrogen Evolution by Improved Charge Separation" Polymers 15, no. 7: 1781. https://doi.org/10.3390/polym15071781
APA StyleKong, X., Yang, F., Li, X., Fu, M., Zeng, T., Song, S., He, Z., & Yu, Y. (2023). Covalent Triazine Frameworks Decorated with Pyridine-Type Carbonitride Moieties: Enhanced Photocatalytic Hydrogen Evolution by Improved Charge Separation. Polymers, 15(7), 1781. https://doi.org/10.3390/polym15071781

