Effect of Salt Solution Environment on the Aging of Styrene−Butadiene−Styrene (SBS)-Modified Asphalt
Abstract
1. Introduction
2. Materials and Methods
2.1. Materials
2.2. Preparation of Salt Solution
2.3. Aging Specimens Preparation
2.3.1. TFOT
2.3.2. PAV Test
2.3.3. Salt Environment Aging Test
2.4. Test Methods
2.4.1. Salt Solution Volatilization Rate Test
2.4.2. TS Test
2.4.3. FS Test
2.4.4. MSCR Test
3. Results and Discussion
3.1. Salt Solution Volatilization Rate
3.2. Analysis for TS Test
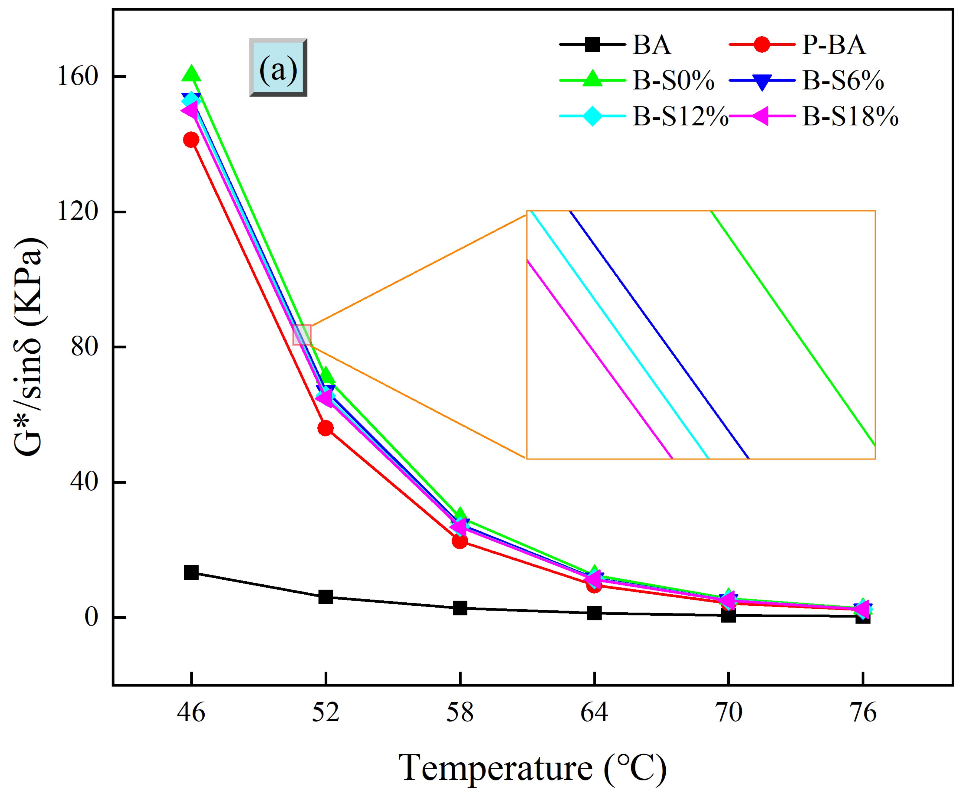
3.2.1. Rutting Factor
3.2.2. Aging Index
3.3. Analysis for FS Test
3.3.1. Cole–Cole Diagram
3.3.2. Black Space Diagram
3.4. Analysis for MSCR Test
3.4.1. Shear Strain Curve
3.4.2. R and Jnr


4. Conclusions
- (1)
- The salt solution has a smaller volatilization rate than the water solution at the same temperature. Moreover, the greater the concentration of the salt solution, the smaller the volatilization rate.
- (2)
- The rutting factors of SBS-modified asphalt and base asphalt after aging in salt solution are significantly enhanced. The rutting factors of base asphalt after aging are higher than that of SBS-modified asphalt, indicating that SBS-modified asphalt has better resistance to aging. After the coupled aging effects of salt solution and oxygen, the aging degree of base asphalt in salt solution is lower than that of pure water, and SBS-modified asphalt shows a higher degree of aging when the salt solution concentration is 12%. Similar conclusions are obtained using aging index analysis.
- (3)
- The Cole–Cole diagrams in the FS test results indicate that with the increase in temperature, the SBS modifiers can effectively prevent the viscosity of asphalt from increasing after salt solution aging. From the black space diagram, it can be seen that the changes in SBS-modified asphalt after aging in salt solution are significantly different in the high-frequency region and low-frequency region. This indicates that the viscoelastic change in SBS-modified asphalt after aging is more complicated than that of base asphalt.
- (4)
- The recovery ability of SBS-modified asphalt after salt solution aging is much larger than that of base asphalt. SBS-modified asphalt has the smallest Jnr and the greatest resistance to rutting at high temperatures at a salt solution concentration of 12. This also shows that the complexity of SBS-modified asphalt changes with the aging condition of salt solution.
Author Contributions
Funding
Institutional Review Board Statement
Informed Consent Statement
Data Availability Statement
Conflicts of Interest
References
- Xing, C.W.; Li, M.C.; Liu, L.Y.; Lu, R.; Liu, N.; Wu, W.J.; Yuan, D.D. A comprehensive review on the blending condition between virgin and RAP asphalt binders in hot recycled asphalt mixtures: Mechanisms, evaluation methods, and influencing factors. J. Clean. Prod. 2023, 398, 136515. [Google Scholar] [CrossRef]
- Office, J.E.; Cavalli, M.C.; Chen, D.; Chen, Q.; Chen, Y.; Falchetto, A.C.; Fang, M.; Gu, H.; Han, Z.; He, Z.; et al. Review of advanced road materials, structures, equipment, and detection technologies. J. Road Eng. 2023, 3, 370–468. [Google Scholar]
- Yu, H.; Ma, T.; Wang, D.; Wang, Z.; Lv, S.; Zhu, X.Y.; Liu, P.; Li, F.; Xiao, Y.; Zhang, J. Review on China’s Pavement Engineering Research2020. Zhongguo Gonglu Xuebao/China J. Highw. Transp. 2020, 33, 1–66. [Google Scholar]
- Wang, W.; Yang, L.; Cui, H.; Wu, F.; Cheng, Y.; Liang, C. Freeze–Thaw Damage Mechanism Analysis of SBS Asphalt Mixture Containing Basalt Fiber and Lignocellulosic Fiber Based on Microscopic Void Characteristics. Polymers 2023, 15, 3887. [Google Scholar] [CrossRef] [PubMed]
- Yu, H.; Bai, X.; Qian, G.; Wei, H.; Gong, X.; Jin, J.; Li, Z. Impact of Ultraviolet Radiation on the Aging Properties of SBS-Modified Asphalt Binders. Polymers 2019, 11, 1111. [Google Scholar] [CrossRef] [PubMed]
- Zaidullin, I.M.; Petrova, L.M.; Yakubov, M.R.; Borisov, D.N. Variation of the composition of asphaltenes in the course of bitumen aging in the presence of antioxidants. Russ. J. Appl. Chem. 2013, 86, 1070–1075. [Google Scholar] [CrossRef]
- Wu, W.J.; Cavalli, M.C.; Jiang, W.; Kringos, N. Differing perspectives on the use of high-content SBS polymer-modified bitumen. Constr. Build. Mater. 2024, 411, 134433. [Google Scholar] [CrossRef]
- Wu, W.; Jiang, W.; Xiao, J.; Yuan, D.; Wang, T.; Ling, X. Investigation of LAS-based fatigue evaluation methods for high-viscosity modified asphalt binders with high-content polymers. Constr. Build. Mater. 2024, 422, 135810. [Google Scholar] [CrossRef]
- Xing, C.W.; Jiang, W.; Wang, M.; Zhao, K.; Li, Z.H. Minireview on the Rejuvenation of Aged Styrene-Butadiene-Styrene (SBS) Modified Bitumen: State-of-the-Art and Outlook. Energy Fuels 2023, 37, 7634–7647. [Google Scholar] [CrossRef]
- Liu, G.; Nielsen, E.; Komacka, J.; Greet, L.; van de Ven, M. Rheological and chemical evaluation on the ageing properties of SBS polymer modified bitumen: From the laboratory to the field. Constr. Build. Mater. 2014, 51, 244–248. [Google Scholar] [CrossRef]
- Liu, L.; Dong, W.; Sun, L.; Jiang, T. Ultraviolet radiation aging performance of SBS and SBR modified asphalt. J. Build. Mater. 2009, 12, 676–678. [Google Scholar]
- Zhang, Q.; Wu, D.L.; Zhang, X.J.; Chang, K.L.; Wang, Y.B. Effect of organic deicing agents on asphalt rheology and analysis of the mechanism. Constr. Build. Mater. 2021, 284, 122649. [Google Scholar] [CrossRef]
- Zhang, Q.L.; Huang, Z.Y. Investigation of the Microcharacteristics of Asphalt Mastics under Dry-Wet and Freeze-Thaw Cycles in a Coastal Salt Environment. Materials 2019, 12, 2627. [Google Scholar] [CrossRef] [PubMed]
- Feng, D.; Yi, J.; Wang, D.; Chen, L. Impact of salt and freeze–thaw cycles on performance of asphalt mixtures in coastal frozen region of China. Cold Reg. Sci. Technol. 2010, 62, 34–41. [Google Scholar] [CrossRef]
- Ogbon, W.A.; Xu, H.N.; Jiang, W.; Xing, C.W. Polymer-modified asphalt binders’ properties deterioration under the action of chloride salt. Road Mater. Pavement Des. 2023, 24, 2069–2089. [Google Scholar] [CrossRef]
- Wei, H.; Bai, X.P.; Qian, G.P.; Wang, F.Y.; Li, Z.F.; Jin, J.; Zhang, Y.H. Aging Mechanism and Properties of SBS Modified Bitumen under Complex Environmental Conditions. Materials 2019, 12, 1189. [Google Scholar] [CrossRef] [PubMed]
- Zhang, Y.H.; Wei, H.; Dai, Y.H. Influence of Different Aging Environments on Rheological Behavior and Structural Properties of Rubber Asphalt. Materials 2020, 13, 3376. [Google Scholar] [CrossRef] [PubMed]
- Guo, R.H.; Zhang, H.H.; Tan, Y.X. Influence of salt dissolution on durable performance of asphalt and Self-ice-melting asphalt mixture. Constr. Build. Mater. 2022, 346, 128329. [Google Scholar] [CrossRef]
- Zhang, R.; Tang, N.P.; Zhu, H.Z. The effect of sea salt solution erosion on cohesion, chemical and rheological properties of SBS modified asphalt. Constr. Build. Mater. 2022, 318, 125923. [Google Scholar] [CrossRef]
- Zhang, R.; Tang, N.P.; Deng, X.K.; Zhu, H.Z.; Su, C.L.; Xi, Y. Erosion mechanism of sea salt solution on the performance of SBS-modified asphalt mixtures. Int. J. Pavement Eng. 2022, 120991. [Google Scholar] [CrossRef]
- JTG F40-2004; Technical Specifications for Construction of Highway Asphalt Pavements. People’s Republic of China Ministry of Transportation: Beijing, China, 2004.
- GB/T 1266-2006; Chemical Reagents. Sodium Chloride. Standardization Administration of China: Beijing, China, 2006.
- GB/T 9853-2008; Chemical Reagent. Sodium Sulfate Anhydrous. Standardization Administration of China: Beijing, China, 2008.
- ASTM D1754-97(2002); Standard Test Method for Effect of Heat and Air on Asphaltic Materials (Thin-Film Oven Test). ASTM International: West Conshohocken, PA, USA, 2002.
- ASTM D6521-22; Standard Practice for Accelerated Aging of Asphalt Binder Using a Pressurized Aging Vessel (PAV). ASTM International: West Conshohocken, PA, USA, 2022.
- ASTM D7175-08; Standard Test Method for Determining the Rheological Properties of Asphalt Binder Using a Dynamic Shear Rheometer. ASTM International: West Conshohocken, PA, USA, 2015.
- AASHTO T 350; Standard Method of Test for Multiple Stress Creep Recovery (MSCR) Test of Asphalt Binder Using a Dynamic Shear Rheometer (DSR). AASHTO: Washington, DC, USA, 2019.
- Xing, C.W.; Liu, L.P.; Cui, Y.; Ding, D. Analysis of base bitumen chemical composition and aging behaviors via atomic force microscopy-based infrared spectroscopy. Fuel 2020, 264, 116845. [Google Scholar] [CrossRef]
- Tarar, M.A.; Khan, A.H.; Rehman, Z.U.; Inam, A. Changes in the rheological characteristics of asphalt binders modified with soybean-derived materials. Int. J. Pavement Eng. 2021, 22, 233–248. [Google Scholar] [CrossRef]
- Wu, W.J.; Jiang, W.; Xiao, J.J.; Yuan, D.D.; Wang, T.; Xing, C.W. Analysis of thermal susceptibility and rheological properties of asphalt binder modified with microwave activated crumb rubber. J. Clean. Prod. 2022, 377, 134488. [Google Scholar] [CrossRef]
- Shi, K.; Ma, F.; Liu, J.; Song, R.M.; Fu, Z.; Dai, J.S.; Li, C.; Wen, Y.L. Development of a new rejuvenator for aged SBS modified asphalt binder. J. Clean. Prod. 2022, 380, 134986. [Google Scholar] [CrossRef]
- Tarar, M.A.; Khan, A.H.; Rehman, Z.U.; Qamar, S.; Akhtar, M.N. Performance characteristics of asphalt binders modified with sunflower flour: A sustainable application of renewable resource derived material. Constr. Build. Mater. 2020, 242, 118157. [Google Scholar] [CrossRef]
- Airey, G.D. Use of black diagrams to identify inconsistencies in rheological data. Road Mater. Pavement Des. 2002, 3, 403–424. [Google Scholar] [CrossRef]









| Number | Terminology | Abbreviate | 
|---|---|---|
| 1 | Virgin base asphalt | BA | 
| 2 | Virgin SBS-modified asphalt | SMA | 
| 3 | Long-term aged base asphalt | P-BA | 
| 4 | Long-term aged SBS-modified asphalt | P-SMA | 
| 5 | 0% Salt + Long-term aged base asphalt | B-S0% | 
| 6 | 6% Salt + Long-term aged base asphalt | B-S6% | 
| 7 | 12% Salt + Long-term aged base asphalt | B-S12% | 
| 8 | 18% Salt + Long-term aged base asphalt | B-S18% | 
| 9 | 0% Salt + Long-term aged SBS-modified asphalt | S-S0% | 
| 10 | 6% Salt + Long-term aged SBS-modified asphalt | S-S6% | 
| 11 | 12% Salt + Long-term aged SBS-modified asphalt | S-S12% | 
| 12 | 18% Salt + Long-term aged SBS-modified asphalt | S-S18% | 
| Disclaimer/Publisher’s Note: The statements, opinions and data contained in all publications are solely those of the individual author(s) and contributor(s) and not of MDPI and/or the editor(s). MDPI and/or the editor(s) disclaim responsibility for any injury to people or property resulting from any ideas, methods, instructions or products referred to in the content. | 
© 2024 by the authors. Licensee MDPI, Basel, Switzerland. This article is an open access article distributed under the terms and conditions of the Creative Commons Attribution (CC BY) license (https://creativecommons.org/licenses/by/4.0/).
Share and Cite
Xing, C.; Zhu, B.; Chiang, K.C.K.; Chen, C.; Liu, L.; Chang, Z. Effect of Salt Solution Environment on the Aging of Styrene−Butadiene−Styrene (SBS)-Modified Asphalt. Polymers 2024, 16, 1709. https://doi.org/10.3390/polym16121709
Xing C, Zhu B, Chiang KCK, Chen C, Liu L, Chang Z. Effect of Salt Solution Environment on the Aging of Styrene−Butadiene−Styrene (SBS)-Modified Asphalt. Polymers. 2024; 16(12):1709. https://doi.org/10.3390/polym16121709
Chicago/Turabian StyleXing, Chengwei, Bohan Zhu, Kingsley C. K. Chiang, Cheng Chen, Lingxiao Liu, and Zhibin Chang. 2024. "Effect of Salt Solution Environment on the Aging of Styrene−Butadiene−Styrene (SBS)-Modified Asphalt" Polymers 16, no. 12: 1709. https://doi.org/10.3390/polym16121709
APA StyleXing, C., Zhu, B., Chiang, K. C. K., Chen, C., Liu, L., & Chang, Z. (2024). Effect of Salt Solution Environment on the Aging of Styrene−Butadiene−Styrene (SBS)-Modified Asphalt. Polymers, 16(12), 1709. https://doi.org/10.3390/polym16121709
 
        


 
       