Prediction of Residual Compressive Strength after Impact Based on Acoustic Emission Characteristic Parameters
Abstract
1. Introduction
2. Experiments and Methods
2.1. Materials and Specimens
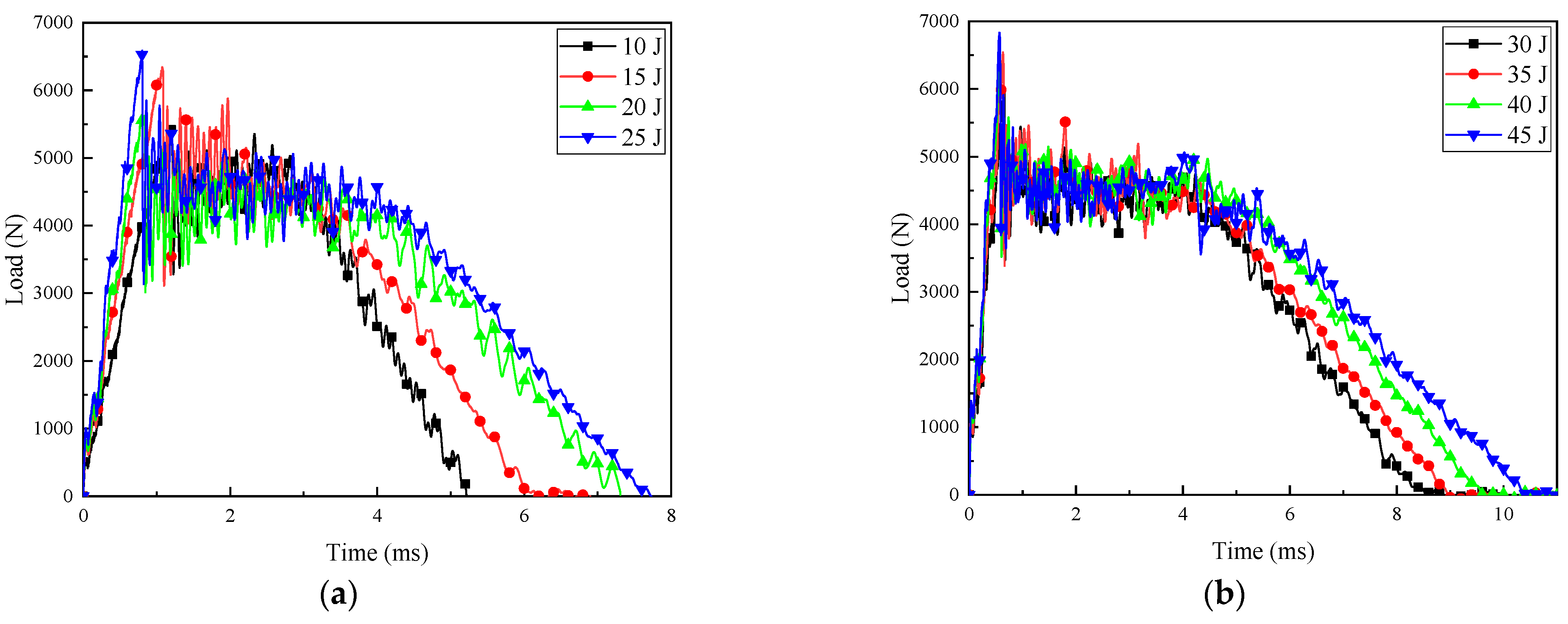
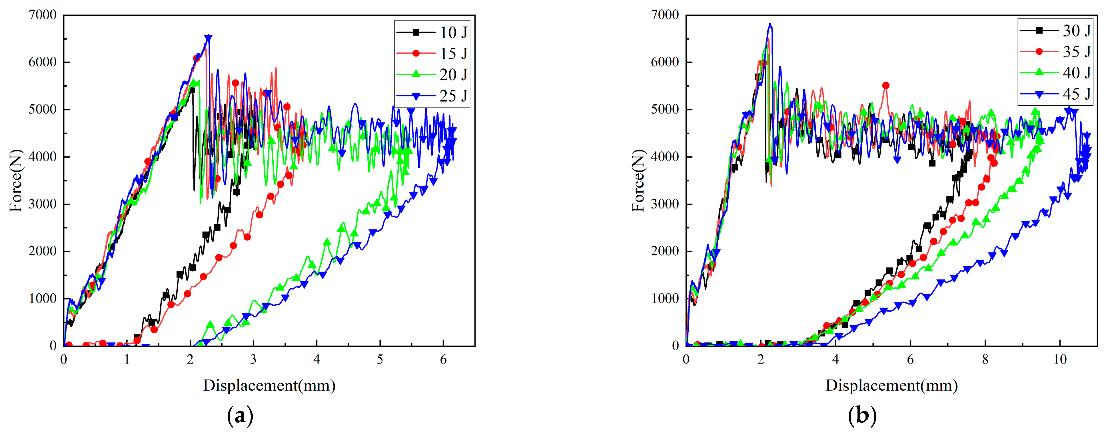
2.2. Low-Velocity Impact Test and Result Analysis
2.3. Compression after Impact Test and Result Analysis
3. Prediction of Residual Compressive Strength
3.1. Construction of Characteristic Parameter Dataset
- Peak amplitude: the maximum voltage of the signal, measured in volts (V) or decibels (dB).
- Duration: the time interval between the first and last threshold crossings, measured in microseconds (µs).
- Rise time: the time interval between the first threshold and the maximum amplitude, measured in microseconds (µs).
- Ringing count: the number of times the waveform crosses the threshold in the increasing direction during the duration of the waveform.
- Energy: the area under the squared waveform during its duration, measured in mV·mS.
- RMS voltage: The root mean square value of the signal level over the sampling time, measured in mV.
- Average signal level: the average value of the signal level during the sampling time, measured in millivolts (mV).
- Peak frequency: the frequency corresponding to the highest amplitude in the frequency distribution obtained from the fast Fourier transform of the signal, measured in kilohertz (kHz).

3.2. Residual Strength Prediction Based on XGBoost Model
3.3. Sensitivity Analysis of Characteristic Parameters
4. Conclusions
Author Contributions
Funding
Institutional Review Board Statement
Data Availability Statement
Acknowledgments
Conflicts of Interest
References
- Yao, S.-S.; Jin, F.-L.; Rhee, K.Y.; Hui, D.; Park, S.-J. Recent advances in carbon-fiber-reinforced thermoplastic composites: A review. Compos. Part B Eng. 2018, 142, 241–250. [Google Scholar] [CrossRef]
- Aamir, M.; Tolouei-Rad, M.; Giasin, K.; Nosrati, A. Recent advances in drilling of carbon fiber reinforced polymers for aerospace applications: A review. Int. J. Adv. Manuf. Technol. 2019, 105, 2289–2308. [Google Scholar] [CrossRef]
- Zadafiya, K.; Bandhu, D.; Kumari, S.; Chatterjee, S.; Abhishek, K. Recent trends in drilling of carbon fiber reinforced polymers (CFRPs): A state-of-the-art review. J. Manuf. Process. 2021, 69, 47–68. [Google Scholar] [CrossRef]
- Sayam, A.; Rahman, A.N.M.M.; Rahman, S.; Smriti, S.A.; Ahmed, F.; Rabbi, F.; Hossain, M.; Faruque, O. A review on carbon fiber-reinforced hierarchical composites: Mechanical performance, manufacturing process, structural applications and allied challenges. Carbon Lett. 2022, 32, 1173–1205. [Google Scholar] [CrossRef]
- Johnson, W.; Masters, J.; Wilson, D.; Kassapoglou, C. Compression Strength of Composite Sandwich Structures After Barely Visible Impact Damage. J. Compos. Technol. Res. 1996, 18, 274–284. [Google Scholar] [CrossRef]
- Vandendriessche, J.; Orta, A.H.; Verboven, E.; Van Paepegem, W.; Abeele, K.V.D.; Kersemans, M. Probabilistic ultrasound C-scan imaging of barely visible impact damage in CFRP laminates. Compos. Struct. 2022, 284, 115209. [Google Scholar] [CrossRef]
- Yousefi, J.; Mohamadi, R.; Saeedifar, M.; Ahmadi, M.; Hosseini-Toudeshky, H. Delamination characterization in composite laminates using acoustic emission features, micro visualization and finite element modeling. J. Compos. Mater. 2015, 50, 924–926. [Google Scholar] [CrossRef]
- Mohammadi, R.; Saeedifar, M.; Toudeshky, H.H.; Najafabadi, M.A.; Fotouhi, M. Prediction of delamination growth in carbon/epoxy composites using a novel acoustic emission-based approach. J. Reinf. Plast. Compos. 2015, 34, 868–878. [Google Scholar] [CrossRef]
- Saeedifar, M.; Fotouhi, M.; Najafabadi, M.A.; Toudeshky, H.H. Interlaminar Fracture Toughness Evaluation in Glass/Epoxy Composites Using Acoustic Emission and Finite Element Methods. J. Mater. Eng. Perform. 2015, 24, 373–384. [Google Scholar] [CrossRef]
- Li, L.; Sun, L.; Wang, T.; Kang, N.; Cao, W. Repeated low-velocity impact response and damage mechanism of glass fiber aluminium laminates. Aerosp. Sci. Technol. 2019, 84, 995–1010. [Google Scholar] [CrossRef]
- Soto, A.; González, E.; Maimí, P.; de la Escalera, F.M.; de Aja, J.S.; Alvarez, E. Low velocity impact and compression after impact simulation of thin ply laminates. Compos. Part A Appl. Sci. Manuf. 2018, 109, 413–427. [Google Scholar] [CrossRef]
- Rajendraboopathy, S.; Sasikumar, T.; Usha, K.M.; Vasudev, E.S. Artificial neural network a tool for predicting failure strength of composite tensile coupons using acoustic emission technique. Int. J. Adv. Manuf. Technol. 2009, 44, 399–404. [Google Scholar] [CrossRef]
- Arumugam, V.; Shankar, R.N.; Sridhar, B.; Stanley, A.J. Ultimate Strength Prediction of Carbon/Epoxy Tensile Specimens from Acoustic Emission Data. J. Mater. Sci. Technol. 2010, 26, 725–729. [Google Scholar] [CrossRef]
- Nguyen, H.D.; Dao, N.D.; Shin, M. Prediction of seismic drift responses of planar steel moment frames using artificial neural network and extreme gradient boosting. Eng. Struct. 2021, 242, 112518. [Google Scholar] [CrossRef]
- Bensiger SS, B.; Kumar, C.S. Prediction of Failure Load in Glass/Epoxy Laminates from Acoustic Emission Monitoring Using Artificial Neural Network. Mech. Eng. 2014, 71, 24514–24517. [Google Scholar]
- D7136/D7136M-12; Standard Test Method for Measuring the Damage Resistance of a Fiber-Reinforced Polymer Matrix Composite to a Drop-Weight Impact Event. ASTM: West Conshohocken, PA, USA, 2015; ASTM D30-Composite Materials.
- Bian, T.; Lyu, Q.; Fan, X.; Zhang, X.; Li, X.; Guo, Z. Effects of Fiber Architectures on the Impact Resistance of Composite Laminates Under Low-Velocity Impact. Appl. Compos. Mater. 2022, 29, 1125–1145. [Google Scholar] [CrossRef]
- Gliszczynski, A.; Kubiak, T.; Rozylo, P.; Jakubczak, P.; Bieniaś, J. The response of laminated composite plates and profiles under low-velocity impact load. Compos. Struct. 2018, 207, 1–12. [Google Scholar] [CrossRef]
- ASTM D7137/D7137M-12; Standard Test Method for Compressive Residual Strength Properties of Damaged Polymer Matrix Composite Plates. ASTM: West Conshohocken, PA, USA, 2012.
- Mousa, M.A.; Yussof, M.M.; Hussein, T.S.; Assi, L.N.; Ghahari, S. A Digital Image Correlation Technique for Laboratory Structural Tests and Applications: A Systematic Literature Review. Sensors 2023, 23, 9362. [Google Scholar] [CrossRef] [PubMed]
- Selver, E.; Potluri, P.; Hogg, P.; Soutis, C. Impact damage tolerance of thermoset composites reinforced with hybrid commingled yarns. Compos. Part B Eng. 2016, 91, 522–538. [Google Scholar] [CrossRef]
- Kaware, K.; Kotambkar, M. Low velocity impact response and influence of parameters to improve the damage resistance of composite structures/materials: A critical review. Int. J. Crashworthiness 2022, 27, 1232–1256. [Google Scholar] [CrossRef]
- Mahajan, H.; Banerjee, S. Quantitative Investigation of Acoustic Emission Waveform Parameters from Crack Opening in a Rail Section Using Clustering Algorithms and Advanced Signal Processing. Sensors 2022, 22, 8643. [Google Scholar] [CrossRef] [PubMed]
- Chen, T.; Guestrin, C. XGBoost: A Scalable Tree Boosting System. In Proceedings of the 22nd ACM SIGKDD International Conference, San Francisco, CA, USA, 13–17 August 2016; ACM: New York, NY, USA, 2016. [Google Scholar]
- Borisov, V.; Leemann, T.; Seßler, K.; Haug, J.; Pawelczyk, M.; Kasneci, G. Deep Neural Networks and Tabular Data: A Survey. arXiv 2021, arXiv:2110.01889. [Google Scholar] [CrossRef] [PubMed]
- Bakouregui, A.S.; Mohamed, H.M.; Yahia, A.; Benmokrane, B. Explainable extreme gradient boosting tree-based prediction of load-carrying capacity of FRP-RC columns. Eng. Struct. 2021, 245, 112836. [Google Scholar] [CrossRef]
- Stojić, A.; Stanić, N.; Vuković, G.; Stanišić, S.; Perišić, M.; Šoštarić, A.; Lazić, L. Explainable extreme gradient boosting tree-based prediction of toluene, ethylbenzene and xylene wet deposition. Sci. Total Environ. 2019, 653, 140–147. [Google Scholar] [CrossRef]
- Yu, S.; Chen, Z.; Yu, B.; Wang, L.; Wu, B.; Wu, J.; Zhao, F. Exploring the relationship between 2D/3D landscape pattern and land surface temperature based on explainable eXtreme Gradient Boosting tree: A case study of Shanghai, China. Sci. Total Environ. 2020, 725, 138229. [Google Scholar] [CrossRef] [PubMed]
- Lim, S.; Chi, S. Xgboost application on bridge management systems for proactive damage estimation. Adv. Eng. Inform. 2019, 41, 100922. [Google Scholar] [CrossRef]
- Lundberg, S.; Lee, S.I. A Unified Approach to Interpreting Model Predictions. arXiv 2017, arXiv:1705.07874. [Google Scholar]













Disclaimer/Publisher’s Note: The statements, opinions and data contained in all publications are solely those of the individual author(s) and contributor(s) and not of MDPI and/or the editor(s). MDPI and/or the editor(s) disclaim responsibility for any injury to people or property resulting from any ideas, methods, instructions or products referred to in the content. |
© 2024 by the authors. Licensee MDPI, Basel, Switzerland. This article is an open access article distributed under the terms and conditions of the Creative Commons Attribution (CC BY) license (https://creativecommons.org/licenses/by/4.0/).
Share and Cite
Zhao, J.; Guo, Z.; Lyu, Q.; Wang, B. Prediction of Residual Compressive Strength after Impact Based on Acoustic Emission Characteristic Parameters. Polymers 2024, 16, 1780. https://doi.org/10.3390/polym16131780
Zhao J, Guo Z, Lyu Q, Wang B. Prediction of Residual Compressive Strength after Impact Based on Acoustic Emission Characteristic Parameters. Polymers. 2024; 16(13):1780. https://doi.org/10.3390/polym16131780
Chicago/Turabian StyleZhao, Jingyu, Zaoyang Guo, Qihui Lyu, and Ben Wang. 2024. "Prediction of Residual Compressive Strength after Impact Based on Acoustic Emission Characteristic Parameters" Polymers 16, no. 13: 1780. https://doi.org/10.3390/polym16131780
APA StyleZhao, J., Guo, Z., Lyu, Q., & Wang, B. (2024). Prediction of Residual Compressive Strength after Impact Based on Acoustic Emission Characteristic Parameters. Polymers, 16(13), 1780. https://doi.org/10.3390/polym16131780
