Phenylethynyl-Terminated Imide Oligomer-Based Thermoset Resins
Abstract
1. Introduction
2. PETI Resins with Intrinsic Structure
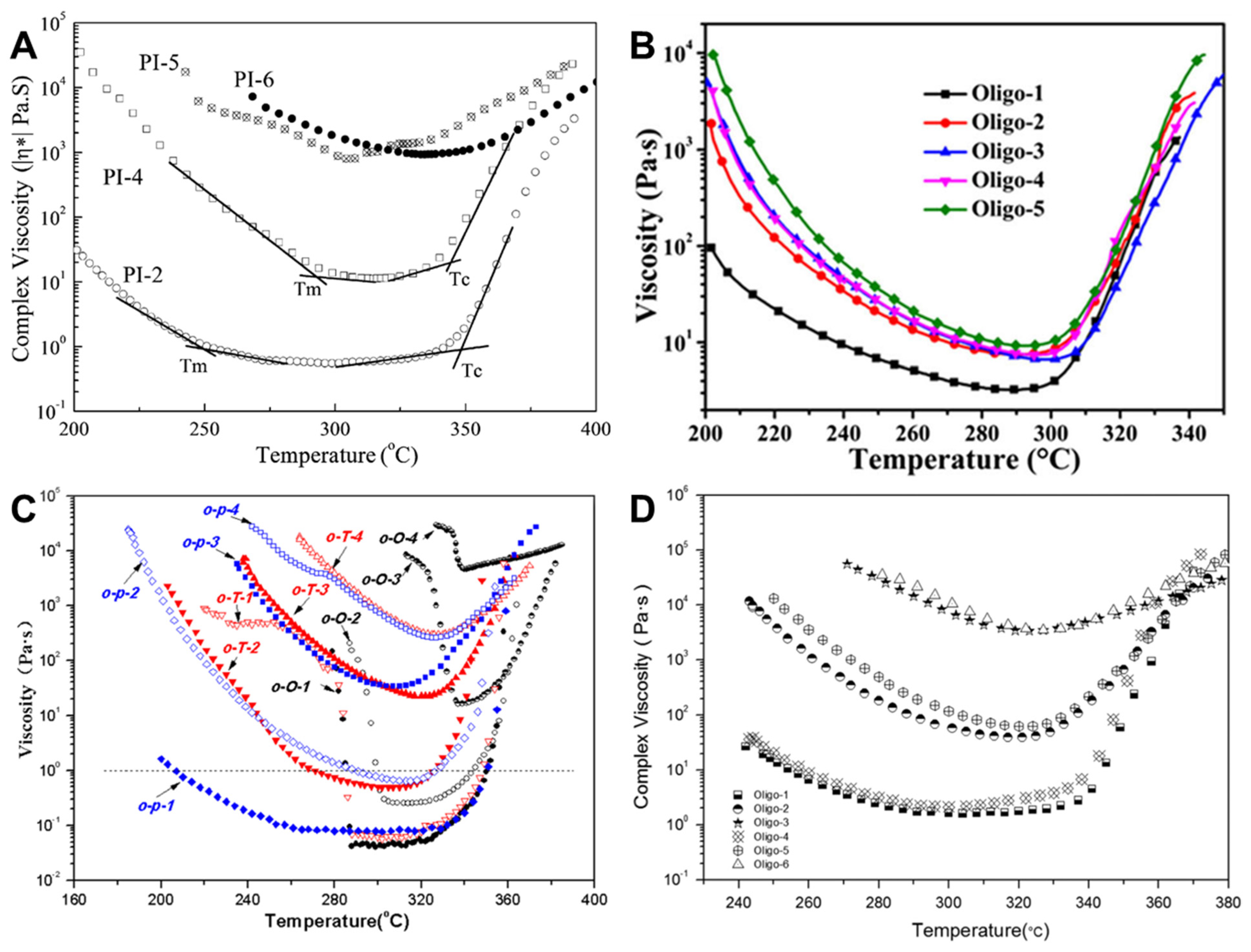
2.1. Isomeric Structure
2.2. Noncoplanar Structures (Kink, Spiro, and Cardo Structures)
2.2.1. Kink Structure
2.2.2. Cardo Structure
2.2.3. Asymmetric Structure
2.3. Fluorinated Units in Main Chains
2.4. Flexible Linkages in Main Chains
2.5. Inorganic Hybrid Structure

2.6. Liquid Crystalline Mesogenic Structure
3. Conclusions and Perspectives
Funding
Acknowledgments
Conflicts of Interest
References
- Hergenrother, P.M.; Smith, J.G. Chemistry and Properties of Imide Oligomers End-Capped with Phenylethynylphthalic Anhydrides. Polymer 1994, 35, 4857–4864. [Google Scholar] [CrossRef]
- Connell, J.W.; Smith, J.G.; Hergenrother, P.M. Oligomers and Polymers Containing Phenylethynyl Groups. J. Macromol. Sci. Part C Polym. Rev. 2000, 40, 207–230. [Google Scholar] [CrossRef]
- Yokota, R.; Yamamoto, S.; Yano, S.; Sawaguchi, T.; Hasegawa, M.; Yamaguchi, H.; Ozawa, H.; Sato, R. Molecular Design of Heat Resistant Polyimides Having Excellent Processability and High Glass Transition Temperature. High Perform. Polym. 2001, 13, S61–S72. [Google Scholar] [CrossRef]
- Cho, D.; Drzal, L.T. Characterization, Properties, and Processing of LaRCTM PETI-5 as a High-Temperature Sizing Material. I. FTIR Studies on Imidization and Phenylethynyl End-Group Reaction Behavior. J. Appl. Polym. Sci. 2000, 76, 190–200. [Google Scholar] [CrossRef]
- Fang, X.; Xie, X.; Simone, C.D.; Stevens, M.P.; Scola, D.A. A Solid-State 13C NMR Study of the Cure of 13C-Labeled Phenylethynyl End-Capped Polyimides. Macromolecules 2000, 33, 1671–1681. [Google Scholar] [CrossRef]
- Fang, X.; Rogers, D.F.; Scola, D.A.; Stevens, M.P. A Study of the Thermal Cure of a Phenylethynyl-Terminated Imide Model Compound and a Phenylethynyl-Terminated Imide Oligomer (PETI-5). J. Polym. Sci. Part A Polym. Chem. 1998, 36, 371–504. [Google Scholar] [CrossRef]
- Smith, J.G.; Connell, J.W.; Hergenrother, P.M. The Effect of Phenylethynyl Terminated Imide Oligomer Molecular Weight on the Properties of Composites. J. Compos. Mater. 2000, 34, 614–628. [Google Scholar] [CrossRef]
- Meng, X.; Zheng, Y.; Yan, J.; Li, Y.; Wang, Z.; Li, G. 2,3,3′,4′-Oxydiphthalic Dianhydride-Based Phenylethynyl-Terminated Imide Oligomers for Low-Temperature Resin Transfer Molding Applications. High Perform. Polym. 2016, 28, 962–970. [Google Scholar] [CrossRef]
- Meng, X.; Wen, Y.; Wang, X.; Shen, D.; Yan, J.; Wang, Z. High Performance Imide Oligomers and Thermosets Derived from 9,9-Bis(3,4-Dicarboxyphenyl)Fluorene Dianhydride. Polymer 2023, 281, 126086. [Google Scholar] [CrossRef]
- Miyauchi, M.; Ishida, Y.; Ogasawara, T.; Yokota, R. Synthesis and Characterization of Soluble Phenylethynyl-Terminated Imide Oligomers Derived from Pyromellitic Dianhydride and 2-Phenyl-4,4′-Diaminodiphenyl Ether. React. Funct. Polym. 2013, 73, 340–345. [Google Scholar] [CrossRef]
- Zuo, H.; Chen, J.; Hu, A.; Fan, L.; Yang, S. Meltable Phenylethynyl-Capped Oligoimide Resins Derived from 1,4-Bis(4-Amino-2-Trifluoromethylphenoxy)Benzene and 3,4′-Oxydianiline. Eur. Polym. J. 2007, 43, 3892–3903. [Google Scholar] [CrossRef]
- Wang, W.; Chen, G.; Fang, X. Phenylethynyl-Terminated Oligoimides with Ultra-Low Melt Viscosity Derived from 1,4-Bis(3,4-Dicarboxy Phenoxy)Benzene Dianhydride. High Perform. Polym. 2019, 31, 580–589. [Google Scholar] [CrossRef]
- Sun, L.; Wang, W.; Chen, G.; Fang, X. Highly Soluble Phenylethynyl-Endcapped Imide Oligomers Derived from Thioetherdiphthalic Anhydride Isomers. High Perform. Polym. 2017, 29, 289–297. [Google Scholar] [CrossRef]
- Simone, C.D.; Scola, D.A. Phenylethynyl End-Capped Polyimides Derived from 4,4′-(2,2,2-Trifluoro-1-Phenylethylidene)Diphthalic Anhydride, 4,4′-(Hexafluoroisopropylidene)Diphthalic Anhydride, and 3,3′,4,4′-Biphenylene Dianhydride: Structure−Viscosity Relationship. Macromolecules 2003, 36, 6780–6790. [Google Scholar] [CrossRef]
- Adamczak, A.D.; Spriggs, A.A.; Fitch, D.M.; Awad, W.; Wilkie, C.A.; Grunlan, J.C. Thermal Degradation of High-Temperature Fluorinated Polyimide and Its Carbon Fiber Composite. J. Appl. Polym. Sci. 2010, 115, 2254–2261. [Google Scholar] [CrossRef]
- Li, Y.; Murphy, L.A.; Lincoln, J.E.; Morgan, R.J. Phenylethynyl End-Capped Fluorinated Imide Oligomer AFR-PEPA-N: Morphology and Processibility Characteristics. Macromol. Mater. Eng. 2007, 292, 78–84. [Google Scholar] [CrossRef]
- Smith, J.G.; Connell, J.W.; Hergenrother, P.M.; Ford, L.A.; Criss, J.M. Transfer Molding Imide Resins Based on 2,3,3′,4′-Biphenyltetracarboxylic Dianhydride. Macromol. Symp. 2003, 199, 401–418. [Google Scholar] [CrossRef]
- Connell, J.W.; Smith, J.G.; Hergenrother, P.M.; Criss, J.M. High Temperature Transfer Molding Resins: Laminate Properties of PETI-298 and PETI-330. High Perform. Polym. 2003, 15, 375–394. [Google Scholar] [CrossRef]
- Connell, J.W.; Smith, J.G., Jr.; Hergenrother, P.M. High Temperature Transfer Molding Resins: Preliminary Composite Properties of PETI-375. In Proceedings of the SAMPE 2004 Symposium and Exhibition, Long Beach, CA, USA, 16–20 May 2004. [Google Scholar]
- Ogasawara, T.; Ishikawa, T.; Yokota, R.; Ozawa, H.; Taguchi, M.; Sato, R.; Shigenari, Y.; Miyagawa, K. Processing and Properties of Carbon Fiber Reinforced Triple-A Polyimide (Tri-A PI) Matrix Composites. Adv. Compos. Mater. 2002, 11, 277–286. [Google Scholar] [CrossRef]
- Li, M.; Liu, X.Y.; Qin, J.Q.; Gu, Y. Molecular Dynamics Simulation on Glass Transition Temperature of Isomeric Polyimide. Express Polym. Lett. 2009, 3, 665–675. [Google Scholar] [CrossRef]
- Chuang, K.C.; Criss, J.M.; Mintz, E.A. Polyimides Based on Asymmetric Dianhydrides (II) (a-BPDA vs a-BTDA) for Resin Transfer Molding (RTM); E-17516; NASA Glenn Research Center: Cleveland, OH, USA, 2010. [Google Scholar]
- Chuang, K.C. Low Melt Viscosity Imide Resins for Resin Transfer Molding. In Innovations in Materials Manufacturing, Fabrication, and Environmental Safety; CRC Press: Boca Raton, FL, USA, 2010; pp. 649–650. [Google Scholar]
- Ding, M. Isomeric Polyimides. Prog. Polym. Sci. 2007, 32, 623–668. [Google Scholar] [CrossRef]
- Fang, X.; Yang, Z.; Zhang, S.; Gao, L.; Ding, M. Polyimides Derived from Mellophanic Dianhydride. Macromolecules 2002, 35, 8708–8717. [Google Scholar] [CrossRef]
- Hasegaw, M.; Sensui, N.; Shindo, Y.; Yokota, R. Structure and Properties of Novel Asymmetric Biphenyl Type Polyimides. Homo-and Copolymers and Blends. Macromolecules 1999, 32, 387–396. [Google Scholar] [CrossRef]
- Li, Q.; Fang, X.; Wang, Z.; Gao, L.; Ding, M. Polyimides from Isomeric Oxydiphthalic Anhydrides. J. Polym. Sci. Part A Polym. Chem. 2003, 41, 3249–3260. [Google Scholar] [CrossRef]
- Yang, Z.; Peng, H.; Wang, W.; Liu, T. Effects of Meta and Para Diamines on the Properties of Polyetherimide Nanocomposite Films Prepared by the Sol-Gel Process. J. Appl. Polym. Sci. 2007, 105, 1093–1100. [Google Scholar] [CrossRef]
- Pinson, D.M.; Yandek, G.R.; Haddad, T.S.; Horstman, E.M.; Mabry, J.M. Thermosetting Poly(Imide Silsesquioxane)s Featuring Reduced Moisture Affinity and Improved Processability. Macromolecules 2013, 46, 7363–7377. [Google Scholar] [CrossRef]
- Su, C.; Liu, P.; Yue, J.; Huan, H.; Yang, Z.; Yang, K.; Guo, H.; Zhao, J. High-Transparency and Colorless Polyimide Film Prepared by Inhibiting the Formation of Chromophores. Polymers 2022, 14, 4242. [Google Scholar] [CrossRef]
- Abe, A.; Nakano, T.; Yamashita, W.; Fukukawa, K.; Okazaki, M.; Tamai, S. Theoretical and Experimental Studies on the Mechanism of Coloration of Polyimides. ChemPhysChem 2011, 12, 1367–1377. [Google Scholar] [CrossRef]
- Meng, X.; Yan, J.; Fan, W.; Liu, J.; Wang, Z.; Li, G. Thermosetting Polyimides and Composites Based on Highly Soluble Phenylethynyl-Terminated Isoimide Oligomers. RSC Adv. 2014, 4, 37458–37469. [Google Scholar] [CrossRef]
- Li, H.; Wang, W.; Chen, G.; Chen, X.; Li, Y.; Zhou, H.; Fang, X. Highly Soluble Phenylethynyl-Terminated Imides Derived from Mellophanic Dianhydride (MPDA). Polym. Adv. Technol. 2018, 29, 2797–2805. [Google Scholar] [CrossRef]
- Smith, J.G.; Connell, J.W.; Hergenrother, P.M.; Criss, J.M. Resin Transfer Moldable Phenylethynyl Containing Imide Oligomers. J. Compos. Mater. 2002, 36, 2255–2265. [Google Scholar] [CrossRef]
- Liaw, D.J.; Wang, K.L.; Huang, Y.C.; Lee, K.R.; Lai, J.Y.; Ha, C.S. Advanced Polyimide Materials: Syntheses, Physical Properties and Applications. Prog. Polym. Sci. 2012, 37, 907–974. [Google Scholar] [CrossRef]
- Seo, C.H.; Lim, S.W.; Min, H.J.; Kim, J.H.; Kim, J.H. Preparation of Semi-Alicyclic Homo-and Blended Polyimide Membranes Using Alicyclic Dianhydrides with Kink Structures and Their Gas Separation Properties. J. Ind. Eng. Chem. 2022, 114, 347–360. [Google Scholar] [CrossRef]
- Damaceanu, M.D.; Constantin, C.P.; Nicolescu, A.; Bruma, M.; Belomoina, N.; Begunov, R.S. Highly Transparent and Hydrophobic Fluorinated Polyimide Films with Ortho-Kink Structure. Eur. Polym. J. 2014, 50, 200–213. [Google Scholar] [CrossRef]
- Kazama, S.; Teramoto, T.; Haraya, K. Carbon Dioxide and Nitrogen Transport Properties of Bis(Phenyl)Fluorene-Based Cardo Polymer Membranes. J. Memb. Sci. 2002, 207, 91–104. [Google Scholar] [CrossRef]
- Kobayashi, Y.; Kazama, S.; Inoue, K.; Toyama, T.; Nagai, Y.; Haraya, K.; Mohamed, H.F.M.; Orouke, B.E.; Oshima, N.; Kinomura, A.; et al. Positron Annihilation in Cardo-Based Polymer Membranes. J. Phys. Chem. B 2014, 118, 6007–6014. [Google Scholar] [CrossRef]
- Tong, X.; Wang, S.; Dai, J.; Wang, S.; Zhang, K.; Zhao, X.; Wang, D.; Chen, C. The Effect of Chain Rigidity and Microstructure on Gas Separation Performance of the Cardo-Based Polyimides. Polymer 2022, 254, 125046. [Google Scholar] [CrossRef]
- Carta, M.; Croad, M.; Jansen, J.C.; Bernardo, P.; Clarizia, G.; McKeown, N.B. Synthesis of Cardo-Polymers Using Tröger’s Base Formation. Polym. Chem. 2014, 5, 5255–5261. [Google Scholar] [CrossRef]
- Hu, Z.; Li, S.; Zhang, C. Synthesis and Properties of Polyamide–Imides Containing Fluorenyl Cardo Structure. J. Appl. Polym. Sci. 2007, 106, 2494–2501. [Google Scholar] [CrossRef]
- Li, X.; Zhang, P.; Dong, J.; Gan, F.; Zhao, X.; Zhang, Q. Preparation of Low-κ Polyimide Resin with Outstanding Stability of Dielectric Properties versus Temperature by Adding a Reactive Cardo-Containing Diluent. Compos. Part B Eng. 2019, 177, 107401. [Google Scholar] [CrossRef]
- Ishida, Y.; Ogasawara, T.; Yokota, R. Development of Highly Soluble Addition-Type Imide Oligomers for Matrix of Carbon Fiber Composite (I): Imide Oligomers Based on Asymmetric Biphenyltetracarboxylic Dianhydride and 9,9-Bis(4-Aminophenyl) Fluorene. High Perform. Polym. 2006, 18, 727–737. [Google Scholar] [CrossRef]
- Li, H.; Wang, W.; Chen, G.; Liu, Y.; Fang, X. Highly Soluble Phenylethynyl Terminated Oligoimides Derived from 5(6)-Amino-1-(4-Aminophenyl)-1,3,3-Trimethylindane, 4,4′-Oxydianiline and Mixed Thioetherdiphthalic Anhydride Isomers. J. Polym. Res. 2018, 25, 1–9. [Google Scholar] [CrossRef]
- Hong, W.; Yuan, L.; Yang, S. High Temperature Phenylethynyl-Terminated Imide Oligomers Derived from Asymmetric Diphenyl Ether Diamines for Resin Transfer Molding. Polymer 2023, 269, 125635. [Google Scholar] [CrossRef]
- Miyauchi, M.; Ishida, Y.; Ogasawara, T.; Yokota, R. Highly Soluble Phenylethynyl-Terminated Imide Oligomers Based on KAPTON-Type Backbone Structures for Carbon Fiber-Reinforced Composites with High Heat Resistance. Polym. J. 2013, 45, 594–600. [Google Scholar] [CrossRef]
- Rao, X.; Zhou, H.; Dang, G.; Chen, C.; Wu, Z. New Kinds of Phenylethynyl-Terminated Polyimide Oligomers with Low Viscosity and Good Hydrolytic Stability. Polymer 2006, 47, 6091–6098. [Google Scholar] [CrossRef]
- Zhang, Y.; Luo, P.; Yao, H.; Guan, S. Synthesis and Characterization of Fluorinated Polyimide Oligomers Terminated with a Phenylethynyl Group. React. Funct. Polym. 2012, 72, 621–626. [Google Scholar] [CrossRef]
- Sun, H.; Huo, H.; Nie, H.; Yang, S.; Fan, L. Phenylethynyl Terminated Oligoimides Derived from 3,3′,4,4′-Diphenylsulfonetetracarboxylic Dianhydride and Their Adhesive Properties. Eur. Polym. J. 2009, 45, 1169–1178. [Google Scholar] [CrossRef]
- Hong, W.; Yuan, L.; Ma, Y.; Cui, C.; Zhang, H.; Yang, S.; Sun, W.H. Resin Transfer Moldable Fluorinated Phenylethynyl-terminated Imide Oligomers with High Tg: Structure–Melt Stability Relationship. Polymers 2021, 13, 903. [Google Scholar] [CrossRef]
- Yu, P.; Wang, Y.; Yu, J.; Zhu, J.; Hu, Z. Influence of Different Ratios of A-ODPA/a-BPDA on the Properties of Phenylethynyl Terminated Polyimide. J. Polym. Res. 2018, 25, 1–11. [Google Scholar] [CrossRef]
- Wright, M.E.; Schorzman, D.A.; Feher, F.J.; Jin, R.Z. Synthesis and Thermal Curing of Aryl-Ethynyl-Terminated CoPOSS Imide Oligomers: New Inorganic/Organic Hybrid Resins. Chem. Mater. 2003, 15, 264–268. [Google Scholar] [CrossRef]
- Seurer, B.; Vij, V.; Haddad, T.; Mabry, J.M.; Lee, A. Thermal Transitions and Reaction Kinetics of Polyhederal Silsesquioxane Containing Phenylethynylphthalimides. Macromolecules 2010, 43, 9337–9347. [Google Scholar] [CrossRef]
- Yue, J.; Li, Y.; Li, H.; Zhao, Y.; Zhao, C.; Wang, X. Thermal Curing of Novel Carborane-Containing Phenylethynyl Terminated Imide Oligomers. RSC Adv. 2015, 5, 98010–98019. [Google Scholar] [CrossRef]
- Wu, Y.; Yang, J.; Chen, G. Synthesis and Characterization of a Carborane-Containing Monofunctional Imide Monomer as a Modifier for Imide Oligomer. High Perform. Polym. 2018, 30, 812–820. [Google Scholar] [CrossRef]
- Olamilekan, A.I.; Yeo, H. Thermal Conducting Thermosets Driven by Molecular Structurally Enhanced Mesogen Interactions. ACS Appl. Polym. Mater. 2021, 3, 4147–4155. [Google Scholar] [CrossRef]
- Ruan, K.; Guo, Y.; Gu, J. Liquid Crystalline Polyimide Films with High Intrinsic Thermal Conductivities and Robust Toughness. Macromolecules 2021, 54, 4934–4944. [Google Scholar] [CrossRef]





















| PETI | PETI Oligomer | Cured Resin | |||||
|---|---|---|---|---|---|---|---|
| Calc’d. Mn (g/mol) | Tg (°C) | Tm (°C) | Minimum Melt Viscosity (Pa·s) | Tg (°C) | Td5% (°C) (N2) | ||
| DSC | DMA | ||||||
| Oligo-1.5 [3] | 1340 | 161 | – | 2000 at 300 °C | 341 | – | – |
| Oligo-10 [3] | 5240 | 237 | – | 200,000 at 365 °C | 308 | – | – |
| PI-6 [8] | 900 | 102 | 251 | 0.08 at 295 °C | 304 | 352 | 545 |
| PI-7 [8] | 900 | 110 | – | 0.11 at 312 °C | 292 | 356 | 542 |
| Oligo-5 [33] | 3388 | 239 | – | 120 at 354 °C | 335 | 373 | 539 |
| Oligo-PMDA [33] | 3388 | – | – | – | – | – | – |
| P4 [34] | 750 | 139 | – | – | 298 | – | – |
| P5 [34] | 750 | – | 268 | 2300 at 340 °C | – | – | – |
| PETI-RTM [34] | 750 | 132 | – | – | 258 | – | – |
| PETI | PETI Oligomer | Cured Resin | |||||
|---|---|---|---|---|---|---|---|
| Calc’d. Mn (g/mol) | Tg (°C) | Tm (°C) | Minimum Melt Viscosity (Pa·s) | Tg (°C) | Td5% (°C) (N2) | ||
| DSC | DMA | ||||||
| PE-3F-PETI-5K [14] | 5000 | 218 | – | 59 at 344 °C | 272 | – | 534 |
| PETI-5K [14] | 5000 | 225 | 349 | 2237 at 354 °C | 270 | – | 532 |
| PETI | PETI Oligomer | Cured Resin | |||||
|---|---|---|---|---|---|---|---|
| Calc’d. Mn (g/mol) | Tg (°C) | Tm (°C) | Minimum Melt Viscosity (Pa·s) | Tg (°C) | Td5% (°C) (N2) | ||
| DSC | DMA | ||||||
| o-BAFL-0 [44] | – | 218 | – | 81 at 344 °C | 340 | – | 556 a |
| o-BAFL-25 [44] | – | 273 | – | 1810 at 349 °C | 362 | – | 561 a |
| Oligo-0 [45] | 2500 | 190 | – | 24.1 at 334 °C | 288 | 304 | 523 |
| Oligo-25 [45] | 2500 | 205 | – | 34.7 at 331 °C | 296 | 322 | 497 |
| PI oligomer [43] | – | 193 | – | 3.8 at 306 °C | – | 264 | 459 |
| PI/Cardo-40 [43] | – | 162 | – | 2.7 at 294 °C | – | 403 | 470 |
| F-O-2 [9] | 1906 | 213 | – | 74 at 339 °C | – | 408 | 559 |
| B-O-2 [9] | 1578 | 181 | 263 | 35 at 328 °C | – | 383 | 547 |
| PETI | PETI Oligomer | Cured Resin | |||||
|---|---|---|---|---|---|---|---|
| Calc’d. Mn (g/mol) | Tg (°C) | Tm (°C) | Minimum Melt Viscosity (Pa·s) | Tg (°C) | Td5% (°C) (N2) | ||
| DSC | DMA | ||||||
| Oligo-s–a1 [48] | 1400 | 161.5 | – | 5 at 260 °C | 300 | 305 | 506 |
| Oligo-s–a4 [48] | 3300 | 190 | – | 93 at 343 °C | 277 | 272 | 530 |
| PMDA/p-ODA/PEPA (n = 1) [10] | 1190 | 152 | – | 1 | – | 356 | 528 |
| PMDA/p-ODA/PEPA (n = 4) [10] | 2570 | 226 | – | 208 | – | 346 | 539 |
| PETI-H [46] | 1000 | – | 172,276 | 0.14 at 321 °C | – | 463 | 559 |
| PETI-F [46] | 1000 | – | 161,269 | 0.12 at 313 °C | – | 454 | 553 |
| PETI-3F [46] | 1000 | 133 | 200 | 0.098 at 326 °C | – | 452 | 564 |
| PETI-P [46] | 1000 | 140 | – | 0.11 at 345 °C | – | 429 | 555 |
| PETI | PETI Oligomer | Cured Resin | |||||
|---|---|---|---|---|---|---|---|
| Calc’d. Mn (g/mol) | Tg (°C) | Tm (°C) | Minimum Melt Viscosity (Pa·s) | Tg (°C) | Td5% (°C) (N2) | ||
| DSC | DMA | ||||||
| AFR-PEPA-2 [16] | 1601 | 194 | 323 | 1 at 371 °C | 370 | – | 568 |
| AFR-PEPA-8 [16] | 4699 | 260 | – | 54 at 410 °C | 358 | – | 557 |
| PI-2 [50] | 5000 | 207 | – | 377 at 336 °C | 305 | 323 | 530 |
| PI-6 [50] | 5000 | 199 | – | 128 at 318 °C | – | 278 | 533 |
| PETI-O [51] | 1000 | 157 | 215, 246 | 0.15 at 309 °C | – | 363 | 558 |
| PETI-F [51] | 1000 | 170 | 214, 273 | 0.31 at 331 °C | – | 438 | 578 |
| PETI-P [51] | 1000 | 158 | – | 0.45 at 323 °C | – | 398 | 577 |
| PETI | PETI Oligomer | Cured Resin | |||||
|---|---|---|---|---|---|---|---|
| Calc’d. Mn (g/mol) | Tg (°C) | Tm (°C) | Minimum Melt Viscosity (Pa·s) | Tg (°C) | Td5% (°C) (N2) | ||
| DSC | DMA | ||||||
| PI-2 [11] | 1250 | 124 | 250 | 0.6 at 299 °C | 330.9 | 354 | 570 |
| PI-4 [11] | 2500 | 180 | 290 | 11.2 at 315 °C | 289.8 | 316 | 578 |
| PI-5 [11] | 5000 | 209 | 300 | 750 at 306 °C | 281.2 | 310 | 603 |
| PI-6 [11] | 10,000 | 238 | 325 | 934 at 332 °C | 276.3 | 314 | 599 |
| Oligo-1 [52] | 2543 | 185 | – | 3.2 at 290 °C | 285 | 317 | 559 |
| Oligo-4 [52] | 2505 | 192 | – | 7.4 at 296 °C | 305 | 334 | 556 |
| Oligo-5 [52] | 2493 | 201 | – | 9.2 at 292 °C | 311 | 338 | 572 |
| o-O-1 [12] | 750 | – | 290 | 0.04 at 288 °C | – | – | 526 |
| o-T-1 [12] | 750 | 154 | 287 | 0.06 at 288 °C | 289 | – | 541 |
| o-p-1 [12] | 750 | 118 | – | 0.04 at 296 °C | – | 355 | 522 |
| o-p-2 [12] | 1250 | 156 | – | 0.64 at 314 °C | 280 | 307 | 534 |
| o-p-3 [12] | 2500 | 188 | – | 33.4 at 308 °C | 262 | 261 | 533 |
| o-p-4 [12] | 5000 | 202 | – | 0.08 at 270 °C | 243 | 241 | 531 |
| Oligo-2 [13] | 2500 | 205 | – | 38.4 at 319 °C | 294 | 302 | 509 |
| Oligo-5 [13] | 2500 | 211 | – | 61.5 at 321 °C | 305 | 320 | 521 |
| PETI | PETI Oligomer | Cured Resin | |
|---|---|---|---|
| Calc’d. Mn (g/mol) | Minimum Melt Viscosity (Pa·s) | Td5% (°C) (N2) | |
| 0 POSS [29] | 3094 | – | 508 |
| 1 cis/trans-POSS [29] | 4230 | – | 499 |
| 1 cis-POSS [29] | 4230 | – | 493 |
| 1 trans-POSS [29] | 4230 | – | 494 |
| 3 cis/trans-POSS [29] | 6501 | – | 499 |
| 3 cis-POSS [29] | 6501 | – | 493 |
| 3 trans-POSS [29] | 6501 | – | 493 |
| PI-mPDA [56] | – | 12.2 at 325 °C | 585 |
| PI-mPDA-CB5% [56] | – | 11.8 at 305 °C | 604 |
| PI-mPDA-CB25% [56] | – | 6.7 at 317 °C | 586 |
Disclaimer/Publisher’s Note: The statements, opinions and data contained in all publications are solely those of the individual author(s) and contributor(s) and not of MDPI and/or the editor(s). MDPI and/or the editor(s) disclaim responsibility for any injury to people or property resulting from any ideas, methods, instructions or products referred to in the content. |
© 2024 by the authors. Licensee MDPI, Basel, Switzerland. This article is an open access article distributed under the terms and conditions of the Creative Commons Attribution (CC BY) license (https://creativecommons.org/licenses/by/4.0/).
Share and Cite
Kim, M.; Kim, K.; Lee, J.H.; Jeon, E.; Song, J.; Choi, J.; Yeo, H.; Nam, K.-H. Phenylethynyl-Terminated Imide Oligomer-Based Thermoset Resins. Polymers 2024, 16, 2947. https://doi.org/10.3390/polym16202947
Kim M, Kim K, Lee JH, Jeon E, Song J, Choi J, Yeo H, Nam K-H. Phenylethynyl-Terminated Imide Oligomer-Based Thermoset Resins. Polymers. 2024; 16(20):2947. https://doi.org/10.3390/polym16202947
Chicago/Turabian StyleKim, Minju, Kiyeong Kim, Joon Hyuk Lee, Eunkyung Jeon, Jungkun Song, Jaeho Choi, Hyeonuk Yeo, and Ki-Ho Nam. 2024. "Phenylethynyl-Terminated Imide Oligomer-Based Thermoset Resins" Polymers 16, no. 20: 2947. https://doi.org/10.3390/polym16202947
APA StyleKim, M., Kim, K., Lee, J. H., Jeon, E., Song, J., Choi, J., Yeo, H., & Nam, K.-H. (2024). Phenylethynyl-Terminated Imide Oligomer-Based Thermoset Resins. Polymers, 16(20), 2947. https://doi.org/10.3390/polym16202947

