High-Velocity Impact Performance of Ballistic Fabric Using Core-Spun Compound Yarns
Abstract
1. Introduction
2. Fabrication
3. Ballistic Test
4. FEA Model
4.1. Establishment of Geometrical Model with Mesh Scheme
4.2. Verification of FEA Model
4.2.1. Observation of Phenomena
4.2.2. Data Analysis
4.3. Theoretical Discussion
4.3.1. Energy Absorption
4.3.2. Penetration Resistance
5. Conclusions
- (1)
- Three different ballistic fabrics were successfully manufactured, including two new types with the usage of CSC yarns. Fa was the conventional woven type with the usage of Kevlar® 29 filament yarns. Fb was woven by CSC yarns with aramid staple fiber. Fc was also woven by CSC yarns with polyester staple fiber.
- (2)
- These three types of ballistic fabrics, Fa, Fb, and Fc, were ballistically tested. The experimental results showed that Fb and Fc have better ballistic performance than Fa as the energy absorbed by Fb and Fc is apparently higher than that absorbed by Fa. This may indicate that the usage of CSC aramid yarns could, indeed, have a positive influence in improving the capability of energy absorption in each woven type. In addition, Fb is better than Fc, which further indicates that aramid staple fiber is better than polyester staple fiber in the compound (CSC) yarn for providing better energy absorption capability. This may demonstrate that, except for the factor of friction, different composition of staple fiber could be another factor to influence the ballistic performance of the whole woven structure.
- (3)
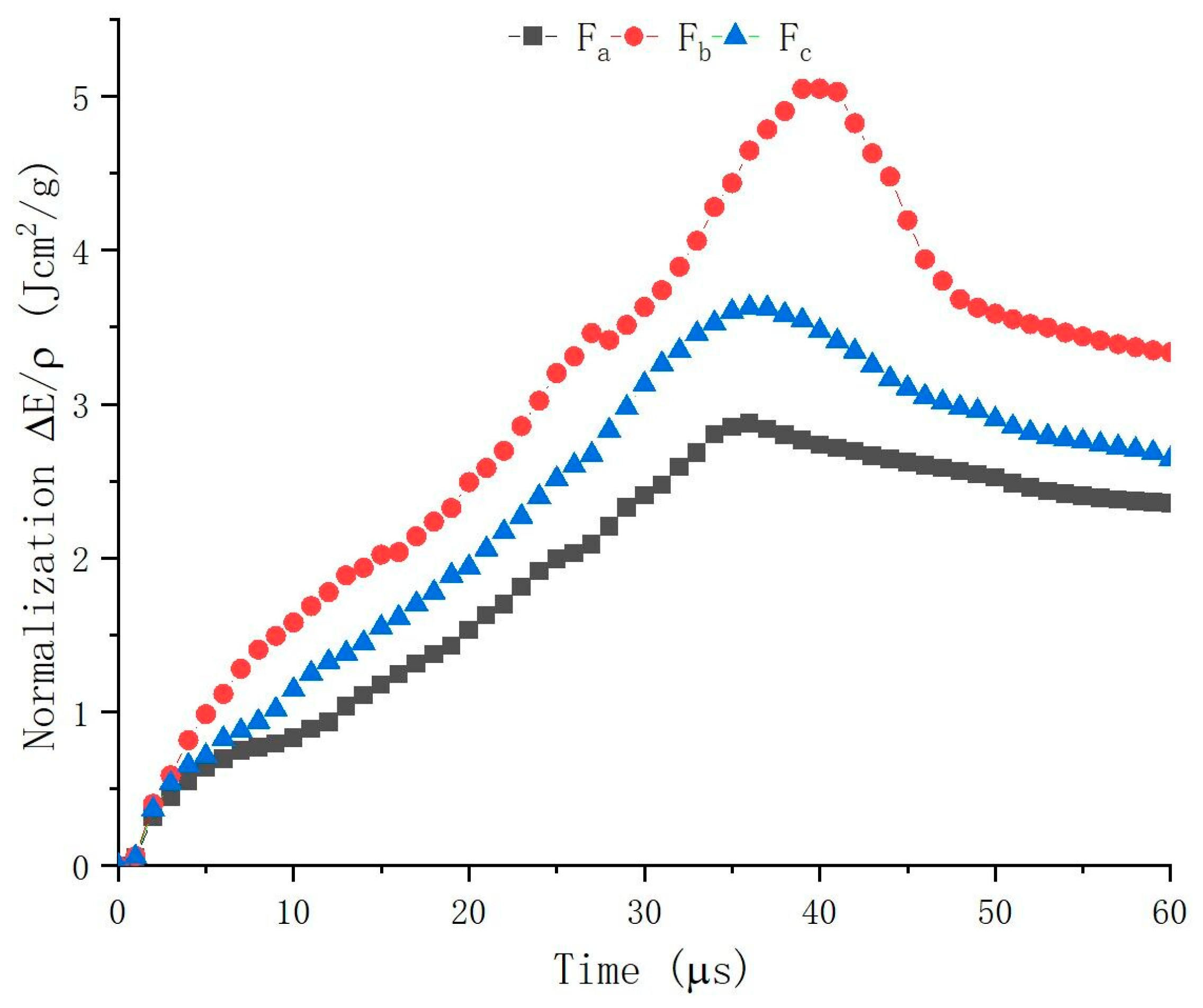
- The details of energy absorption for these three different ballistic fabrics were further investigated by FEA models. The theoretical results show a good coincidence with experimental results: regardless of which time duration, Fb is always higher than Fc and Fa. The peak value of energy absorption in total for Fb is always stronger than Fb and Fc. In addition, Fb is better than Fc in the energy absorption in total. It could be clearly noticed that the introduction of CSC yarns could highly enhance the capacity of energy absorption. FEA models also show the comparisons between V0 and energy after normalization calculated by FEA models for Fa, Fb, and Fc. The results demonstrate that with the increase in V0, V1 increases correspondingly with no fluctuations, very similar to the trend illustrated from the experimental data. This may prove that the impact velocity before and after penetration is unlike to be influenced by a certain velocity, verified by both experimental and theoretical tests.
- (4)
- The penetration resistance of these fabrics was also theoretically analyzed in detail. For the overall trend of velocity variation, Fa, Fb, and Fc show the same trends: decreasing sharply in the beginning, bouncing back later, and remaining stable finally. The relationship between the acceleration and the time history was also investigated. The theoretical analysis shows that Fb and Fc have better penetration resistance than Fa, and Fb is the best due to the superiority of its structure and the usage of aramid staple fiber, which complies with the discovery in the research of energy absorption.
Author Contributions
Funding
Institutional Review Board Statement
Data Availability Statement
Acknowledgments
Conflicts of Interest
References
- Kordani, N. Materials, design and technology of body armor. In Advances in Healthcare and Protective Textiles; The Textile Institute Book Series; Woodhead Publishing: Sawston, UK, 2023; pp. 259–301. [Google Scholar]
- Abtew, M.A. A comprehensive review on advancements, innovations and applications of 3D warp interlock fabrics and its composite materials. Compos. Part B 2024, 278, 111395–111419. [Google Scholar] [CrossRef]
- Yang, D.; Wei, Q.S.; Xin, B.J.; Chen, X.G. Research on the creation of TA/LOI compound structure fabric and its ballistic performance for 3D curved-surface ballistic application. Compos. Part B 2020, 201, 108275–108290. [Google Scholar] [CrossRef]
- Fan, T.; Sun, Z.; Zhang, Y.Y.; Li, Y.Q.; Chen, Z.K.; Huang, P.; Fu, P.Y. Novel kevlar fabric composite for multifunctional soft body armor. Compos. Part B 2022, 242, 110106–110116. [Google Scholar] [CrossRef]
- Doddamani, S.; Kulkarni, S.M.; Joladarashi, S.; Mohan, K.T.S.; Gurjar, A.K. Analysis of light weight natural fiber composites against ballistic impact: A review. Int. J. Lightweight Mater. Manuf. 2023, 6, 450–468. [Google Scholar] [CrossRef]
- Mahesh, V.; Joladarashi, S.; Kulkarni, S.M. A comprehensive review on material selection for polymer matrix composites subjected to impact load. Def. Technol. 2021, 17, 257–277. [Google Scholar] [CrossRef]
- Naveen, K.; Jayakrishna, J.; Sultan, M.T.B.H.; Amir, S.M.M. Ballistic performance of natural fiber based soft and hard body armour—A mini review. Front. Mater. 2020, 7, 608139–608145. [Google Scholar] [CrossRef]
- Yi, R.C.; Yin, L.K.; Wang, J.R.; Chen, Z.G.; Hu, D.Q. Study on the performance of ceramic composite projectile penetrating into ceramic composite target. Def. Technol. 2017, 13, 295–299. [Google Scholar] [CrossRef]
- Deora, P.S.; Khurana, M.; Priya Muhal, R.A.; Upadhyay, D.; Goswami, C. A review on fibrous materials for body armor application. Mater. Today Proc. 2022, 60, 2230–2235. [Google Scholar] [CrossRef]
- Li, Y.Q.; Fan, H.L.; Gao, X.L. Ballistic helmets: Recent advances in materials, protection mechanisms, performance, and head injury mitigation. Compos. Part B 2022, 238, 109890–109917. [Google Scholar] [CrossRef]
- Zhang, R.; Han, B.; Zhou, Y.; Qiang, L.S.; Zhang, Q.; Zhang, Q.C.; Lu, T.J. Ballistic performance of ultralight multifunctional cellular sandwich plates with UHMWPE fiber metal laminate skins. Compos. Struct. 2023, 304, 116390–116402. [Google Scholar] [CrossRef]
- Zhao, Z.N.; Han, B.; Rui Zhang, R.; Zhang, Q.; Zhang, Q.C.; Ni, C.Y.; Lu, T.J. Enhancement of UHMWPE encapsulation on the ballistic performance of bi-layer mosaic armors. Compos. Part B 2021, 221, 109023–109035. [Google Scholar] [CrossRef]
- Yang, D.; Zhu, K.; Liu, S.D.; Fei, F.; Li, J.C.; Chen, X.G. Research on the creation of new UD laminates and its ballistic performance using CSC aramid yarns via experiments and FEA analysis. J. Ind. Text. 2024, 54, 15280837241246750. [Google Scholar] [CrossRef]
- Dogan, U.; Sunbuloglu, E. A novel simplified ballistic theory for woven composites. Int. J. Impact Eng. 2023, 177, 104530–104541. [Google Scholar] [CrossRef]
- Ingle, S.; Yerramalli, C.S.; Guha, A.; Mishra, S. Numerical investigation on hybridization of woven fabric armour enhance ballistic protection. Mech. Mater. 2022, 170, 104324–104337. [Google Scholar] [CrossRef]
- Bresciani, L.M.; Manes, A.; Giglio, M. An analytical model for ballistic impacts against plain-woven fabrics with a polymetric matrix. Int. J. Impact Eng. 2015, 78, 138–149. [Google Scholar] [CrossRef]
- Abtew, M.A.; Boussu, F.; Bruniaux, P.; Loghin, C.; Cristian, I. Ballistic impact mechanisms-a review on textiles and fibre-reinforced composites impact responses. Compos. Struct. 2019, 223, 110966–111037. [Google Scholar] [CrossRef]
- Bilisik, K.; Korkmaz, M. Multilayered and Multidirectional Stitched Aramid Woven Fabric Structures: Experimental Characterization of Ballistic Performance by Considering Yarn Pull–Out Test. Text. Res. J. 2010, 8, 1697–1720. [Google Scholar] [CrossRef]
- Bilisik, K.; Korkmaz, M. Single and multiple yarn pull-outs on aramid woven fabric structures. Text. Res. J. 2011, 81, 847–864. [Google Scholar] [CrossRef]
- Backman, M.E.; Goldsmith, W. The mechanics of penetration of projectiles into targets. Int. J. Eng. Sci. 1978, 16, 1–99. [Google Scholar] [CrossRef]
- Rao, M.P.; Duan, Y.; Keefe, M.; Powers, B.M.; Bogetti, T.A. Modeling the effects of yarn material properties and friction on the ballistic impact of a plain-weave fabric. Compos. Struct. 2009, 89, 556–566. [Google Scholar] [CrossRef]
- Bajya, M.; Majumdar, A.; Butola, B.S. Criticality of inter-yarn friction in high-performance fabrics for the design of soft body armour. Compos. Commun. 2022, 29, 100984–100989. [Google Scholar] [CrossRef]
- Hong, X.; Ma, Y.; Lei, Z.K.; Bai, R.X.; Bai, H.S.; Li, X.W.; Zou, J.C. Analysis of interfacial friction properties of multi-phase STF/Kevlar composite fabrics in yarn pullout test. Mater. Today Commun. 2023, 34, 105086–105099. [Google Scholar] [CrossRef]
- Han, F.L.; Zhang, Y.; Wang, C.H.; Wang, Z.Y.; Yue, H.Y.; Zong, L.S.; Wang, J.Y.; Jian, X.G. Analysis of ballistic performance and penetration damage mechanisms of aramid woven fabric reinforced polycarbonate composites with different matrix content. Chem. Eng. J. 2023, 453, 139470–139482. [Google Scholar] [CrossRef]
- Chu, Y.Y.; Rahman, M.D.R.; Min, S.N.; Chen, X.G. Experimental and numerical study of inter-yarn friction affecting mechanism on ballistic performance of Twaron fabric. Mech. Mater. 2020, 148, 103421–103434. [Google Scholar] [CrossRef]
- Chu, Y.Y.; Rahman, M.D.R.; He, H.N.; Huang, W.H.; Chen, X.G. Increasing inter-yarn friction to ultra-high molecular weight polyethylene yarns for ballistic application by sol-gel treatment. J. Ind. Text. 2022, 51, 4931S–4948S. [Google Scholar] [CrossRef]
- Zhou, Y.; Chen, X.; Wells, G. Influence of yarn gripping on the ballistic performance of woven fabrics from ultra-high molecular weight polyethylene fibre. Compos. Part B 2014, 62, 198–204. [Google Scholar] [CrossRef]
- Sun, D.M.; Chen, X.G.; Mrango, M. Investigating ballistic impact on fabric targets with gripping yarns. Fibers Polym. 2013, 14, 1184–1189. [Google Scholar] [CrossRef]
- Briscoe, B.J.; Motamedi, F. Role of interfacial friction and lubrication in yarn and fabric mechanics. Text. Res. J. 1990, 60, 697–708. [Google Scholar] [CrossRef]
- Briscoe, B.J.; Motamedi, F. The ballistic impact characteristics of aramid fabrics: The influence of interface friction. Wear 1992, 158, 229–247. [Google Scholar] [CrossRef]
- Maithani, Y.; Sagar Ingle, S.; Khan, J.A.; Bajya, M.; Yerramalli, C.S.; Majumdar, A.; Mehta, B.R.; Singh, J.P. Investigating the effect of aligned Ag nanorods on para-aramid woven fabric and anisotropy in inter-yarn friction. Compos. Part A 2023, 172, 107614–107624. [Google Scholar] [CrossRef]
- Bajya, M.; Majumdar, A.; Butola, B.S.; Verma, S.K.; Bhattacharjee, D. Design strategy for optimizing weight and ballistic performance of soft body armour reinforced with shear thickening fluid. Compos. Part B 2020, 183, 107721–107731. [Google Scholar] [CrossRef]
- Cao, S.S.; Pang, H.M.; Zhao, C.Y.; Xuan, S.H.; Gong, X.L. The CNT/PSt-EA/Kevlar composite with excellent ballistic performance. Compos. Part B 2020, 185, 107793–107802. [Google Scholar] [CrossRef]
- Park, Y.; Kim, Y.H.; Baluch, A.H.; Kim, C.G. Numerical simulation and empirical comparison of the high velocity impact of STF impregnated Kevlar® fabric using friction effects. Compos. Struct. 2015, 125, 520–529. [Google Scholar] [CrossRef]
- Park, Y.; Kim, Y.H.; Baluch, A.H.; Kim, C.G. Empirical study of the high velocity impact energy absorption characteristics of shear thickening fluid (STF) impregnated Kevlar® fabric. Int. J. Impact Eng. 2014, 72, 67–74. [Google Scholar] [CrossRef]
- Bai, R.X.; Ma, Y.; Lei, Z.K.; Feng, Y.; Liu, C. Energy analysis of fabric impregnated by shear thickening fluid in yarn pullout test. Compos. Part B 2019, 174, 106901–106912. [Google Scholar] [CrossRef]















| Fabrics | Composition of Yarn | Structure | Areal Density (Warp × Weft/cm2) | Weight (g/m2) |
|---|---|---|---|---|
| Fa | Kevlar® 29 filament yarn | Plain | 14 × 14 | 135 |
| Fb | CSC yarn (core: Kevlar® 29 filament yarn; spun with: aramid staple fiber) | Plain | 14 × 14 | 140 |
| Fc | CSC yarn (core: Kevlar® 29 filament yarn; spun with: polyester staple fiber) | Plain | 14 × 14 | 145 |
| Sample | Impact Velocity V0 (m/s) | Exit Velocity V1 (m/s) | Loss of Kinetic Energy ΔE (J) | Areal Density ρ (g/m2) | Normalization ΔE/ρ (Jcm2/g) |
|---|---|---|---|---|---|
| Fa-1 | 246.6 | 246.5 | 19.7 | 135 | 146.1 |
| Fa-2 | 262.8 | 262.7 | 21 | 155.7 | |
| Fa-3 | 290.8 | 290.7 | 23.3 | 172.3 | |
| Fa-4 | 317.2 | 317.1 | 25.4 | 187.9 | |
| Fa-5 | 324.6 | 324.5 | 26 | 192.3 | |
| Fb-1 | 246.1 | 246 | 29.5 | 140 | 210.9 |
| Fb-2 | 260.2 | 260.1 | 29.1 | 208.1 | |
| Fb-3 | 285.1 | 285 | 31.9 | 228 | |
| Fb-4 | 300.6 | 300.5 | 33.7 | 240.4 | |
| Fb-5 | 327.1 | 327 | 39.2 | 280.3 | |
| Fc-1 | 231.3 | 231.2 | 25.9 | 145 | 178.6 |
| Fc-2 | 247 | 246.9 | 25.7 | 177.1 | |
| Fc-3 | 275.3 | 275.2 | 28.6 | 197.4 | |
| Fc-4 | 297.8 | 297.7 | 31 | 213.5 | |
| Fc-5 | 327.7 | 327.6 | 36.7 | 253.1 |
| Sample | Impact Velocity V0 (m/s) | Exit Velocity V1 (m/s) | Loss of Kinetic Energy ΔE (J) | Areal Density ρ (g/m2) | Normalization ΔE/ρ (Jcm2/g) |
|---|---|---|---|---|---|
| Fa-1 | 246.6 | 246.53 | 13.8 | 135 | 102.3 |
| Fa-2 | 262.8 | 262.72 | 16.8 | 124.6 | |
| Fa-3 | 290.8 | 290.71 | 20.9 | 155.1 | |
| Fa-4 | 317.2 | 317.1 | 25.4 | 187.9 | |
| Fa-5 | 324.6 | 324.5 | 26 | 192.3 | |
| Fb-1 | 246.1 | 245.97 | 25.6 | 140 | 182.8 |
| Fb-2 | 260.2 | 260.08 | 25 | 178.4 | |
| Fb-3 | 285.1 | 284.98 | 27.4 | 195.5 | |
| Fb-4 | 300.6 | 300.48 | 28.9 | 206.1 | |
| Fb-5 | 327.1 | 326.97 | 34 | 242.9 | |
| Fc-1 | 231.3 | 231.18 | 22.2 | 145 | 153.1 |
| Fc-2 | 247 | 246.89 | 21.7 | 149.9 | |
| Fc-3 | 275.3 | 275.19 | 24.2 | 167 | |
| Fc-4 | 297.8 | 297.69 | 26.2 | 180.7 | |
| Fc-5 | 327.7 | 327.58 | 31.5 | 216.9 |
Disclaimer/Publisher’s Note: The statements, opinions and data contained in all publications are solely those of the individual author(s) and contributor(s) and not of MDPI and/or the editor(s). MDPI and/or the editor(s) disclaim responsibility for any injury to people or property resulting from any ideas, methods, instructions or products referred to in the content. |
© 2024 by the authors. Licensee MDPI, Basel, Switzerland. This article is an open access article distributed under the terms and conditions of the Creative Commons Attribution (CC BY) license (https://creativecommons.org/licenses/by/4.0/).
Share and Cite
Yang, D.; Liu, S.; Zhang, W.; Liu, Q.; Yao, G.; Zhu, K. High-Velocity Impact Performance of Ballistic Fabric Using Core-Spun Compound Yarns. Polymers 2024, 16, 2973. https://doi.org/10.3390/polym16212973
Yang D, Liu S, Zhang W, Liu Q, Yao G, Zhu K. High-Velocity Impact Performance of Ballistic Fabric Using Core-Spun Compound Yarns. Polymers. 2024; 16(21):2973. https://doi.org/10.3390/polym16212973
Chicago/Turabian StyleYang, Dan, Shengdong Liu, Weitian Zhang, Qian Liu, Gaozheng Yao, and Kai Zhu. 2024. "High-Velocity Impact Performance of Ballistic Fabric Using Core-Spun Compound Yarns" Polymers 16, no. 21: 2973. https://doi.org/10.3390/polym16212973
APA StyleYang, D., Liu, S., Zhang, W., Liu, Q., Yao, G., & Zhu, K. (2024). High-Velocity Impact Performance of Ballistic Fabric Using Core-Spun Compound Yarns. Polymers, 16(21), 2973. https://doi.org/10.3390/polym16212973

