Hybrid Alumina–Silica Filler for Thermally Conductive Epoxidized Natural Rubber
Abstract
1. Introduction
2. Materials and Methods
2.1. Materials
2.2. Preparation of Epoxidized Natural Rubber Composites
2.3. Testing and Characterization
2.3.1. ATR-FTIR Spectroscopy
2.3.2. Mooney Viscosity
2.3.3. Curing Properties
2.3.4. Morphological Characterization
2.3.5. Mechanical Characterization
2.3.6. Dynamic Mechanical Properties
2.3.7. Thermal Analysis
2.3.8. Statistical Data Analysis
3. Results and Discussion
3.1. FTIR Spectroscopy for ENR Composites
3.2. Morphological Properties
3.3. Cure Characteristics and Mooney Viscosity
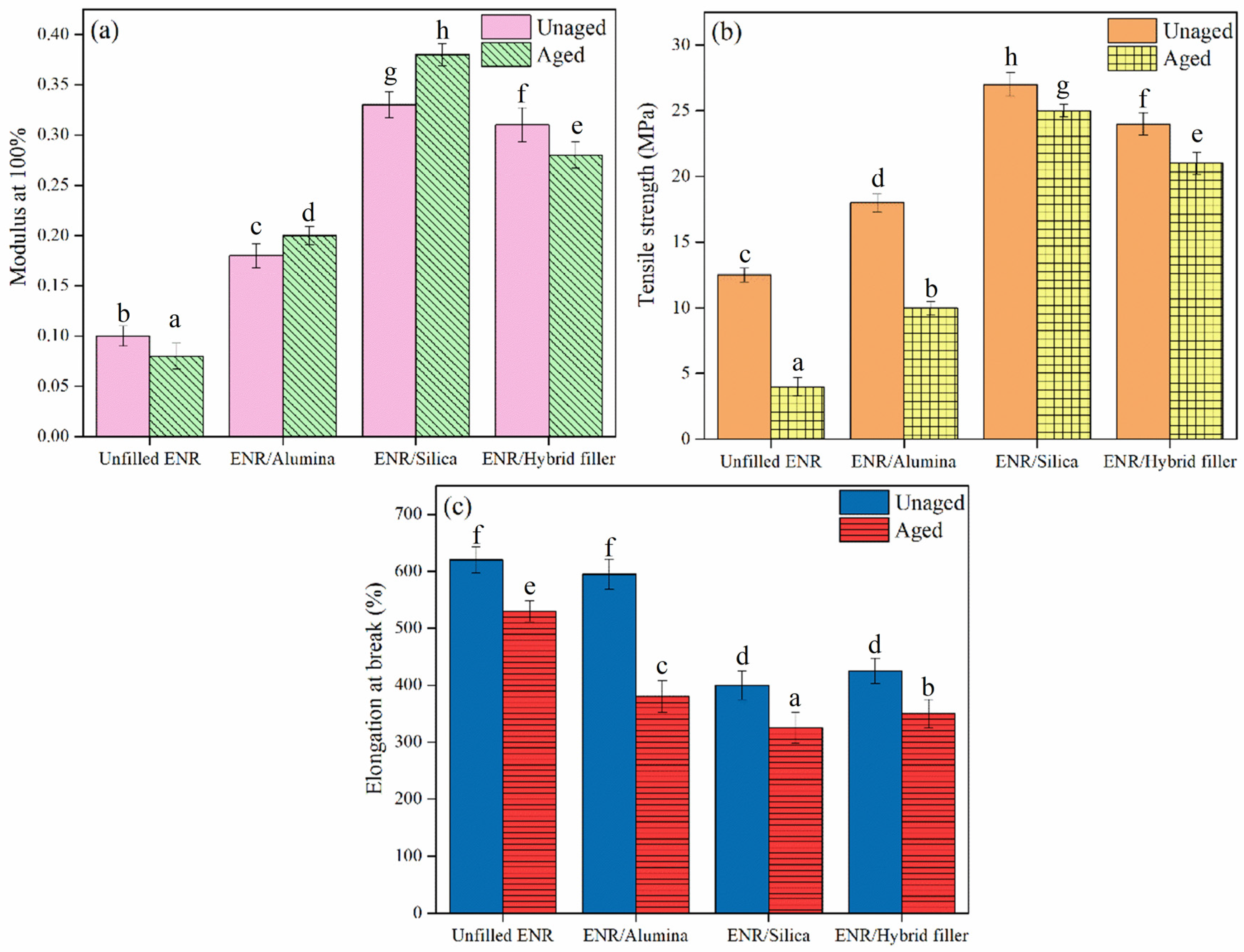
3.4. Mechanical Properties
3.5. Thermal Properties
3.6. Dynamic Properties
4. Conclusions
Author Contributions
Funding
Institutional Review Board Statement
Informed Consent Statement
Data Availability Statement
Acknowledgments
Conflicts of Interest
References
- Kampioti, K.; Matos, C.F.; Galembeck, F.; Jaillet, C.; Derré, A.; Zarbin, A.J.; Pénicaud, A. Highly conducting, sustainable, nanographitic rubber composites. ACS Omega 2018, 3, 1367–1373. [Google Scholar] [CrossRef] [PubMed]
- Wen, Y.; Wang, Y.; Zhao, K.; Sumalee, A. The use of natural rubber latex as a renewable and sustainable modifier of asphalt binder. Int. J. Pavement Eng. 2017, 18, 547–559. [Google Scholar] [CrossRef]
- Limhengha, S.; Sriseubsai, W. Optimizing the properties of vulcanized compounds for foodstuff conveyor belts in industrial microwave per-heating. Int. J. Geomate 2018, 15, 189–196. [Google Scholar] [CrossRef]
- Xie, X.; Yang, D. Construction of thermal conduction networks and decrease of interfacial thermal resistance for improving thermal conductivity of epoxy natural rubber composites. Ceram. Int. 2023, 49, 17650–17659. [Google Scholar] [CrossRef]
- Zhang, K.; Qiu, J.; Sakai, E.; Zhang, G.; Wu, H.; Guo, S.; Zhang, L.; Yamaguchi, H.; Chonan, Y. Preparation of continuous carbon fiber-filled silicone rubber with high thermal conductivity through wrapping. Polym. Compos. 2024, 45, 1437–1445. [Google Scholar] [CrossRef]
- Shui, Y.; Huang, L.; Wei, C.; Sun, G.; Chen, J.; Lu, A.; Sun, L.; Liu, D. How the silica determines properties of filled silicone rubber by the formation of filler networking and bound rubber. Compos. Sci. Technol. 2021, 215, 109024. [Google Scholar] [CrossRef]
- Xue, Y.; Wang, H.; Li, X.; Chen, Y. Exceptionally thermally conductive and electrical insulating multilaminar aligned silicone rubber flexible composites with highly oriented and dispersed filler network by mechanical shearing. Compos.-A Appl. Sci. Manuf. 2021, 144, 106336. [Google Scholar] [CrossRef]
- Shit, S.C.; Shah, P. A review on silicone rubber. Natl. Acad. Sci. Lett. 2013, 36, 355–365. [Google Scholar] [CrossRef]
- Ji, X.; Lu, Z.; Wang, J.; Ye, N.; Zhang, H.; Zhou, L.; Li, J.; Lu, Y. Construction of micro-nano hybrid structure based on carbon nanotube whisker and alumina for thermally conductive yet electrically insulating silicone rubber composites. Compos. Sci. Technol. 2024, 249, 110495. [Google Scholar] [CrossRef]
- Laubie, B.; Ohannessian, A.; Desjardin, V.; Germain, P. Methodology to assess silicone (bio) degradation and its effects on microbial diversity. J. Environ. Polym. Degrad. 2012, 20, 1019–1026. [Google Scholar] [CrossRef]
- Zhou, W.; Qi, S.; Tu, C.; Zhao, H. Novel heat-conductive composite silicone rubber. J. Appl. Polym. Sci. 2007, 104, 2478–2483. [Google Scholar] [CrossRef]
- Shahamatifard, F.; Rodrigue, D.; Park, K.; Frikha, S.; Mighri, F. Natural rubber nanocomposites: Effect of carbon black/multi-walled carbon nanotubes hybrid fillers on the mechanical properties and thermal conductivity. Polym.-Plast. Technol. Mater. 2021, 60, 1686–1696. [Google Scholar] [CrossRef]
- Saengdee, L.; Phinyocheep, P.; Daniel, P. Chemical modification of natural rubber in latex stage for improved thermal, oil, ozone and mechanical properties. J. Polym. Res. 2020, 27, 275. [Google Scholar] [CrossRef]
- Yangthong, H.; Pichaiyut, S.; Jumrat, S.; Wisunthorn, S.; Nakason, C. Mechanical, thermal, morphological, and curing properties of geopolymer filled natural rubber composites. J. Appl. Polym. Sci. 2019, 136, 47346. [Google Scholar] [CrossRef]
- Gelling, I. Modification of natural rubber latex with peracetic acid. Rubber Chem. Technol. 1985, 58, 86–96. [Google Scholar] [CrossRef]
- Baker, C.S.L.; Gelling, I.R.; Newell, R. Epoxidized Natural Rubber. Rubber Chem. Technol. 1985, 58, 67–85. [Google Scholar] [CrossRef]
- Song, W.; Wang, Z.; Xing, Y.; Zhang, G.; Zhang, X.; Lu, Y.; Tan, T.; Zhang, L. Green and catalyst-free cross-linking of bio-based elastomers toward robust, reprocessable abilities and improved thermal aging resistance enabled by β-hydroxyl esters. ACS Sustain. Chem. Eng. 2023, 11, 2784–2796. [Google Scholar] [CrossRef]
- Amiruddin, M.A.A.; Sarkawi, S.S. A rheological characteristics and kinetic study for sulphur accelerated vulcanisation of epoxidized natural rubber. J. Rubber Res. 2023, 26, 363–372. [Google Scholar] [CrossRef]
- Mensah, B.; Onwona-Agyeman, B.; Nyankson, E.; Bensah, D.Y. Effect of palm oil as plasticizer for compounding polar and non-polar rubber matrix reinforced carbon black composites. J. Polym. Res. 2023, 30, 67. [Google Scholar] [CrossRef]
- Salaeh, S.; Nakason, C. Influence of modified natural rubber and structure of carbon black on properties of natural rubber compounds. Polym. Compos. 2012, 33, 489–500. [Google Scholar] [CrossRef]
- Zhao, L.; Liu, L.; Gao, J.; Zhang, L. The structure and properties of bis (γ-triethoxysilylpropyl) tetrasulfide modified silica/epoxidized natural rubber nanocomposites as tire tread. Polymer 2024, 311, 127550. [Google Scholar] [CrossRef]
- Abdulraman, D.; Tiensing, T.; Phinyocheep, P. A facile and green pre-dispersion method for the preparation of epoxide-functionalized natural rubber/silica nanocomposites with improved mechanical properties. Iran. Polym. J. 2024, 33, 1553–1567. [Google Scholar] [CrossRef]
- Le, H.H.; Hoang, T.X.; Haider, S.B.; Subhradeep, M.; Reuter, U.; Dhakal, K.; Adhikari, R.; Reincke, K.; Saleah, S.; Wiessner, S. A new testing strategy based on the wetting concept for characterizing rubber-filler interaction in rubber compounds and its application to the study of the influence of epoxy groups and non-rubber components on rubber-filler interaction in natural rubber compounds. Express Polym. Lett. 2023, 17, 527–545. [Google Scholar] [CrossRef]
- Xu, T.; Jia, Z.; Luo, Y.; Jia, D.; Peng, Z. Interfacial interaction between the epoxidized natural rubber and silica in natural rubber/silica composites. Appl. Surf. Sci. 2015, 328, 306–313. [Google Scholar] [CrossRef]
- Damampai, K.; Pichaiyut, S.; Stöckelhuber, K.W.; Das, A.; Nakason, C. Ferric ions crosslinked epoxidized natural rubber filled with carbon nanotubes and conductive carbon black hybrid fillers. Polymer 2022, 14, 4392. [Google Scholar] [CrossRef]
- Pichaiyut, S.; Kitisavetjit, W.; Nakason, C. Synergistic effects of graphite and carbon nanotube hybrid fillers on key properties of epoxidized natural rubber nanocomposites. J. Polym. Res. 2023, 30, 412. [Google Scholar] [CrossRef]
- Adu, P.C.O.; Aakyiir, M.; Su, X.; Alam, J.; Tran, L.C.; Dai, J.; Meng, Q.; Kuan, H.C.; Ma, J. Challenges and advancements in Elastomer/CNT nanocomposites with mechanochemical treatment, reinforcement mechanisms and applications. Smart Mater. Manuf. 2024, 2, 100053. [Google Scholar] [CrossRef]
- Wang, Y.; Liao, L.; Lin, H.; Zhang, F.; Zhong, J.; Xu, K.; Peng, Z. Damping properties of natural rubber/epoxidized natural rubber composites with different fillers. In Proceedings of the 2017 3rd International Forum on Energy, Environment Science and Materials (IFEESM 2017), Series of Advances in Engineering Research, Shenzhen, China, 25–26 November 2017; Atlantis Press: Amsterdam, The Netherlands, 2018; pp. 772–775. [Google Scholar] [CrossRef][Green Version]
- Dahham, O.S.; Noriman, N.; Sam, S.T.; Al-Samarrai, N.M.; Shayfull, Z.; Alakrach, A.; Elnaid, S.A. The influence of rice husk fiber on the properties of epoxidized natural rubber/rice husk compounds. In Proceedings of the MATEC Web of Conferences, 2nd International Conference on Green Design and Manufacture (IConGDM 2016), Phuket, Thailand, 1–2 May 2016; Volume 78, p. 01075. [Google Scholar] [CrossRef]
- Attharangsan, S.; Ismail, H.; Bakar, M.A.; Ismail, J. The effect of rice husk powder on standard Malaysian natural rubber grade L (SMR L) and epoxidized natural rubber (ENR 50) composites. Polym.-Plast. Technol. 2012, 51, 231–237. [Google Scholar] [CrossRef]
- Yangthong, H.; Wisunthorn, S.; Pichaiyut, S.; Nakason, C. Novel epoxidized natural rubber composites with geopolymers from fly ash waste. Waste Manag. 2019, 87, 148–160. [Google Scholar] [CrossRef] [PubMed]
- Salaeh, S.; Boiteux, G.; Cassagnau, P.; Nakason, C. Flexible 0–3 Ceramic-Polymer Composites of Barium Titanate and Epoxidized Natural Rubber. Int. J. Appl. Ceram. Technol. 2015, 12, 106–115. [Google Scholar] [CrossRef]
- Salaeh, S.; Muensit, N.; Bomlai, P.; Nakason, C. Ceramic/natural rubber composites: Influence types of rubber and ceramic materials on curing, mechanical, morphological, and dielectric properties. J. Mater. Sci. 2011, 46, 1723–1731. [Google Scholar] [CrossRef]
- Jo, J.O.; Saha, P.; Kim, N.G.; Ho, C.C.; Kim, J.K. Development of nanocomposite with epoxidized natural rubber and functionalized multiwalled carbon nanotubes for enhanced thermal conductivity and gas barrier property. Mater. Des. 2015, 83, 777–785. [Google Scholar] [CrossRef]
- Borisova, T.M.; Castro, R.A. Mechanism of charge transport in Si/Al2O3/Al structures. J. Phys. Conf. Ser. 2013, 416, 012017. [Google Scholar] [CrossRef]
- Zhou, W.; Qi, S.; Tu, C.; Zhao, H.; Wang, C.; Kou, J. Effect of the particle size of Al2O3 on the properties of filled heat-conductive silicone rubber. J. Appl. Polym. Sci. 2007, 104, 1312–1318. [Google Scholar] [CrossRef]
- Hoshikawa, Y.; Kawaguchi, R.; Nomura, K.; Akahane, H.; Ishii, T.; Ando, M.; Hoshino, N.; Akutagawa, T.; Yamada, H.; Kyotani, T. Quantitative analysis of the formation mechanism of tightly bound rubber by using carbon-coated alumina nanoparticles as a model filler. Carbon 2021, 173, 870–879. [Google Scholar] [CrossRef]
- Lin, J.L.; Su, S.M.; He, Y.B.; Kang, F.Y. Improving thermal and mechanical properties of the alumina filled silicone rubber composite by incorporating carbon nanotubes. New Carbon Mater. 2020, 35, 66–72. [Google Scholar] [CrossRef]
- Wang, Y.; Liu, T.; Zhang, H.; Luo, N.; Chen, F.; Fu, Q. Effect of spherical alumina crystalline phase content and particle size distribution polydispersity on the properties of silicone rubber composites. Compos. Sci. Technol. 2023, 243, 110273. [Google Scholar] [CrossRef]
- Cheng, X.; Jiang, H. Surface modification of alumina and its application in thermal conductivity silicone potting. Silicone Mater. 2012, 26, 148–152. Available online: https://caod.oriprobe.com/articles/30438443/Surface_Modification_of_Alumina_and_its_Application_in_Thermal_Conduct.htm (accessed on 4 April 2024).
- Presto, D.; Meyerhofer, J.; Kippenbrock, G.; Narayanan, S.; Ilavsky, J.; Moctezuma, S.; Sutton, M.; Foster, M.D. Influence of Silane Coupling Agents on Filler Network Structure and Stress-Induced Particle Rearrangement in Elastomer Nanocomposites. ACS Appl. Mater. Interfaces 2020, 12, 47891–47901. [Google Scholar] [CrossRef]
- Ryu, G.; Kim, D.; Song, S.; Hwang, K.; Ahn, B.; Kim, W. Effect of Epoxide Content on the Vulcanizate Structure of Silica-Filled Epoxidized Natural Rubber (ENR) Compounds. Polymers 2021, 13, 1862. [Google Scholar] [CrossRef] [PubMed]
- D1646-89; Viscosity and Vulcanization Characteristics (Mooney Voscometer). Annual Book of ASTM Standards: West Conshohocken, PA, USA, 1990; Volume 9, p. 307.
- Solórzano, E.; Reglero, J.A.; Rodríguez-Pérez, M.A.; Lehmhus, D.; Wichmann, M.; De Saja, J.A. An experimental study on the thermal conductivity of aluminium foams by using the transient plane source method. Int. J. Heat Mass Transf. 2008, 51, 6259–6267. [Google Scholar] [CrossRef]
- Samran, J.; Phinyocheep, P.; Daniel, P.; Kittipoom, S. Hydrogenation of unsaturated rubbers using diimide as a reducing agent. J. Appl. Polym. Sci. 2005, 95, 16–27. [Google Scholar] [CrossRef]
- Padmaja, P.; Anilkumar, G.M.; Mukundan, P.; Aruldhas, G.; Warrier, K.G.K. Characterisation of stoichiometric sol–gel mullite by fourier transform infrared spectroscopy. Int. J. Inorg. Mater. 2001, 3, 693–698. [Google Scholar] [CrossRef]
- Vasconcelos, D.C.L.; Nunes, E.H.M.; Vasconcelos, W.L. AES and FTIR characterization of sol–gel alumina films. J. Non-Cryst. Solids 2012, 358, 1374–1379. [Google Scholar] [CrossRef]
- Innocenzi, P. Infrared spectroscopy of sol–gel derived silica-based films: A spectra-microstructure overview. J. Non-Cryst. Solids 2003, 316, 309–319. [Google Scholar] [CrossRef]
- Sae-Oui, P.; Rakdee, C.; Thanmathorn, P. Use of rice husk ash as filler in natural rubber vulcanizates: In comparison with other commercial fillers. J. Appl. Polym. Sci. 2002, 83, 2485–2493. [Google Scholar] [CrossRef]
- Wagner, M. Reinforcing silicas and silicates. Rubber Chem. Technol. 1976, 49, 703–774. [Google Scholar] [CrossRef]
- Arroyo, M.; Lopez-Manchado, M.A.; Valentin, J.T.; Carretero, J. Morphology/behaviour relationship of nanocomposites based on natural rubber/epoxidized natural rubber blends. Compos. Sci. Technol. 2007, 67, 1330–1339. [Google Scholar] [CrossRef]
- Varghese, S.; Karger-Kocsis, J.; Gatos, K.M. Melt compounded epoxidized natural rubber/layered silicate nanocomposites: Structure-properties relationships. Polymer 2003, 44, 3977–3983. [Google Scholar] [CrossRef]
- Da Costa, H.M.; Visconte, Y.L.L.; Nunes, R.C.R.; Furtado, C.R.G. Rice husk ash filled natural rubber. III. Role of metal oxides in kinetics of sulfur vulcanization. J. Appl. Polym. Sci. 2003, 90, 1519–1531. [Google Scholar] [CrossRef]
- Yangthong, H.; Pichaiyut, S.; Wisunthorn, S.; Kummerlöwe, C.; Vennemann, N.; Nakason, C. Role of geopolymer as a cure activator in sulfur vulcanization of epoxidized natural rubber. J. Appl. Polym. Sci. 2020, 137, 48624. [Google Scholar] [CrossRef]
- Yangthong, H.; Nun-anan, P.; Faibunchan, P.; Karrila, S.; Limhengha, S. The enhancement of cure and mechanical properties of natural rubber vulcanizates with waste Aquilaria crassna wood. Ind. Crops Prod. 2021, 171, 113922. [Google Scholar] [CrossRef]
- Alam, M.N.; Mandal, S.K.; Roy, K.; Debnath, S.C. Synergism of novel thiuram disulfide and dibenzothiazyl disulfide in the vulcanization of natural rubber: Curing, mechanical and aging resistance properties. Int. J. Ind. Chem. 2014, 5, 8. [Google Scholar] [CrossRef]
- Tanrattanakul, V.; Wattanathai, B.; Tiangjunya, A.; Muhamud, P. In situ epoxidized natural rubber: Improved oil resistance of natural rubber. J. Appl. Polym. Sci. 2003, 90, 261–269. [Google Scholar] [CrossRef]
- Mathew, N.; De, S.K. Thermo-oxidative ageing and its effect on the network structure and fracture mode of natural rubber vulcanizates. Polymer 1983, 24, 1042–1054. [Google Scholar] [CrossRef]
- Ryningen, B.; Bellmann, M.P.; Kvande, R.; Lohne, O. The effect of crucible coating and the temperature field on minority carrier lifetime in directionally solidified multicrystalline silicon ingots. In Proceedings of the Conference 27th European Photovoltaic Solar Energy Conference and Exhibition, Frankfurt, Germany, 24–28 September 2012. [Google Scholar] [CrossRef]
- Na Nakorn, P.; Jinawath, S.; Wada, S. Mechanical strength and thermal conductivity of high purity Al2O3 ceramics using AKP-30 Powder. J. Sci. Res. Chula. Univ. 2005, 30, 77–85. Available online: https://www.thaiscience.info/journals/Article/CJSR/10324248.pdf (accessed on 4 April 2024).
- Jacob, M.; Francis, B.; Thomas, S.; Varughese, K.T. Dynamical mechanical analysis of sisal/oil palm hybrid fiber-reinforced natural rubber composites. Polym. Compos. 2006, 27, 671–680. [Google Scholar] [CrossRef]









| Ingredient | Quantity (phr) | |||
|---|---|---|---|---|
| Unfilled ENR | ENR/Alumina | ENR/Silica | ENR/Hybrid Filler | |
| ENR 50 1 | 100 | 100 | 100 | 100 |
| Al2O3 2 | - | 50 | - | 25 |
| Silica | - | - | 50 | 25 |
| Coupling agent | - | 5 | 5 | 5 |
| Stearic acid | 1 | 1 | 1 | 1 |
| ZnO 3 | 3 | 3 | 3 | 3 |
| BHT 4 | 1 | 1 | 1 | 1 |
| CBS 5 | 1.5 | 1.5 | 1.5 | 1.5 |
| TMTD 6 | 0.3 | 0.3 | 0.3 | 0.3 |
| Sulfur | 1.5 | 1.5 | 1.5 | 1.5 |
| Wave Number (cm−1) | Assignment |
|---|---|
| 2927 | C-H stretching vibrations |
| 2836 | C-H stretching vibrations |
| 1463 | C-H stretching vibrations |
| 1373 | –CH3 bending vibrations |
| 1260 | C-O-C stretching vibrations |
| 1068 | Si–O stretching vibrations |
| 1041 | AlO4 tetrahedral stretching vibrations |
| 878 | C-O-C ring vibrations |
| 641 | AlO6 octahedral stretching vibrations |
| 578 | AlO6 octahedral stretching vibrations |
| Sample | Mooney Viscosity (ML1+4 100 °C) | Cure Characteristics | |||||
|---|---|---|---|---|---|---|---|
| ML 1 | MH 2 | MH-ML 3 | ts2 4 | tc90 5 | CRI | ||
| (dNm) | (dNm) | (dNm) | (min) | (min) | (min−1) | ||
| Unfilled ENR | 25.81 ± 1.31 | 1.05 | 14.24 | 13.19 | 0.30 | 1.23 | 107.5 |
| ENR/Alumina | 27.60 ± 0.92 | 1.92 | 16.63 | 14.71 | 0.29 | 1.11 | 121.95 |
| ENR/Silica | 50.20 ± 1.51 | 2.20 | 30.65 | 28.45 | 0.54 | 2.46 | 52.08 |
| ENR/Hybrid filler | 48.31 ± 1.32 | 2.82 | 27.98 | 25.16 | 0.54 | 2.06 | 65.78 |
| Sample | Tan δmax (dNm) | Tg (°C) |
|---|---|---|
| Unfilled ENR | 2.2 | −10.8 |
| ENR/Alumina | 2.3 | −11.2 |
| ENR/Silica | 0.8 | −8.7 |
| ENR/Hybrid filler | 2.0 | −9.5 |
Disclaimer/Publisher’s Note: The statements, opinions and data contained in all publications are solely those of the individual author(s) and contributor(s) and not of MDPI and/or the editor(s). MDPI and/or the editor(s) disclaim responsibility for any injury to people or property resulting from any ideas, methods, instructions or products referred to in the content. |
© 2024 by the authors. Licensee MDPI, Basel, Switzerland. This article is an open access article distributed under the terms and conditions of the Creative Commons Attribution (CC BY) license (https://creativecommons.org/licenses/by/4.0/).
Share and Cite
Yangthong, H.; Nun-Anan, P.; Krainoi, A.; Chaisrikhwun, B.; Karrila, S.; Limhengha, S. Hybrid Alumina–Silica Filler for Thermally Conductive Epoxidized Natural Rubber. Polymers 2024, 16, 3362. https://doi.org/10.3390/polym16233362
Yangthong H, Nun-Anan P, Krainoi A, Chaisrikhwun B, Karrila S, Limhengha S. Hybrid Alumina–Silica Filler for Thermally Conductive Epoxidized Natural Rubber. Polymers. 2024; 16(23):3362. https://doi.org/10.3390/polym16233362
Chicago/Turabian StyleYangthong, Hassarutai, Phattarawadee Nun-Anan, Apinya Krainoi, Boonphop Chaisrikhwun, Seppo Karrila, and Suphatchakorn Limhengha. 2024. "Hybrid Alumina–Silica Filler for Thermally Conductive Epoxidized Natural Rubber" Polymers 16, no. 23: 3362. https://doi.org/10.3390/polym16233362
APA StyleYangthong, H., Nun-Anan, P., Krainoi, A., Chaisrikhwun, B., Karrila, S., & Limhengha, S. (2024). Hybrid Alumina–Silica Filler for Thermally Conductive Epoxidized Natural Rubber. Polymers, 16(23), 3362. https://doi.org/10.3390/polym16233362

