The Application of Porous Carbon Derived from Furfural Residue as the Electrode Material in Supercapacitors
Abstract
1. Introduction
2. Materials and Methods
2.1. Materials
2.2. Synthesis of FR-Derived Porous Carbon
2.3. Sample Characterization
2.4. Electrochemical Measurement
3. Results and Discussion
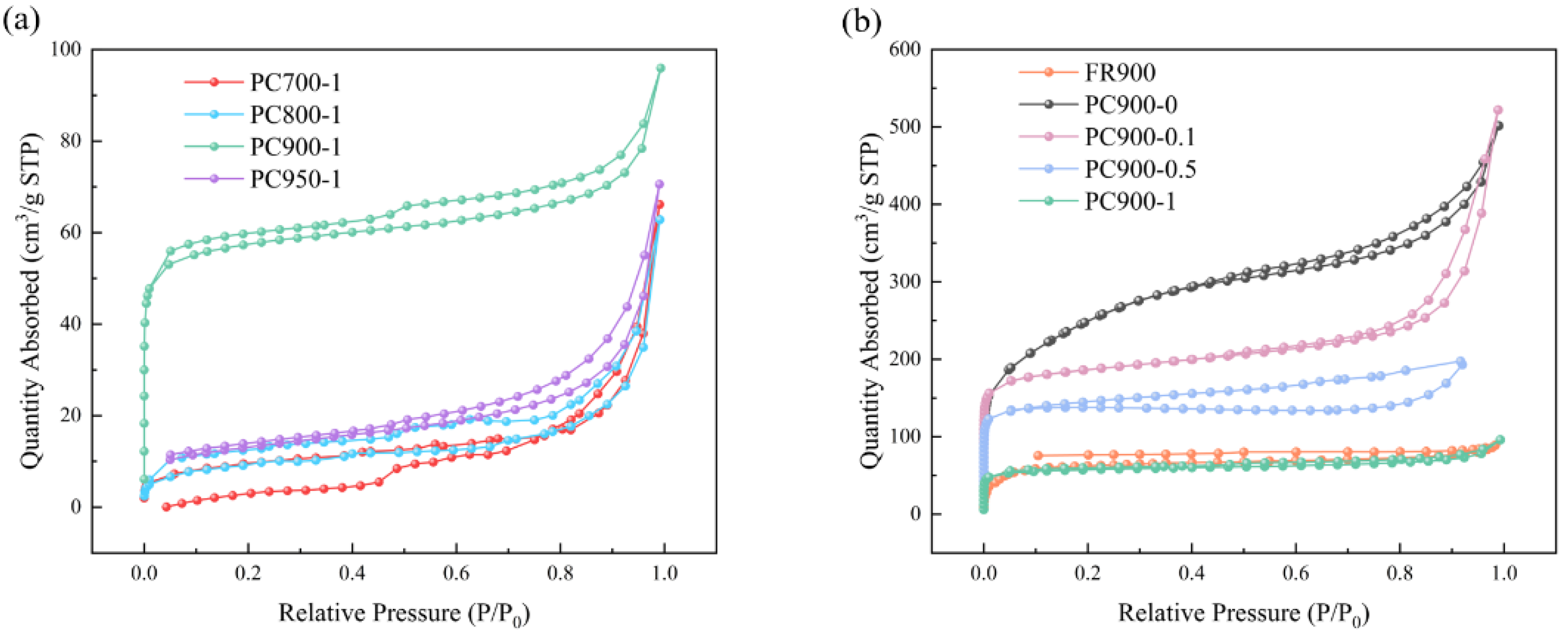
3.1. Physicochemical Properties of Porous Carbon
3.2. Electrochemical Performance Analysis
4. Conclusions
Supplementary Materials
Author Contributions
Funding
Institutional Review Board Statement
Informed Consent Statement
Data Availability Statement
Conflicts of Interest
References
- Wen, C.; Liu, T.; Wang, D.; Wang, Y.; Chen, H.; Luo, G.; Zhou, Z.; Li, C.; Xu, M. Biochar as the effective adsorbent to combustion gaseous pollutants: Preparation, activation, functionalization and the adsorption mechanisms. Prog. Energy Combust. Sci. 2023, 99, 101098. [Google Scholar] [CrossRef]
- Zhu, G.; Wen, C.; Liu, T.; Xu, M.; Ling, P.; Wen, W.; Li, R. Combustion and co-combustion of biochar: Combustion performance and pollutant emissions. Appl. Energy 2024, 376, 124292. [Google Scholar] [CrossRef]
- Qu, W.-H.; Xu, Y.-Y.; Lu, A.-H.; Zhang, X.-Q.; Li, W.-C. Converting biowaste corncob residue into high value added porous carbon for supercapacitor electrodes. Bioresour. Technol. 2015, 189, 285–291. [Google Scholar] [CrossRef] [PubMed]
- Sun, Y.; Wang, Z.; Liu, Y.; Meng, X.; Qu, J.; Liu, C.; Qu, B. A Review on the Transformation of Furfural Residue for Value-Added Products. Energies 2020, 13, 21. [Google Scholar] [CrossRef]
- Lin, K.; Feng, L.; Niu, K.; Liu, W.; Zhan, H.; Ma, B. Conversion Furfural Residues into Reducing Sugars with the Pretreatment of Ionic Liquid and Alkaline Peroxide. Waste Biomass Valorization 2020, 11, 1301–1307. [Google Scholar] [CrossRef]
- Ao, W.; Fu, J.; Mao, X.; Wahab, N.; Ran, C.; Kang, Q.; Liu, Y.; Jiang, Z.; Dai, J.; Bi, X. Characterization and analysis of activated carbons prepared from furfural residues by microwave-assisted pyrolysis and activation. Fuel Process. Technol. 2021, 213, 106640. [Google Scholar] [CrossRef]
- Chen, H.; Wang, G.; Chen, L.; Dai, B.; Yu, F. Three-Dimensional Honeycomb-Like Porous Carbon with Both Interconnected Hierarchical Porosity and Nitrogen Self-Doping from Cotton Seed Husk for Supercapacitor Electrode. Nanomaterials 2018, 8, 412. [Google Scholar] [CrossRef]
- Chen, J.; Jiang, L.; Wang, W.; Shen, Z.; Liu, S.; Li, X.; Wang, Y. Constructing highly porous carbon materials from porous organic polymers for superior CO2 adsorption and separation. J. Colloid Interface Sci. 2022, 609, 775–784. [Google Scholar] [CrossRef]
- Deng, Y.; Ji, Y.; Wu, H.; Chen, F. Enhanced electrochemical performance and high voltage window for supercapacitor based on multi-heteroatom modified porous carbon materials. Chem. Commun. 2019, 55, 1486–1489. [Google Scholar] [CrossRef]
- Kim, Y.K.; Park, J.H.; Lee, J.W. Facile nano-templated CO2 conversion into highly interconnected hierarchical porous carbon for high-performance supercapacitor electrodes. Carbon 2018, 126, 215–224. [Google Scholar] [CrossRef]
- Yan, B.; Zheng, J.; Wang, F.; Zhao, L.; Zhang, Q.; Xu, W.; He, S. Review on porous carbon materials engineered by ZnO templates: Design, synthesis and capacitance performance. Mater. Des. 2021, 201, 109518. [Google Scholar] [CrossRef]
- Yu, S.; Wang, H.; Hu, C.; Zhu, Q.; Qiao, N.; Xu, B. Facile synthesis of nitrogen-doped, hierarchical porous carbons with a high surface area: The activation effect of a nano-ZnO template. J. Mater. Chem. A 2016, 4, 16341–16348. [Google Scholar] [CrossRef]
- Zhang, W.; Cheng, R.-R.; Bi, H.-H.; Lu, Y.-H.; Ma, L.-B.; He, X.-J. A review of porous carbons produced by template methods for supercapacitor applications. New Carbon Mater. 2021, 36, 69–78. [Google Scholar] [CrossRef]
- Qin, L.; Xiao, Z.; Zhai, S.; Wang, S.; Wang, H.; Wang, G.; Cai, W.; Li, Z.; An, Q. Alginate-Derived Porous Carbon Obtained by Nano-ZnO Hard Template-Induced ZnCl2-Activation Method for Enhanced Electrochemical Performance. J. Electrochem. Soc. 2020, 167, 040505. [Google Scholar] [CrossRef]
- Jiang, Y.; He, Z.; Du, Y.; Wan, J.; Liu, Y.; Ma, F. In-situ ZnO template preparation of coal tar pitch-based porous carbon-sheet microsphere for supercapacitor. J. Colloid Interface Sci. 2021, 602, 721–731. [Google Scholar] [CrossRef]
- Yang, W.; Zhou, J.; Wang, S.; Zhang, W.; Wang, Z.; Lv, F.; Wang, K.; Sun, Q.; Guo, S. Freestanding film made by necklace-like N-doped hollow carbon with hierarchical pores for high-performance potassium-ion storage. Energy Environ. Sci. 2019, 12, 1605–1612. [Google Scholar] [CrossRef]
- Liu, Z.; Zhang, L.; Sheng, L.; Zhou, Q.; Wei, T.; Feng, J.; Fan, Z. Edge-Nitrogen-Rich Carbon Dots Pillared Graphene Blocks with Ultrahigh Volumetric/Gravimetric Capacities and Ultralong Life for Sodium-Ion Storage. Adv. Energy Mater. 2018, 8, 1802042. [Google Scholar] [CrossRef]
- Peng, X.; Zhang, L.; Chen, Z.; Zhong, L.; Zhao, D.; Chi, X.; Zhao, X.; Li, L.; Lu, X.; Leng, K.; et al. Hierarchically Porous Carbon Plates Derived from Wood as Bifunctional ORR/OER Electrodes. Adv. Mater. 2019, 31, 1900341. [Google Scholar] [CrossRef]
- Wen, W.H.; Wen, C.; Wang, D.P.; Zhu, G.Y.; Yu, J.; Ling, P.P.; Xu, M.T.; Liu, T.Y. A review on activated coke for removing flue gas pollutants (SO2, NOx, Hg0, and VOCs): Preparation, activation, modification, and engineering applications. J. Environ. Chem. Eng. 2024, 12, 111964. [Google Scholar] [CrossRef]
- Miao, L.; Zhu, D.; Liu, M.; Duan, H.; Wang, Z.; Lv, Y.; Xiong, W.; Zhu, Q.; Li, L.; Chai, X.; et al. N, S Co-doped hierarchical porous carbon rods derived from protic salt: Facile synthesis for high energy density supercapacitors. Electrochim. Acta 2018, 274, 378–388. [Google Scholar] [CrossRef]
- Zhou, J.; Ye, S.; Zeng, Q.; Yang, H.; Chen, J.; Guo, Z.; Jiang, H.; Rajan, K. Nitrogen and Phosphorus Co-doped Porous Carbon for High-Performance Supercapacitors. Front. Chem. 2020, 8, 105. [Google Scholar] [CrossRef] [PubMed]
- Ipadeola, A.K.; Eid, K.; Abdullah, A.M. Porous transition metal-based nanostructures as efficient cathodes for aluminium-air batteries. Curr. Opin. Electrochem. 2023, 37, 101198. [Google Scholar] [CrossRef]
- Hu, Z.; Li, X.; Tu, Z.; Wang, Y.; Dacres, O.D.; Sun, Y.; Sun, M.; Yao, H. “Thermal dissolution carbon enrichment” treatment of biomass wastes: Supercapacitor electrode preparation using the residue. Fuel Process. Technol. 2020, 205, 106430. [Google Scholar] [CrossRef]
- Nie, Z.; Wang, Y.; Li, X.; Wang, R.; Zhao, Y.; Song, H.; Wang, H. Heteroatom-doped hierarchical porous carbon from corn straw for high-performance supercapacitor. J. Energy Storage 2021, 44, 103410. [Google Scholar] [CrossRef]
- Zhao, Y.-Q.; Lu, M.; Tao, P.-Y.; Zhang, Y.-J.; Gong, X.-T.; Yang, Z.; Zhang, G.-Q.; Li, H.-L. Hierarchically porous and heteroatom doped carbon derived from tobacco rods for supercapacitors. J. Power Sources 2016, 307, 391–400. [Google Scholar] [CrossRef]
- Zhang, W.; Xu, J.; Hou, D.; Yin, J.; Liu, D.; He, Y.; Lin, H. Hierarchical porous carbon prepared from biomass through a facile method for supercapacitor applications. J. Colloid Interface Sci. 2018, 530, 338–344. [Google Scholar] [CrossRef]
- Wang, F.; Chen, L.; Li, H.; Duan, G.; He, S.; Zhang, L.; Zhang, G.; Zhou, Z.; Jiang, S. N-doped honeycomb-like porous carbon towards high-performance supercapacitor. Chin. Chem. Lett. 2020, 31, 1986–1990. [Google Scholar] [CrossRef]
- Fan, C.; Tian, Y.; Bai, S.; Zhang, C.; Wu, X. Nitrogen-doped porous carbon nanosheets for high-performance supercapacitors. J. Energy Storage 2021, 44, 103492. [Google Scholar] [CrossRef]
- Lu, Q.; Eid, K.; Li, W. Heteroatom-Doped Porous Carbon-Based Nanostructures for Electrochemical CO2 Reduction. Nanomaterials 2022, 12, 2379. [Google Scholar] [CrossRef]
- Wang, H.; Yu, S.; Xu, B. Hierarchical porous carbon materials prepared using nano-ZnO as a template and activation agent for ultrahigh power supercapacitors. Chem. Commun. 2016, 52, 11512–11515. [Google Scholar] [CrossRef]
- Shang, M.; Zhang, X.; Zhang, J.; Sun, J.; Zhao, X.; Yu, S.; Liu, X.; Liu, B.; Yi, X. Nitrogen-doped carbon composite derived from ZIF-8/ polyaniline@cellulose-derived carbon aerogel for high-performance symmetric supercapacitors. Carbohydr. Polym. 2021, 262, 117966. [Google Scholar] [CrossRef] [PubMed]
- Du, X.; Li, C.; Zhang, J.; Zhu, Y.; Liang, C.; Huang, L.; Yang, K.; Yao, C.; Ma, Y. Tunning active oxygen species for boosting Hg0 removal and SO2-resistance of Mn-Fe oxides supported on (NH4)2S2O8 doping activated coke. J. Hazard. Mater. 2023, 441, 129882. [Google Scholar] [CrossRef] [PubMed]
- Yan, Z.; Liu, L.; Zhang, Y.; Liang, J.; Wang, J.; Zhang, Z.; Wang, X. Activated Semi-coke in SO2 Removal from Flue Gas: Selection of Activation Methodology and Desulfurization Mechanism Study. Energy Fuels 2013, 27, 3080–3089. [Google Scholar] [CrossRef]
- Wu, S.; Wei, D.; Cui, H.; Wang, H.; Li, Y.; Tao, X.; Yan, C.; Liu, C. Electrochemical performance of polyacrylamide hydrogel based nitrogen-doped porous carbon for supercapacitor. J. Electroanal. Chem. 2020, 865, 114141. [Google Scholar] [CrossRef]
- Zhang, J.-J.; Fan, H.-X.; Dai, X.-H.; Yuan, S.-J. Digested sludge-derived three-dimensional hierarchical porous carbon for high-performance supercapacitor electrode. R. Soc. Open Sci. 2018, 5, 172456. [Google Scholar] [CrossRef] [PubMed]
- Bhattacharyya, S.; Konkena, B.; Jayaramulu, K.; Schuhmann, W.; Maji, T.K. Synthesis of nano-porous carbon and nitrogen doped carbon dots from an anionic MOF: A trace cobalt metal residue in carbon dots promotes electrocatalytic ORR activity. J. Mater. Chem. A 2017, 5, 13573–13580. [Google Scholar] [CrossRef]
- Liu, Y.; Cui, S.; Wu, P.; Liu, L.; Dou, Z.; Wang, Y. Removal of gaseous elemental mercury using corn stalk biochars modified by a green oxidation technology. Fuel Process. Technol. 2023, 242, 107621. [Google Scholar] [CrossRef]
- Lv, B.-W.; Xu, H.; Guo, J.-Z.; Bai, L.-Q.; Li, B. Efficient adsorption of methylene blue on carboxylate-rich hydrochar prepared by one-step hydrothermal carbonization of bamboo and acrylic acid with ammonium persulphate. J. Hazard. Mater. 2022, 421, 126741. [Google Scholar] [CrossRef]
- Xuan, C.; Peng, Z.; Wang, J.; Lei, W.; Xia, K.; Wu, Z.; Xiao, W.; Wang, D. Biomass derived nitrogen doped carbon with porous architecture as efficient electrode materials for supercapacitors. Chin. Chem. Lett. 2017, 28, 2227–2230. [Google Scholar] [CrossRef]
- Iberahim, N.; Sethupathi, S.; Goh, C.L.; Bashir, M.J.K.; Ahmad, W. Optimization of activated palm oil sludge biochar preparation for sulphur dioxide adsorption. J. Environ. Manag. 2019, 248, 109302. [Google Scholar] [CrossRef]
- Cui, H.; Xu, J.; Shi, J.; Zhang, C. Synthesis of sulfur doped carbon from dipotassium anthraquinone-1,8-disulfonate for CO2 adsorption. J. CO2 Util. 2021, 50, 101582. [Google Scholar] [CrossRef]
- Yang, W.; Dou, Z.; Liu, Y.; Zhao, Y.; Huang, R. Gaseous mercury capture using seaweed biochars modified by clean ultraviolet/hydrogen peroxide advanced oxidation process. J. Clean. Prod. 2023, 389, 136121. [Google Scholar] [CrossRef]
- Wang, D.; Wen, C.; Zhang, B.; Zhu, G.; Wen, W.; Liu, Q.; Liu, T. Sustainable eutectic mixture strategy of molten salts for preparing biochar with interconnected pore structure from algal residue and its performance in aqueous supercapacitor. J. Energy Storage 2023, 69, 107935. [Google Scholar] [CrossRef]
- Qian, X.; Miao, L.; Jiang, J.; Ping, G.; Xiong, W.; Lv, Y.; Liu, Y.; Gan, L.; Zhua, D.; Liu, M. Hydrangea-like N/O codoped porous carbons for high-energy supercapacitors. Chem. Eng. J. 2020, 388, 124208. [Google Scholar] [CrossRef]
- Wu, X.; Wang, Y.; Zhong, R.; Li, B. Nitrogen and sulfur dual-doped hierarchical porous carbon derived from bacterial cellulose for high performance supercapacitor. Diam. Relat. Mater. 2021, 116, 108447. [Google Scholar] [CrossRef]
- Dai, Z.; Ren, P.-G.; He, W.; Hou, X.; Ren, F.; Zhang, Q.; Jin, Y.-L. Boosting the electrochemical performance of nitrogen-oxygen co-doped carbon nanofibers based supercapacitors through esterification of lignin precursor. Renew. Energy 2020, 162, 613–623. [Google Scholar] [CrossRef]
- Li, R.; Wen, C.; Yan, K.; Liu, T.; Zhang, B.; Xu, M.; Zhou, Z. The water splitting cycle for hydrogen production at photo-induced oxygen vacancies using solar energy: Experiments and DFT calculation on pure and metal-doped CeO2. J. Mater. Chem. A 2023, 11, 7128–7141. [Google Scholar] [CrossRef]
- Li, Y.; Zhang, M.; Lu, H.; Cai, X.; Jiao, Z.; Li, S.; Song, W. Boosting High-Performance Aqueous Zinc-Ion Hybrid Capacitors via Organic Redox Species on Laser-Induced Graphene Network. Adv. Funct. Mater. 2024, 34, 2400663. [Google Scholar] [CrossRef]
- Chen, G.; Chen, S.; Wu, X.; Wu, C.; Xiao, Y.; Dong, H.; Yu, X.; Liang, Y.; Hu, H.; Zheng, M. Ammonium persulfate assisted synthesis of ant-nest-like hierarchical porous carbons derived from chitosan for high-performance supercapacitors and zinc-ion hybrid capacitors. J. Mater. Chem. A 2024, 12, 11920–11935. [Google Scholar] [CrossRef]
- Zhang, L.; Zhu, Y.; Zhao, W.; Zhang, L.; Ye, X.; Feng, J.-J. Facile one-step synthesis of three-dimensional freestanding hierarchical porous carbon for high energy density supercapacitors in organic electrolyte. J. Electroanal. Chem. 2018, 818, 51–57. [Google Scholar] [CrossRef]
- Lee, K.S.; Kim, S.J.; Park, C.W.; Cho, I.; Kim, P.J.H.; Pol, V.G.; Park, I.; Ko, J.M. Towards high performance of supercapacitor: New approach to design 3D architectured electrodes with bacteria. J. Ind. Eng. Chem. 2019, 78, 232–238. [Google Scholar] [CrossRef]
- Abbas, Z.; Kumar, J.; Soomro, R.A.; Sun, N.; Yu, Z.; Xu, B. Coal tar-pitch derived porous carbons with zinc oxide nanoparticles as a dual-functional template and activating agent for high-performance supercapacitors. J. Porous Mater. 2024, 31, 1727–1736. [Google Scholar] [CrossRef]
- Ponzio, R.A.; Coneo-Rodriguez, R.; Mondino, T.M.; Moreno, M.S.; Planes, G.A. Ultraviolet light-assisted synthesis of nanostructured carbon materials for supercapacitor electrodes by using zinc oxide structures as template and catalyst. J. Solid State Electrochem. 2024, 28, 2081–2091. [Google Scholar] [CrossRef]
- Niu, F.; Guo, R.; Dang, L.; Sun, J.; Li, Q.; He, X.; Liu, Z.; Lei, Z. Coral-like PEDOT Nanotube Arrays on Carbon Fibers as High-Rate Flexible Supercapacitor Electrodes. Acs Appl. Energy Mater. 2020, 3, 7794–7803. [Google Scholar] [CrossRef]












| Methods | Proximate Analysis (wt%, ad) | Ultimate Analysis (wt%, daf) | |||||||
|---|---|---|---|---|---|---|---|---|---|
| Moisture | Ash | Volatile | Fixed Carbon | C | H | N | S | O | |
| furfural residue | 2.17 | 6.43 | 70.52 | 20.88 | 50.16 | 5.37 | 2.13 | 0.55 | 41.79 |
| Sample | SBET (m2 g−1) | Vtotal (cm3 g−1) | Vmicro (cm3 g−1) | D (nm) |
|---|---|---|---|---|
| FR900 | 229.15 | 0.138 | 0.0601 | 5.55 |
| PC700-1 | 25.98 | 0.050 | 0.0017 | 13.75 |
| PC800-1 | 24.31 | 0.045 | 0.0024 | 13.34 |
| PC900-0 | 855.62 | 0.648 | 0.2365 | 6.56 |
| PC900-0.1 | 707.71 | 0.563 | 0.2109 | 14.45 |
| PC900-0.5 | 557.71 | 0.341 | 0.2079 | 12.41 |
| PC900-1 | 223.54 | 0.117 | 0.0701 | 8.21 |
| PC950-1 | 44.33 | 0.063 | 0.0052 | 15.54 |
| Sample | Rs (Ω) | Rct (Ω) | Wd (Ω) |
|---|---|---|---|
| FR900 | 0.318 | 0.119 | 1.67 |
| PC700-1 | 0.336 | 0.143 | 0.484 |
| PC800-1 | 0.315 | 0.102 | 0.985 |
| PC900-1 | 0.313 | 0.358 | 0.152 |
| PC950-1 | 0.334 | 0.141 | 1.163 |
| PC900-0 | 0.309 | 0.165 | 2.450 |
| PC900-0.1 | 0.306 | 0.145 | 1.157 |
| PC900-0.5 | 0.331 | 0.096 | 2.012 |
| Electrode Materials | Electrolyte | Specific Capacity (F g−1) | Current Density (A g−1) | Ref. |
|---|---|---|---|---|
| sucrose-derived porous carbon by ZnO template | 1 M TEABF4/acetonitrile | 130 | 1 | [50] |
| sponge waste-derived porous carbon with ZnO | 1M Na2SO4 | 133 | 0.2 | [51] |
| coal tar-pitch-derived porous carbon with ZnO | 6 M KOH | 172 | 0.1 | [52] |
| resorcinol–formaldehyde by ZnO template | 0.5 M Na2SO4 | 51.8 | 0.5 | [53] |
| poly(3,4-ethylenedioxythiophene) by ZnO template | 0.5 M Na2SO4 | 89 | 0.5 | [54] |
| FR-derived porous carbon by ZnO template | 6 M KOH | 153 | 0.5 | This study |
Disclaimer/Publisher’s Note: The statements, opinions and data contained in all publications are solely those of the individual author(s) and contributor(s) and not of MDPI and/or the editor(s). MDPI and/or the editor(s) disclaim responsibility for any injury to people or property resulting from any ideas, methods, instructions or products referred to in the content. |
© 2024 by the authors. Licensee MDPI, Basel, Switzerland. This article is an open access article distributed under the terms and conditions of the Creative Commons Attribution (CC BY) license (https://creativecommons.org/licenses/by/4.0/).
Share and Cite
Zhang, Z.; Hu, H.; Yang, J.; He, Z.; Zhu, G.; Wen, C. The Application of Porous Carbon Derived from Furfural Residue as the Electrode Material in Supercapacitors. Polymers 2024, 16, 3421. https://doi.org/10.3390/polym16233421
Zhang Z, Hu H, Yang J, He Z, Zhu G, Wen C. The Application of Porous Carbon Derived from Furfural Residue as the Electrode Material in Supercapacitors. Polymers. 2024; 16(23):3421. https://doi.org/10.3390/polym16233421
Chicago/Turabian StyleZhang, Zhiyin, Huimin Hu, Jie Yang, Zhengguang He, Guangyue Zhu, and Chang Wen. 2024. "The Application of Porous Carbon Derived from Furfural Residue as the Electrode Material in Supercapacitors" Polymers 16, no. 23: 3421. https://doi.org/10.3390/polym16233421
APA StyleZhang, Z., Hu, H., Yang, J., He, Z., Zhu, G., & Wen, C. (2024). The Application of Porous Carbon Derived from Furfural Residue as the Electrode Material in Supercapacitors. Polymers, 16(23), 3421. https://doi.org/10.3390/polym16233421

