Fats and Oils as a Sustainable Source of Photopolymerizable Monomers
Abstract
1. Introduction
2. Photoinduced Polymerization
2.1. Chain Growth Polymerization
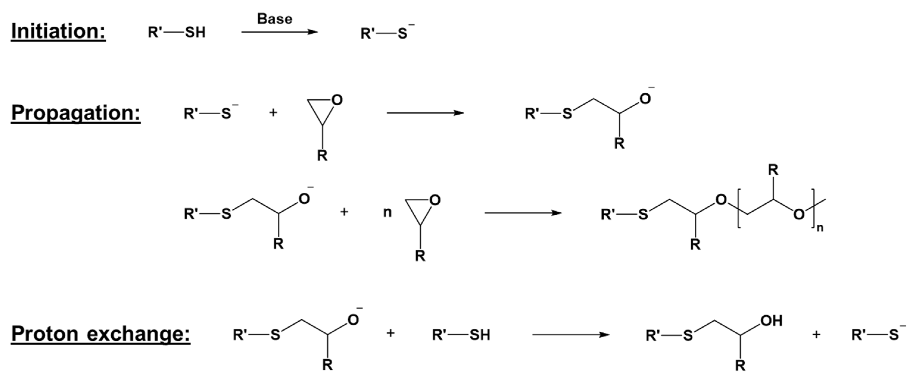
2.2. Thiol-Ene Click Polymerization
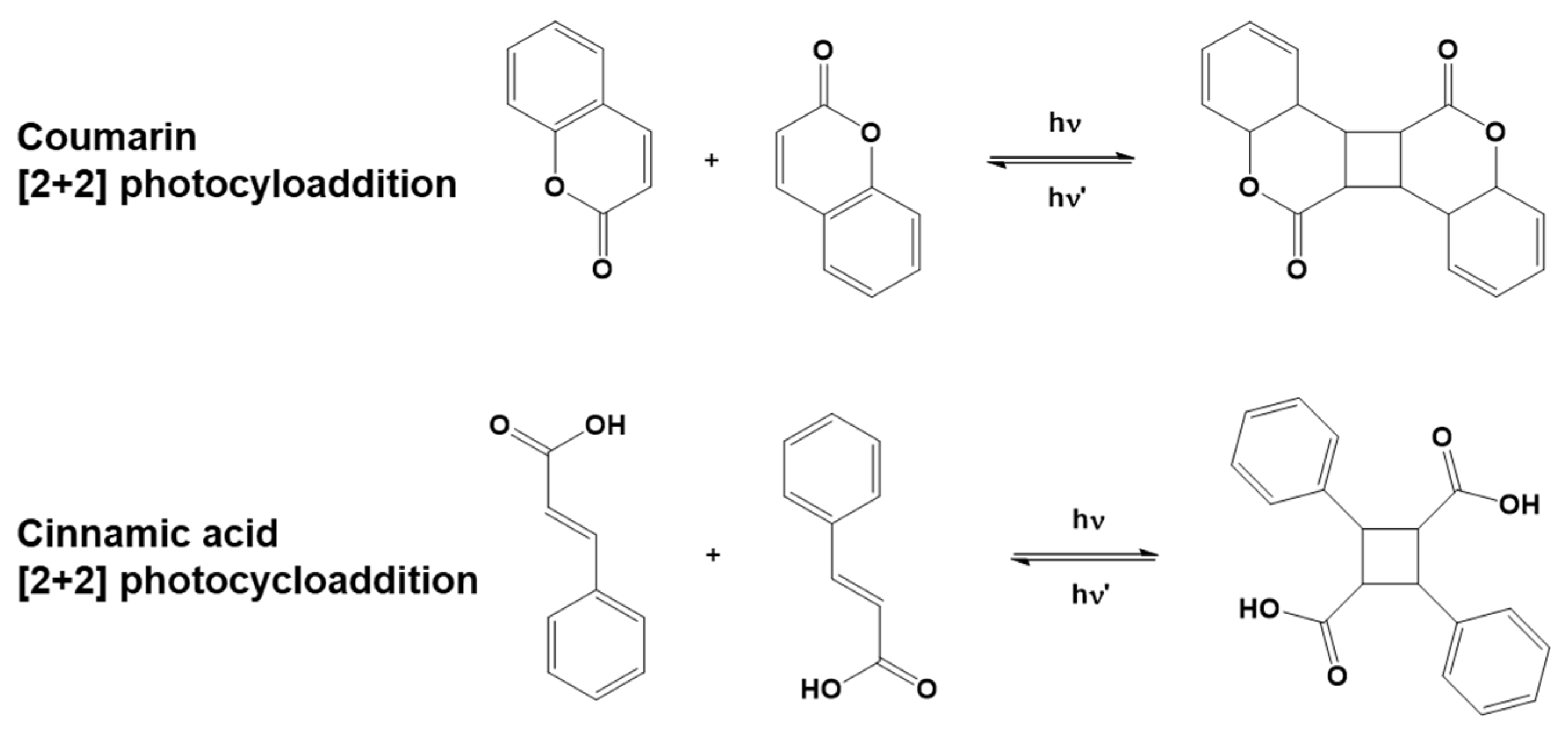
2.3. Photocycloaddition
3. Fats, Oils, and Other Lipids as Sources for Photocurable Monomers
3.1. Natural Sources
3.2. Recycled Sources
4. Synthesis of Photocurable Monomers from Natural and Recycled Sources and Their Polymerization
4.1. Vegetable Oils
4.2. Terpenes
4.3. Phenols
5. Conclusions
Author Contributions
Funding
Institutional Review Board Statement
Data Availability Statement
Conflicts of Interest
References
- Peplow, M. The Plastics Revolution: How Chemists Are Pushing Polymers to New Limits. Nature 2016, 536, 266–268. [Google Scholar] [CrossRef] [PubMed]
- Chou, L.-C.; Matsubara, K.; Takada, K.; Kaneko, T.; Kakuchi, R. Synthesis of Photoresponsive Biobased Adhesive Polymers via the Passerini Three-Component Reaction. Polym. J. 2023, 55, 1067–1074. [Google Scholar] [CrossRef]
- Bongiovanni, R.; Vacche, S.D.; Vitale, A. Photoinduced Processes as a Way to Sustainable Polymers and Innovation in Polymeric Materials. Polymers 2021, 13, 2293. [Google Scholar] [CrossRef] [PubMed]
- Tehfe, M.; Louradour, F.; Lalevée, J.; Fouassier, J.-P. Photopolymerization Reactions: On the Way to a Green and Sustainable Chemistry. Appl. Sci. 2013, 3, 490–514. [Google Scholar] [CrossRef]
- Photopolymers Market Size, Share & Growth Report—Forecast 2023–2030. Available online: https://www.grandviewresearch.com/industry-analysis/photopolymers-market-report (accessed on 25 September 2024).
- Gan, Y.; Jiang, X. Photo-Cured Materials from Vegetable Oils. In Green Materials from Plant Oils; Liu, Z., Kraus, G., Eds.; The Royal Society of Chemistry: London, UK, 2014; pp. 1–27. ISBN 978-1-84973-901-6. [Google Scholar]
- Pierau, L.; Elian, C.; Akimoto, J.; Ito, Y.; Caillol, S.; Versace, D.-L. Bio-Sourced Monomers and Cationic Photopolymerization–The Green Combination towards Eco-Friendly and Non-Toxic Materials. Prog. Polym. Sci. 2022, 127, 101517. [Google Scholar] [CrossRef]
- Kumar, A.; Connal, L.A. Biobased Transesterification Vitrimers. Macromol. Rapid Commun. 2023, 44, 2200892. [Google Scholar] [CrossRef]
- Lai, H.; Peng, X.; Li, L.; Zhu, D.; Xiao, P. Novel Monomers for Photopolymer Networks. Prog. Polym. Sci. 2022, 128, 101529. [Google Scholar] [CrossRef]
- Cazin, I.; Ocepek, M.; Kecelj, J.; Stražar, A.S.; Schlögl, S. Synthesis of Bio-Based Polyester Resins for Vat Photopolymerization 3D Printing. Materials 2024, 17, 1890. [Google Scholar] [CrossRef]
- Fantoni, A.; Koch, T.; Liska, R.; Baudis, S. A Systematic Study on Biobased Epoxy-Alcohol Networks: Highlighting the Advantage of Step-Growth Polyaddition over Chain-Growth Cationic Photopolymerization. Macromol. Rapid Commun. 2024, 45, 2400323. [Google Scholar] [CrossRef]
- Thomas, S.K.; Parameswaranpillai, J.; Krishnasamy, S.; Begum, P.M.S.; Nandi, D.; Siengchin, S.; George, J.J.; Hameed, N.; Salim, N.V.; Sienkiewicz, N. A Comprehensive Review on Cellulose, Chitin, and Starch as Fillers in Natural Rubber Biocomposites. Carbohydr. Polym. Technol. Appl. 2021, 2, 100095. [Google Scholar] [CrossRef]
- Kousaalya, A.B.; Zheng, T.; Ayalew, B.; Pilla, S. Ultraviolet-Initiated Curing of Natural Fiber-Reinforced Acrylated Epoxidized Soybean Oil Composites. SAE Int. J. Mater. Manf. 2021, 14, 407–414. [Google Scholar] [CrossRef]
- Wu, Y.; Li, C.; Chen, T.; Qiu, R.; Liu, W. Photo-Curing 3D Printing of Micro-Scale Bamboo Fibers Reinforced Palm Oil-Based Thermosets Composites. Compos. Part A Appl. Sci. Manuf. 2022, 152, 106676. [Google Scholar] [CrossRef]
- Fertier, L.; Koleilat, H.; Stemmelen, M.; Giani, O.; Joly-Duhamel, C.; Lapinte, V.; Robin, J.-J. The Use of Renewable Feedstock in UV-Curable Materials—A New Age for Polymers and Green Chemistry. Prog. Polym. Sci. 2013, 38, 932–962. [Google Scholar] [CrossRef]
- Maines, E.M.; Porwal, M.K.; Ellison, C.J.; Reineke, T.M. Sustainable Advances in SLA/DLP 3D Printing Materials and Processes. Green Chem. 2021, 23, 6863–6897. [Google Scholar] [CrossRef]
- Palucci Rosa, R.; Rosace, G. Nanomaterials for 3D Printing of Polymers via Stereolithography: Concept, Technologies, and Applications. Macromol. Mater. Eng. 2021, 306, 2100345. [Google Scholar] [CrossRef]
- Begum, S.A.; Krishnan, P.S.G.; Kanny, K. Bio-Based Polymers: A Review on Processing and 3D Printing. Polym. Sci. Ser. A 2023, 65, 421–446. [Google Scholar] [CrossRef]
- Voet, V.S.D.; Guit, J.; Loos, K. Sustainable Photopolymers in 3D Printing: A Review on Biobased, Biodegradable, and Recyclable Alternatives. Macromol. Rapid Commun. 2021, 42, 2000475. [Google Scholar] [CrossRef]
- Rosa, R.P.; Rosace, G.; Arrigo, R.; Malucelli, G. Preparation and Characterization of a Fully Biobased Resin System for 3D-Printing, Suitable for Replacing Fossil-Based Acrylates. J. Polym. Res. 2023, 30, 139. [Google Scholar] [CrossRef]
- Guggenbiller, G.; Brooks, S.; King, O.; Constant, E.; Merckle, D.; Weems, A.C. 3D Printing of Green and Renewable Polymeric Materials: Toward Greener Additive Manufacturing. ACS Appl. Polym. Mater. 2023, 5, 3201–3229. [Google Scholar] [CrossRef]
- Verhoeven, J.W. Glossary of Terms Used in Photochemistry (IUPAC Recommendations 1996). Pure Appl. Chem. 1996, 68, 2223–2286. [Google Scholar] [CrossRef]
- Eibel, A.; Fast, D.; Gescheidt, G. Choosing the Ideal Photoinitiator for Free Radical Photopolymerizations: Predictions Based on Simulations Using Established Data. Polym. Chem. 2018, 9, 5107–5115. [Google Scholar] [CrossRef]
- Chatani, S.; Kloxin, C.J.; Bowman, C.N. The Power of Light in Polymer Science: Photochemical Processes to Manipulate Polymer Formation, Structure, and Properties. Polym. Chem. 2014, 5, 2187–2201. [Google Scholar] [CrossRef]
- Menzel, J.P.; Noble, B.B.; Blinco, J.P.; Barner-Kowollik, C. Predicting Wavelength-Dependent Photochemical Reactivity and Selectivity. Nat. Commun. 2021, 12, 1691. [Google Scholar] [CrossRef] [PubMed]
- Lee, J.H.; Prud’homme, R.K.; Aksay, I.A. Cure Depth in Photopolymerization: Experiments and Theory. J. Mater. Res. 2001, 16, 3536–3544. [Google Scholar] [CrossRef]
- Aubert, S.; Bezagu, M.; Spivey, A.C.; Arseniyadis, S. Spatial and Temporal Control of Chemical Processes. Nat. Rev. Chem. 2019, 3, 706–722. [Google Scholar] [CrossRef]
- Acikgoz, C.; Hempenius, M.A.; Huskens, J.; Vancso, G.J. Polymers in Conventional and Alternative Lithography for the Fabrication of Nanostructures. Eur. Polym. J. 2011, 47, 2033–2052. [Google Scholar] [CrossRef]
- Malinauskas, M.; Farsari, M.; Piskarskas, A.; Juodkazis, S. Ultrafast Laser Nanostructuring of Photopolymers: A Decade of Advances. Phys. Rep. 2013, 533, 1–31. [Google Scholar] [CrossRef]
- Quan, H.; Zhang, T.; Xu, H.; Luo, S.; Nie, J.; Zhu, X. Photo-Curing 3D Printing Technique and Its Challenges. Bioact. Mater. 2020, 5, 110–115. [Google Scholar] [CrossRef]
- Taormina, G.; Sciancalepore, C.; Messori, M.; Bondioli, F. 3D Printing Processes for Photocurable Polymeric Materials: Technologies, Materials, and Future Trends. J. Appl. Biomater. Funct. Mater. 2018, 16, 151–160. [Google Scholar] [CrossRef]
- Baroli, B. Photopolymerization of Biomaterials: Issues and Potentialities in Drug Delivery, Tissue Engineering, and Cell Encapsulation Applications. J Chem. Technol. Biotechnol. 2006, 81, 491–499. [Google Scholar] [CrossRef]
- Dietlin, C.; Schweizer, S.; Xiao, P.; Zhang, J.; Morlet-Savary, F.; Graff, B.; Fouassier, J.-P.; Lalevée, J. Photopolymerization upon LEDs: New Photoinitiating Systems and Strategies. Polym. Chem. 2015, 6, 3895–3912. [Google Scholar] [CrossRef]
- Xiao, P.; Zhang, J.; Dumur, F.; Tehfe, M.A.; Morlet-Savary, F.; Graff, B.; Gigmes, D.; Fouassier, J.P.; Lalevée, J. Visible Light Sensitive Photoinitiating Systems: Recent Progress in Cationic and Radical Photopolymerization Reactions under Soft Conditions. Prog. Polym. Sci. 2015, 41, 32–66. [Google Scholar] [CrossRef]
- Beck, S.; Narain, R. Polymer Synthesis. In Polymer Science and Nanotechnology; Elsevier: Amsterdam, The Netherlands, 2020; pp. 21–85. ISBN 978-0-12-816806-6. [Google Scholar]
- D’hooge, D.R.; Van Steenberge, P.H.M.; Reyniers, M.-F.; Marin, G.B. The Strength of Multi-Scale Modeling to Unveil the Complexity of Radical Polymerization. Prog. Polym. Sci. 2016, 58, 59–89. [Google Scholar] [CrossRef]
- Mastan, E.; Li, X.; Zhu, S. Modeling and Theoretical Development in Controlled Radical Polymerization. Prog. Polym. Sci. 2015, 45, 71–101. [Google Scholar] [CrossRef]
- Crivello, J.V.; Lam, J.H.W. Diaryliodonium Salts. A New Class of Photoinitiators for Cationic Polymerization. Macromolecules 1977, 10, 1307–1315. [Google Scholar] [CrossRef]
- Sangermano, M.; Tasdelen, M.A.; Yagci, Y. Photoinitiated Curing of Mono- and Bifunctional Epoxides by Combination of Active Chain End and Activated Monomer Cationic Polymerization Methods. J. Polym. Sci. Part A Polym. Chem. 2007, 45, 4914–4920. [Google Scholar] [CrossRef]
- Crivello, J.V.; Liu, S. Photoinitiated Cationic Polymerization of Epoxy Alcohol Monomers. J. Polym. Sci. Part A Polym. Chem. 2000, 38, 389–401. [Google Scholar] [CrossRef]
- Crivello, J.V. Photoinitiated Cationic Polymerization. Annu. Rev. Mater. Sci. 1983, 13, 173–190. [Google Scholar] [CrossRef]
- Sangermano, M. Advances in Cationic Photopolymerization. Pure Appl. Chem. 2012, 84, 2089–2101. [Google Scholar] [CrossRef]
- Shi, S.; Croutxé-Barghorn, C.; Allonas, X. Photoinitiating Systems for Cationic Photopolymerization: Ongoing Push toward Long Wavelengths and Low Light Intensities. Prog. Polym. Sci. 2017, 65, 1–41. [Google Scholar] [CrossRef]
- Crivello, J.V. A New Visible Light Sensitive Photoinitiator System for the Cationic Polymerization of Epoxides. J. Polym. Sci. Part A Polym. Chem. 2009, 47, 866–875. [Google Scholar] [CrossRef]
- Crivello, J.V. Radical-Promoted Visible Light Photoinitiated Cationic Polymerization of Epoxides. J. Macromol. Sci. Part A 2009, 46, 474–483. [Google Scholar] [CrossRef]
- Crivello, J.V.; Sangermano, M. Visible and Long-Wavelength Photoinitiated Cationic Polymerization. J. Polym. Sci. Part A Polym. Chem. 2001, 39, 343–356. [Google Scholar] [CrossRef]
- Tasdelen, M.A.; Lalevée, J.; Yagci, Y. Photoinduced Free Radical Promoted Cationic Polymerization 40 Years after Its Discovery. Polym. Chem. 2020, 11, 1111–1121. [Google Scholar] [CrossRef]
- Konuray, A.O.; Fernández-Francos, X.; Ramis, X. Analysis of the Reaction Mechanism of the Thiol–Epoxy Addition Initiated by Nucleophilic Tertiary Amines. Polym. Chem. 2017, 8, 5934–5947. [Google Scholar] [CrossRef]
- Cai, Y.; Jessop, J.L.P. Photopolymerization, Free Radical. In Encyclopedia of Polymer Science and Technology; Mark, H.F., Ed.; Wiley: Hoboken, NJ, USA, 2004; ISBN 978-1-118-63389-2. [Google Scholar]
- Vitale, A.; Quaglio, M.; Chiodoni, A.; Bejtka, K.; Cocuzza, M.; Pirri, C.F.; Bongiovanni, R. Oxygen-Inhibition Lithography for the Fabrication of Multipolymeric Structures. Adv. Mater. 2015, 27, 4560–4565. [Google Scholar] [CrossRef]
- Cole, M.A.; Bowman, C.N. Evaluation of Thiol-ene Click Chemistry in Functionalized Polysiloxanes. J. Polym. Sci. Part A Polym. Chem. 2013, 51, 1749–1757. [Google Scholar] [CrossRef]
- Stanfield, M.K.; Kotlarewski, N.; Smith, J.; Thickett, S.C. Biobased Transparent Thiol–Ene Polymer Networks from Levoglucosan. ACS Appl. Polym. Mater. 2024, 6, 837–845. [Google Scholar] [CrossRef]
- Fouassier, J.P.; Lalevée, J. Photoinitiators Structures, Reactivity and Applications in Polymerization; Wiley-VCH Verlag GmbH & Co. KGaA: Weinheim, Germany, 2021; Volume I, ISBN 978-3-527-34609-7. [Google Scholar]
- Spessa, A.; Bongiovanni, R.; Vitale, A. A Novel Disulfide-Containing Monomer for Photoinitiator-Free Self-Healable Photocured Coatings. Prog. Org. Coat. 2024, 187, 108098. [Google Scholar] [CrossRef]
- Coote, M.L.; Degirmenci, I. Theory and Applications of Thiyl Radicals in Polymer Chemistry. In Computational Quantum Chemistry; Elsevier: Amsterdam, The Netherlands, 2019; pp. 195–218. ISBN 978-0-12-815983-5. [Google Scholar]
- Yilmaz, G.; Yagci, Y. Light-Induced Step-Growth Polymerization. Prog. Polym. Sci. 2020, 100, 101178. [Google Scholar] [CrossRef]
- Rossegger, E.; Strasser, J.; Höller, R.; Fleisch, M.; Berer, M.; Schlögl, S. Wavelength Selective Multi-Material 3D Printing of Soft Active Devices Using Orthogonal Photoreactions. Macromol. Rapid Commun. 2023, 44, 2200586. [Google Scholar] [CrossRef] [PubMed]
- Cramer, N.B.; Bowman, C.N. Kinetics of Thiol-Ene and Thiol-Acrylate Photopolymerizations with Real-Time Fourier Transform Infrared. J. Polym. Sci. Part A Polym. Chem. 2001, 39, 3311–3319. [Google Scholar] [CrossRef]
- Hoyle, C.E.; Bowman, C.N. Thiol-Ene Click Chemistry. Angew. Chem. Int. Ed. 2010, 49, 1540–1573. [Google Scholar] [CrossRef] [PubMed]
- Fouassier, J.P.; Lalevée, J. Photoinitiators for Polymer Synthesis: Scope, Reactivity and Efficiency; Wiley-VCH Verlag GmbH & Co. KGaA: Weinheim, Germany, 2012; ISBN 978-3-527-64824-5. [Google Scholar]
- Purkait, M.K.; Sinha, M.K.; Mondal, P.; Singh, R. Photoresponsive Membranes. In Interface Science and Technology; Elsevier: Amsterdam, The Netherlands, 2018; Volume 25, pp. 115–144. ISBN 978-0-12-813961-5. [Google Scholar]
- Deng, H.; Xu, Q.; Guo, H.-Y.; Huang, X.; Chen, F.; Jin, L.; Quan, Z.-S.; Shen, Q.-K. Application of Cinnamic Acid in the Structural Modification of Natural Products: A Review. Phytochemistry 2023, 206, 113532. [Google Scholar] [CrossRef] [PubMed]
- Veerakanellore, G.B.; Captain, B.; Ramamurthy, V. Solid-State Photochemistry of Cis-Cinnamic Acids: A Competition between [2 + 2] Addition and Cis–Trans Isomerization. CrystEngComm 2016, 18, 4708–4712. [Google Scholar] [CrossRef]
- Hughes, T.; Simon, G.P.; Saito, K. Chemistries and Capabilities of Photo-Formable and Photoreversible Crosslinked Polymer Networks. Mater. Horiz. 2019, 6, 1762–1773. [Google Scholar] [CrossRef]
- Sajjadi, B.; Raman, A.A.A.; Arandiyan, H. A Comprehensive Review on Properties of Edible and Non-Edible Vegetable Oil-Based Biodiesel: Composition, Specifications and Prediction Models. Renew. Sustain. Energy Rev. 2016, 63, 62–92. [Google Scholar] [CrossRef]
- Wang, R.; Schuman, T. Towards Green: A Review of Recent Developments in Bio-Renewable Epoxy Resins from Vegetable Oils. In Green Materials from Plant Oils; Liu, Z., Kraus, G., Eds.; The Royal Society of Chemistry: London, UK, 2014; pp. 202–241. ISBN 978-1-84973-901-6. [Google Scholar]
- Silva, J.A.C.; Grilo, L.M.; Gandini, A.; Lacerda, T.M. The Prospering of Macromolecular Materials Based on Plant Oils within the Blooming Field of Polymers from Renewable Resources. Polymers 2021, 13, 1722. [Google Scholar] [CrossRef]
- Shah, S.N.; Mendon, S.K.; Thames, S.F. Utilization of Green Materials for Coating Applications. In Green Materials from Plant Oils; Liu, Z., Kraus, G., Eds.; The Royal Society of Chemistry: London, UK, 2014; pp. 293–304. ISBN 978-1-84973-901-6. [Google Scholar]
- Atabani, A.E.; Silitonga, A.S.; Ong, H.C.; Mahlia, T.M.I.; Masjuki, H.H.; Badruddin, I.A.; Fayaz, H. Non-Edible Vegetable Oils: A Critical Evaluation of Oil Extraction, Fatty Acid Compositions, Biodiesel Production, Characteristics, Engine Performance and Emissions Production. Renew. Sustain. Energy Rev. 2013, 18, 211–245. [Google Scholar] [CrossRef]
- Chen, J.; De Liedekerke Beaufort, M.; Gyurik, L.; Dorresteijn, J.; Otte, M.; Klein Gebbink, R.J.M. Highly Efficient Epoxidation of Vegetable Oils Catalyzed by a Manganese Complex with Hydrogen Peroxide and Acetic Acid. Green Chem. 2019, 21, 2436–2447. [Google Scholar] [CrossRef]
- Pelletier, H.; Belgacem, N.; Gandini, A. Acrylated Vegetable Oils as Photocrosslinkable Materials. J. Appl. Polym. Sci. 2006, 99, 3218–3221. [Google Scholar] [CrossRef]
- Nelson, J.S.; Applewhite, T.H. Castor-based Derivatives: Synthesis of Some Acrylate Esters. J. Am. Oil Chem. Soc. 1966, 43, 542–545. [Google Scholar] [CrossRef]
- Pelletier, H.; Gandini, A. Preparation of Acrylated and Urethanated Triacylglycerols. Eur. J. Lipid Sci. Technol. 2006, 108, 411–420. [Google Scholar] [CrossRef]
- Ho, Y.H.; Parthiban, A.; Thian, M.C.; Ban, Z.H.; Siwayanan, P. Acrylated Biopolymers Derived via Epoxidation and Subsequent Acrylation of Vegetable Oils. Int. J. Polym. Sci. 2022, 2022, 6210128. [Google Scholar] [CrossRef]
- Molina-Gutiérrez, S.; Manseri, A.; Ladmiral, V.; Bongiovanni, R.; Caillol, S.; Lacroix-Desmazes, P. Eugenol: A Promising Building Block for Synthesis of Radically Polymerizable Monomers. Macro Chem. Phys. 2019, 220, 1900179. [Google Scholar] [CrossRef]
- Becerra, J.-A.; Villa, A.-L. Techno-Economic Evaluation of d-Limonene and α-Pinene Separation from Citrus and Turpentine Oils. Chem. Eng. Technol. 2020, 43, 2295–2306. [Google Scholar] [CrossRef]
- Maturi, M.; Spanu, C.; Maccaferri, E.; Locatelli, E.; Benelli, T.; Mazzocchetti, L.; Sambri, L.; Giorgini, L.; Franchini, M.C. (Meth)Acrylate-Free Three-Dimensional Printing of Bio-Derived Photocurable Resins with Terpene- and Itaconic Acid-Derived Poly(Ester-Thioether)s. ACS Sustain. Chem. Eng. 2023, 11, 17285–17298. [Google Scholar] [CrossRef]
- Wilbon, P.A.; Chu, F.; Tang, C. Progress in Renewable Polymers from Natural Terpenes, Terpenoids, and Rosin. Macromol. Rapid Commun. 2013, 34, 8–37. [Google Scholar] [CrossRef]
- Silvestre, A.J.D.; Gandini, A. Terpenes: Major Sources, Properties and Applications. In Monomers, Polymers and Composites from Renewable Resources; Elsevier: Amsterdam, The Netherlands, 2008; pp. 17–38. ISBN 978-0-08-045316-3. [Google Scholar]
- Della Monica, F.; Kleij, A.W. From Terpenes to Sustainable and Functional Polymers. Polym. Chem. 2020, 11, 5109–5127. [Google Scholar] [CrossRef]
- Park, H.J.; Ryu, C.Y.; Crivello, J.V. Photoinitiated Cationic Polymerization of Limonene 1,2-oxide and A-pinene Oxide. J. Polym. Sci. Part A Polym. Chem. 2013, 51, 109–117. [Google Scholar] [CrossRef]
- Lochab, B.; Shukla, S.; Varma, I.K. Naturally Occurring Phenolic Sources: Monomers and Polymers. RSC Adv. 2014, 4, 21712–21752. [Google Scholar] [CrossRef]
- Ike, D.C.; Ibezim-Ezeani, M.U.; Akaranta, O. Cashew Nutshell Liquid and Its Derivatives in Oil Field Applications: An Update. Green Chem. Lett. Rev. 2021, 14, 620–633. [Google Scholar] [CrossRef]
- Caillol, S. Cardanol: A Promising Building Block for Biobased Polymers and Additives. Curr. Opin. Green Sustain. Chem. 2018, 14, 26–32. [Google Scholar] [CrossRef]
- Ecochard, Y.; Decostanzi, M.; Negrell, C.; Sonnier, R.; Caillol, S. Cardanol and Eugenol Based Flame Retardant Epoxy Monomers for Thermostable Networks. Molecules 2019, 24, 1818. [Google Scholar] [CrossRef]
- Voirin, C.; Caillol, S.; Sadavarte, N.V.; Tawade, B.V.; Boutevin, B.; Wadgaonkar, P.P. Functionalization of Cardanol: Towards Biobased Polymers and Additives. Polym. Chem. 2014, 5, 3142–3162. [Google Scholar] [CrossRef]
- Chen, J.; Nie, X.; Liu, Z.; Mi, Z.; Zhou, Y. Synthesis and Application of Polyepoxide Cardanol Glycidyl Ether as Biobased Polyepoxide Reactive Diluent for Epoxy Resin. ACS Sustain. Chem. Eng. 2015, 3, 1164–1171. [Google Scholar] [CrossRef]
- Kanehashi, S.; Tamura, S.; Kato, K.; Honda, T.; Ogino, K.; Miyakoshi, T. Photopolymerization of Bio-Based Epoxy Prepolymers Derived from Cashew Nut Shell Liquid (CNSL). J. Fiber Sci. Technol. 2017, 73, 210–221. [Google Scholar] [CrossRef][Green Version]
- Gour, R.S.; Raut, K.G.; Badiger, M.V. Flexible Epoxy Novolac Coatings: Use of Cardanol-based Flexibilizers. J. Appl. Polym. Sci 2017, 134, 44920. [Google Scholar] [CrossRef]
- Jaillet, F.; Darroman, E.; Ratsimihety, A.; Auvergne, R.; Boutevin, B.; Caillol, S. New Biobased Epoxy Materials from Cardanol. Eur. J. Lipid Sci. Technol. 2014, 116, 63–73. [Google Scholar] [CrossRef]
- Khalil, A.A.; Rahman, U.U.; Khan, M.R.; Sahar, A.; Mehmood, T.; Khan, M. Essential Oil Eugenol: Sources, Extraction Techniques and Nutraceutical Perspectives. RSC Adv. 2017, 7, 32669–32681. [Google Scholar] [CrossRef]
- Llevot, A.; Grau, E.; Carlotti, S.; Grelier, S.; Cramail, H. From Lignin-derived Aromatic Compounds to Novel Biobased Polymers. Macromol. Rapid Commun. 2016, 37, 9–28. [Google Scholar] [CrossRef] [PubMed]
- Sakai, K.; Takeuti, H.; Mun, S.-P.; Imamura, H. Formation of Isoeugenol and Eugenol During the Cleavage of β-Aryl Ethers in Lignin by Alcohol-Bisulfite Treatment. J. Wood Chem. Technol. 1988, 8, 29–41. [Google Scholar] [CrossRef]
- Morales-Cerrada, R.; Molina-Gutierrez, S.; Lacroix-Desmazes, P.; Caillol, S. Eugenol, a Promising Building Block for Biobased Polymers with Cutting-Edge Properties. Biomacromolecules 2021, 22, 3625–3648. [Google Scholar] [CrossRef] [PubMed]
- Caillol, S.; Boutevin, B.; Auvergne, R. Eugenol, a Developing Asset in Biobased Epoxy Resins. Polymer 2021, 223, 123663. [Google Scholar] [CrossRef]
- Fujisawa, S.; Kadoma, Y. Action of Eugenol as a Retarder against Polymerization of Methyl Methacrylate by Benzoyl Peroxide. Biomaterials 1997, 18, 701–703. [Google Scholar] [CrossRef]
- Lartigue-Peyrou, F. The Use of Phenolic Compounds as Free-Radical Polymerization Inhibitors. In Industrial Chemistry Library; Elsevier: Amsterdam, The Netherlands, 1996; Volume 8, pp. 489–505. ISBN 978-0-444-82434-9. [Google Scholar]
- Guzmán, D.; Serra, A.; Ramis, X.; Fernández-Francos, X.; De La Flor, S. Fully Renewable Thermosets Based on Bis-Eugenol Prepared by Thiol-Click Chemistry. React. Funct. Polym. 2019, 136, 153–166. [Google Scholar] [CrossRef]
- Liu, T.; Sun, L.; Ou, R.; Fan, Q.; Li, L.; Guo, C.; Liu, Z.; Wang, Q. Flame Retardant Eugenol-Based Thiol-Ene Polymer Networks with High Mechanical Strength and Transparency. Chem. Eng. J. 2019, 368, 359–368. [Google Scholar] [CrossRef]
- Fache, M.; Boutevin, B.; Caillol, S. Vanillin Production from Lignin and Its Use as a Renewable Chemical. ACS Sustain. Chem. Eng. 2016, 4, 35–46. [Google Scholar] [CrossRef]
- Fache, M.; Darroman, E.; Besse, V.; Auvergne, R.; Caillol, S.; Boutevin, B. Vanillin, a Promising Biobased Building-Block for Monomer Synthesis. Green Chem. 2014, 16, 1987–1998. [Google Scholar] [CrossRef]
- Ng, F.; Couture, G.; Philippe, C.; Boutevin, B.; Caillol, S. Bio-Based Aromatic Epoxy Monomers for Thermoset Materials. Molecules 2017, 22, 149. [Google Scholar] [CrossRef]
- Bassett, A.W.; Honnig, A.E.; Breyta, C.M.; Dunn, I.C.; La Scala, J.J.; Stanzione, J.F. Vanillin-Based Resin for Additive Manufacturing. ACS Sustain. Chem. Eng. 2020, 8, 5626–5635. [Google Scholar] [CrossRef]
- Qiang, H.; Wang, J.; Liu, H.; Zhu, Y. From Vanillin to Biobased Aromatic Polymers. Polym. Chem. 2023, 14, 4255–4274. [Google Scholar] [CrossRef]
- Mannu, A.; Garroni, S.; Ibanez Porras, J.; Mele, A. Available Technologies and Materials for Waste Cooking Oil Recycling. Processes 2020, 8, 366. [Google Scholar] [CrossRef]
- Mannu, A.; Vlahopoulou, G.; Urgeghe, P.; Ferro, M.; Del Caro, A.; Taras, A.; Garroni, S.; Rourke, J.P.; Cabizza, R.; Petretto, G.L. Variation of the Chemical Composition of Waste Cooking Oils upon Bentonite Filtration. Resources 2019, 8, 108. [Google Scholar] [CrossRef]
- Mannu, A.; Ferro, M.; Dugoni, G.C.; Panzeri, W.; Petretto, G.L.; Urgeghe, P.; Mele, A. Improving the Recycling Technology of Waste Cooking Oils: Chemical Fingerprint as Tool for Non-Biodiesel Application. Waste Manag. 2019, 96, 1–8. [Google Scholar] [CrossRef]
- Dos Anjos, R.; Silva, M.S. Introduction Biodiesel Course: Evaluating the Quality of Waste Cooking Oil by 1H NMR Spectroscopy. J. Chem. Educ. 2020, 97, 3784–3790. [Google Scholar] [CrossRef]
- Hosney, H.; Nadiem, B.; Ashour, I.; Mustafa, I.; El-Shibiny, A. Epoxidized Vegetable Oil and Bio-based Materials as PVC Plasticizer. J. Appl. Polym. Sci. 2018, 135, 46270. [Google Scholar] [CrossRef]
- Langer, E.; Bortel, K.; Waskiewicz, S.; Lenartowicz-Klik, M. Plasticizers Derived from Post-Consumer PET: Research Trends and Potential Applications; Plastics Design Library; William Andrew: Oxford, UK; Cambridge, MA, USA, 2020; ISBN 978-0-323-46199-3. [Google Scholar]
- Ma, S.; Li, T.; Liu, X.; Zhu, J. Research Progress on Bio-based Thermosetting Resins. Polym. Int. 2016, 65, 164–173. [Google Scholar] [CrossRef]
- Crivello, J.V.; Narayan, R. Epoxidized Triglycerides as Renewable Monomers in Photoinitiated Cationic Polymerization. Chem. Mater. 1992, 4, 692–699. [Google Scholar] [CrossRef]
- Crivello, J.V.; Narayan, R.; Sternstein, S.S. Fabrication and Mechanical Characterization of Glass Fiber Reinforced UV-Cured Composites from Epoxidized Vegetable Oils. J. Appl. Polym. Sci. 1997, 64, 2073–2087. [Google Scholar] [CrossRef]
- Chakrapani, S.; Crivello, J.V. Synthesis and Photoinitiated Cationic Polymerization of Epoxidized Castor Oil and Its Derivatives. J. Macromol. Sci. Part A 1998, 35, 1–20. [Google Scholar] [CrossRef]
- Remeikyte, A.; Ostrauskaite, J.; Grazuleviciene, V. Synthesis and Properties of Photocross-linked Polymers of Epoxidized Linseed Oil with Different Reactive Diluents. J. Appl. Polym. Sci. 2013, 129, 1290–1298. [Google Scholar] [CrossRef]
- Thames, S.F.; Yu, H. Cationic UV-Cured Coatings of Epoxide-Containing Vegetable Oils. Surf. Coat. Technol. 1999, 115, 208–214. [Google Scholar] [CrossRef]
- Noè, C.; Malburet, S.; Bouvet-Marchand, A.; Graillot, A.; Loubat, C.; Sangermano, M. Cationic Photopolymerization of Bio-Renewable Epoxidized Monomers. Prog. Org. Coat. 2019, 133, 131–138. [Google Scholar] [CrossRef]
- Noè, C.; Iannucci, L.; Malburet, S.; Graillot, A.; Sangermano, M.; Grassini, S. New UV-Curable Anticorrosion Coatings from Vegetable Oils. Macromol. Mater. Eng. 2021, 306, 2100029. [Google Scholar] [CrossRef]
- Branciforti, D.S.; Lazzaroni, S.; Milanese, C.; Castiglioni, M.; Auricchio, F.; Pasini, D.; Dondi, D. Visible Light 3D Printing with Epoxidized Vegetable Oils. Addit. Manuf. 2019, 25, 317–324. [Google Scholar] [CrossRef]
- Grauzeliene, S.; Navaruckiene, A.; Skliutas, E.; Malinauskas, M.; Serra, A.; Ostrauskaite, J. Vegetable Oil-Based Thiol-Ene/Thiol-Epoxy Resins for Laser Direct Writing 3D Micro-/Nano-Lithography. Polymers 2021, 13, 872. [Google Scholar] [CrossRef]
- Zhao, Y.H.; Vuluga, D.; Lecamp, L.; Burel, F. Photoinitiated Thiol–Epoxy Addition for the Preparation of Photoinduced Self-Healing Fatty Coatings. RSC Adv. 2016, 6, 32098–32105. [Google Scholar] [CrossRef]
- Ding, L.; Chen, Y.F.; Zhong, Z.; Lu, F.; Du, Y.; Liu, L.; Huang, Y. Preparation of the Flexible Soybean Oil-based Material via [2 + 2] Cycloaddition Photo-polymerization. J. Appl. Polym. Sci. 2021, 138, 49925. [Google Scholar] [CrossRef]
- Rosace, G.; Palucci Rosa, R.; Arrigo, R.; Malucelli, G. Photosensitive Acrylates Containing Bio-based Epoxy-acrylate Soybean Oil for 3D Printing Application. J. Appl. Polym. Sci. 2021, 138, 51292. [Google Scholar] [CrossRef]
- Sölle, B.; Shaukat, U.; Rossegger, E.; Schlögl, S. Synthesis and Characterization of Bio-Based Transesterification Catalysts for Green 3D-Printable Dynamic Photopolymers. Polym. Chem. 2023, 14, 4994–5003. [Google Scholar] [CrossRef]
- Guit, J.; Tavares, M.B.L.; Hul, J.; Ye, C.; Loos, K.; Jager, J.; Folkersma, R.; Voet, V.S.D. Photopolymer Resins with Biobased Methacrylates Based on Soybean Oil for Stereolithography. ACS Appl. Polym. Mater. 2020, 2, 949–957. [Google Scholar] [CrossRef]
- Miao, S.; Zhu, W.; Castro, N.J.; Nowicki, M.; Zhou, X.; Cui, H.; Fisher, J.P.; Zhang, L.G. 4D Printing Smart Biomedical Scaffolds with Novel Soybean Oil Epoxidized Acrylate. Sci. Rep. 2016, 6, 27226. [Google Scholar] [CrossRef] [PubMed]
- Briede, S.; Platnieks, O.; Barkane, A.; Sivacovs, I.; Leitans, A.; Lungevics, J.; Gaidukovs, S. Tailored Biobased Resins from Acrylated Vegetable Oils for Application in Wood Coatings. Coatings 2023, 13, 657. [Google Scholar] [CrossRef]
- Wuzella, G.; Mahendran, A.R.; Müller, U.; Kandelbauer, A.; Teischinger, A. Photocrosslinking of an Acrylated Epoxidized Linseed Oil: Kinetics and Its Application for Optimized Wood Coatings. J. Polym. Environ. 2012, 20, 1063–1074. [Google Scholar] [CrossRef]
- Kousaalya, A.B.; Ayalew, B.; Pilla, S. Photopolymerization of Acrylated Epoxidized Soybean Oil: A Photocalorimetry-Based Kinetic Study. ACS Omega 2019, 4, 21799–21808. [Google Scholar] [CrossRef]
- Poothanari, M.A.; Schreier, A.; Missoum, K.; Bras, J.; Leterrier, Y. Photocured Nanocellulose Composites: Recent Advances. ACS Sustain. Chem. Eng. 2022, 10, 3131–3149. [Google Scholar] [CrossRef]
- Auclair, N.; Kaboorani, A.; Riedl, B.; Landry, V. Effects of Surface Modification of Cellulose Nanocrystals (CNCs) on Curing Behavior, Optical, and Thermal Properties of Soybean Oil Bio-Nanocomposite. J. Coat. Technol. Res. 2020, 17, 57–67. [Google Scholar] [CrossRef]
- Auclair, N.; Kaboorani, A.; Riedl, B.; Landry, V.; Hosseinaei, O.; Wang, S. Influence of Modified Cellulose Nanocrystals (CNC) on Performance of Bionanocomposite Coatings. Prog. Org. Coat. 2018, 123, 27–34. [Google Scholar] [CrossRef]
- Barkane, A.; Kampe, E.; Platnieks, O.; Gaidukovs, S. Cellulose Nanocrystals vs. Cellulose Nanofibers: A Comparative Study of Reinforcing Effects in UV-Cured Vegetable Oil Nanocomposites. Nanomaterials 2021, 11, 1791. [Google Scholar] [CrossRef]
- Amior, A.; Satha, H.; Vitale, A.; Bongiovanni, R.; Dalle Vacche, S. Photocured Composite Films with Microfibrillated Cellulose: A Study of Water Vapor Permeability. Coatings 2023, 13, 297. [Google Scholar] [CrossRef]
- Wu, Y.; Li, R.; Ke, J.; Cheng, X.; Tang, R.; Situ, Y.; Huang, H. Study on Bifunctional Acyldiphenylphosphine Oxides Photoinitiator for Free Radical Polymerization. Eur. Polym. J. 2022, 168, 111093. [Google Scholar] [CrossRef]
- Zhao, Y.H. A Rapid, Eco- and Environmental Friendly Alternative to Oil Oxidation for the Preparation of Fatty Coatings Using Photoinitiated Thiol-Ene Chemistry. Prog. Org. Coat. 2016, 101, 216–224. [Google Scholar] [CrossRef]
- Samuelsson, J.; Jonsson, M.; Brinck, T.; Johansson, M. Thiol–Ene Coupling Reaction of Fatty Acid Monomers. J. Polym. Sci. Part A Polym. Chem. 2004, 42, 6346–6352. [Google Scholar] [CrossRef]
- Black, M.; Rawlins, J.W. Thiol–Ene UV-Curable Coatings Using Vegetable Oil Macromonomers. Eur. Polym. J. 2009, 45, 1433–1441. [Google Scholar] [CrossRef]
- Shaukat, U.; Sölle, B.; Rossegger, E.; Rana, S.; Schlögl, S. Vat Photopolymerization 3D-Printing of Dynamic Thiol-Acrylate Photopolymers Using Bio-Derived Building Blocks. Polymers 2022, 14, 5377. [Google Scholar] [CrossRef]
- Wang, Q.; Chen, G.; Cui, Y.; Tian, J.; He, M.; Yang, J.-W. Castor Oil Based Biothiol as a Highly Stable and Self-Initiated Oligomer for Photoinitiator-Free UV Coatings. ACS Sustain. Chem. Eng. 2017, 5, 376–381. [Google Scholar] [CrossRef]
- Şeker, H.; Çakmakçi, E. Fully Bio-based Thiol-ene Photocured Thermosets from Isosorbide and Tung Oil. J. Polym. Sci. 2020, 58, 1105–1114. [Google Scholar] [CrossRef]
- Sölle, B.; Reisinger, D.; Heupl, S.; Jelinek, A.; Schlögl, S.; Rossegger, E. Reshapable Bio-Based Thiol-Ene Vitrimers for Nanoimprint Lithography: Advanced Covalent Adaptability for Tunable Surface Properties. React. Funct. Polym. 2024, 202, 105972. [Google Scholar] [CrossRef]
- Breloy, L.; Ouarabi, C.A.; Brosseau, A.; Dubot, P.; Brezova, V.; Abbad Andaloussi, S.; Malval, J.-P.; Versace, D.-L. β-Carotene/Limonene Derivatives/Eugenol: Green Synthesis of Antibacterial Coatings under Visible-Light Exposure. ACS Sustain. Chem. Eng. 2019, 7, 19591–19604. [Google Scholar] [CrossRef]
- Tehfe, M.-A.; Lalevée, J.; Gigmes, D.; Fouassier, J.P. Green Chemistry: Sunlight-Induced Cationic Polymerization of Renewable Epoxy Monomers Under Air. Macromolecules 2010, 43, 1364–1370. [Google Scholar] [CrossRef]
- De Oliveira, E.R.M.; Vieira, R.P. Synthesis and Characterization of Poly(Limonene) by Photoinduced Controlled Radical Polymerization. J. Polym. Environ. 2020, 28, 2931–2938. [Google Scholar] [CrossRef]
- Lai, H.; Zhang, J.; Xiao, P. Renewable Photopolymers: Transformation of Biomass Resources into Value-Added Products Under Light. ACS Sustain. Chem. Eng. 2023, 11, 16365–16406. [Google Scholar] [CrossRef]
- Chen, Z.; Chisholm, B.J.; Webster, D.C.; Zhang, Y.; Patel, S. Study of Epoxidized-Cardanol Containing Cationic UV Curable Materials. Prog. Org. Coat. 2009, 65, 246–250. [Google Scholar] [CrossRef]
- Hu, Y.; Feng, G.; Shang, Q.; Bo, C.; Jia, P.; Liu, C.; Xu, F.; Zhou, Y. Bio-Based Reactive Diluent Derived from Cardanol and Its Application in Polyurethane Acrylate (PUA) Coatings with High Performance. J. Coat. Technol. Res. 2019, 16, 499–509. [Google Scholar] [CrossRef]
- Hu, Y.; Shang, Q.; Tang, J.; Wang, C.; Zhang, F.; Jia, P.; Feng, G.; Wu, Q.; Liu, C.; Hu, L.; et al. Use of Cardanol-Based Acrylate as Reactive Diluent in UV-Curable Castor Oil-Based Polyurethane Acrylate Resins. Ind. Crops Prod. 2018, 117, 295–302. [Google Scholar] [CrossRef]
- Vitale, A.; Molina-Gutiérrez, S.; Li, W.S.J.; Caillol, S.; Ladmiral, V.; Lacroix-Desmazes, P.; Dalle Vacche, S. Biobased Composites by Photoinduced Polymerization of Cardanol Methacrylate with Microfibrillated Cellulose. Materials 2022, 15, 339. [Google Scholar] [CrossRef]
- Dalle Vacche, S.; Vitale, A.; Bongiovanni, R. Photocuring of Epoxidized Cardanol for Biobased Composites with Microfibrillated Cellulose. Molecules 2019, 24, 3858. [Google Scholar] [CrossRef]
- Noè, C.; Malburet, S.; Milani, E.; Bouvet-Marchand, A.; Graillot, A.; Sangermano, M. Cationic UV-curing of Epoxidized Cardanol Derivatives. Polym. Int. 2020, 69, 668–674. [Google Scholar] [CrossRef]
- Dalle Vacche, S.; Karunakaran, V.; Ronchetti, S.M.; Vitale, A.; Bongiovanni, R. Nanocellulose from Unbleached Hemp Fibers as a Filler for Biobased Photocured Composites with Epoxidized Cardanol. J. Compos. Sci. 2021, 5, 11. [Google Scholar] [CrossRef]
- Modjinou, T.; Versace, D.-L.; Abbad-Andaloussi, S.; Langlois, V.; Renard, E. Antibacterial and Antioxidant Photoinitiated Epoxy Co-Networks of Resorcinol and Eugenol Derivatives. Mater. Today Commun. 2017, 12, 19–28. [Google Scholar] [CrossRef]
- Modjinou, T.; Versace, D.-L.; Abbad-Andaloussi, S.; Langlois, V.; Renard, E. Enhancement of Biological Properties of Photoinduced Biobased Networks by Post-Functionalization with Antibacterial Molecule. ACS Sustain. Chem. Eng. 2019, 7, 2500–2507. [Google Scholar] [CrossRef]
- Nguyen, Q.; Nguyen, N.; Rios De Anda, A.; Nguyen, V.; Versace, D.; Langlois, V.; Naili, S.; Renard, E. Photocurable Bulk Epoxy Resins Based on Resorcinol Derivative through Cationic Polymerization. J. Appl. Polym. Sci. 2020, 137, 49051. [Google Scholar] [CrossRef]
- Ding, R.; Du, Y.; Goncalves, R.B.; Francis, L.F.; Reineke, T.M. Sustainable near UV-Curable Acrylates Based on Natural Phenolics for Stereolithography 3D Printing. Polym. Chem. 2019, 10, 1067–1077. [Google Scholar] [CrossRef]
- Navaruckiene, A.; Bridziuviene, D.; Raudoniene, V.; Rainosalo, E.; Ostrauskaite, J. Vanillin Acrylate-Based Thermo-Responsive Shape Memory Antimicrobial Photopolymers. Express Polym. Lett. 2022, 16, 279–295. [Google Scholar] [CrossRef]
- Navaruckiene, A.; Bridziuviene, D.; Raudoniene, V.; Rainosalo, E.; Ostrauskaite, J. Influence of Vanillin Acrylate-Based Resin Composition on Resin Photocuring Kinetics and Antimicrobial Properties of the Resulting Polymers. Materials 2021, 14, 653. [Google Scholar] [CrossRef]
- Navaruckiene, A.; Skliutas, E.; Kasetaite, S.; Rekštytė, S.; Raudoniene, V.; Bridziuviene, D.; Malinauskas, M.; Ostrauskaite, J. Vanillin Acrylate-Based Resins for Optical 3D Printing. Polymers 2020, 12, 397. [Google Scholar] [CrossRef]
- Li, W.S.J.; Negrell, C.; Ladmiral, V.; Lai-Kee-Him, J.; Bron, P.; Lacroix-Desmazes, P.; Joly-Duhamel, C.; Caillol, S. Cardanol-Based Polymer Latex by Radical Aqueous Miniemulsion Polymerization. Polym. Chem. 2018, 9, 2468–2477. [Google Scholar] [CrossRef]
- Li, W.S.J.; Cuminet, F.; Ladmiral, V.; Lacroix-Desmazes, P.; Caillol, S.; Negrell, C. Phosphonated and Methacrylated Biobased Cardanol Monomer: Synthesis, Characterization and Application. Prog. Org. Coat. 2021, 153, 106093. [Google Scholar] [CrossRef]
- Phalak, G.; Patil, D.; Patil, A.; Mhaske, S. Synthesis of Acrylated Cardanol Diphenyl Phosphate for UV Curable Flame-Retardant Coating Application. Eur. Polym. J. 2019, 121, 109320. [Google Scholar] [CrossRef]
- Hu, Y.; Shang, Q.; Wang, C.; Feng, G.; Liu, C.; Xu, F.; Zhou, Y. Renewable Epoxidized Cardanol-based Acrylate as a Reactive Diluent for UV-curable Resins. Polym. Adv. Technol. 2018, 29, 1852–1860. [Google Scholar] [CrossRef]
- Su, Y.; Zhang, S.; Zhou, X.; Yang, Z.; Yuan, T. A Novel Multi-Functional Bio-Based Reactive Diluent Derived from Cardanol for High Bio-Content UV-Curable Coatings Application. Prog. Org. Coat. 2020, 148, 105880. [Google Scholar] [CrossRef]
- Liu, R.; Zhang, X.; Zhu, J.; Liu, X.; Wang, Z.; Yan, J. UV-Curable Coatings from Multiarmed Cardanol-Based Acrylate Oligomers. ACS Sustain. Chem. Eng. 2015, 3, 1313–1320. [Google Scholar] [CrossRef]
- Liu, J.; Liu, R.; Zhang, X.; Li, Z.; Tang, H.; Liu, X. Preparation and Properties of UV-Curable Multi-Arms Cardanol-Based Acrylates. Prog. Org. Coat. 2016, 90, 126–131. [Google Scholar] [CrossRef]
- Li, J.-J.; Sun, J.; Xie, Y.-X.; Zhao, C.; Ma, H.-X.; Liu, C.-M. A Novel Star-Shaped, Cardanol-Based Bio-Prepolymer: Synthesis, UV Curing Characteristics and Properties of Cured Films. Polym. Degrad. Stab. 2018, 158, 124–135. [Google Scholar] [CrossRef]
- Liu, J.; Su, X.; Nan, Y.; Wu, Z.; Liu, R. Synthesis of Three Kinds of Multi-Armed Cardanol-Based Acrylic Resins Based on Different Routes for UV/EB-Cured Coatings. Prog. Org. Coat. 2021, 151, 106035. [Google Scholar] [CrossRef]
- Yuan, Y.; Chen, M.; Zhou, Q.; Liu, R. Synthesis and Properties of UV-Curable Cardanol-Based Acrylate Oligomers with Cyclotriphosphazene Core. J. Coat. Technol. Res. 2019, 16, 179–188. [Google Scholar] [CrossRef]
- Molina-Gutiérrez, S.; Dalle Vacche, S.; Vitale, A.; Ladmiral, V.; Caillol, S.; Bongiovanni, R.; Lacroix-Desmazes, P. Photoinduced Polymerization of Eugenol-Derived Methacrylates. Molecules 2020, 25, 3444. [Google Scholar] [CrossRef]
- Husić, I.; Müller, S.M.; Mahendran, A.R.; Sinic, J.; Jocham, C.; Lammer, H.; Griesser, T. Photocuring Behavior of Low Molecular Weight Biomass-Derived Methacrylate Monomers for Paper Coatings. J. Polym. Res. 2024, 31, 85. [Google Scholar] [CrossRef]
- Dai, J.; Jiang, Y.; Liu, X.; Wang, J.; Zhu, J. Synthesis of Eugenol-Based Multifunctional Monomers via a Thiol–Ene Reaction and Preparation of UV Curable Resins Together with Soybean Oil Derivatives. RSC Adv. 2016, 6, 17857–17866. [Google Scholar] [CrossRef]
- Yoshimura, T.; Shimasaki, T.; Teramoto, N.; Shibata, M. Bio-Based Polymer Networks by Thiol–Ene Photopolymerizations of Allyl-Etherified Eugenol Derivatives. Eur. Polym. J. 2015, 67, 397–408. [Google Scholar] [CrossRef]
- Miao, J.-T.; Yuan, L.; Guan, Q.; Liang, G.; Gu, A. Water-Phase Synthesis of a Biobased Allyl Compound for Building UV-Curable Flexible Thiol–Ene Polymer Networks with High Mechanical Strength and Transparency. ACS Sustain. Chem. Eng. 2018, 6, 7902–7909. [Google Scholar] [CrossRef]
- Lechuga Islas, V.D.; Acosta Ortiz, R.; Yañez Macías, R.; Hernández Jiménez, A.I. Quercetin Allylation and Thiol–Ene Click Photopolymerization to Produce Biobased Polymer Thermosets with Robust Thermomechanical Properties. Polym. Int. 2024, 73, 864–873. [Google Scholar] [CrossRef]
- Dalle Vacche, S.; Molina-Gutiérrez, S.; Ferraro, G.; Ladmiral, V.; Caillol, S.; Lacroix-Desmazes, P.; Leterrier, Y.; Bongiovanni, R. Biobased Composites from Eugenol- and Coumarin-Derived Methacrylic Latex and Hemp Nanocellulose: Cross-Linking via [2+2] Photocycloaddition and Barrier Properties. ACS Sustain. Chem. Eng. 2024, 12, 8741–8751. [Google Scholar] [CrossRef] [PubMed]
- Dalle Vacche, S.; Molina-Gutiérrez, S.; Ladmiral, V.; Caillol, S.; Bongiovanni, R.; Lacroix-Desmazes, P. Photochemical [2+2] Cycloaddition of Biobased Latexes for Composites with Microfibrillated Cellulose. Chem. Eng. Trans. 2022, 92, 277–282. [Google Scholar] [CrossRef]














| Sample | Linolenic Acid [%] | Linoleic Acid [%] | Oleic Acid [%] | SFA [%] | IV |
|---|---|---|---|---|---|
| SCO | 1.9 | 35.7 | 46.4 | 14.0 | 106 |
| WCO treated at pH = 3 and T = 25 °C | 1.8 | 17.0 | 63.7 | 15.7 | 88 |
| WCO treated at pH = 9 and T = 25 °C | 1.7 | 17.6 | 63.6 | 15.4 | 89 |
| Sources | Extracted Compound | Synthesized Monomer | Photoinduced Polymerization Process | References |
|---|---|---|---|---|
| Soybean | Soybean oil | Epoxidized soybean oil | Cationic | [112,113,116,129] |
| FRPCP | [119,144] | |||
| Acrylated epoxidized soybean oil | Free radical | [20,123,126,131,132,133,165] | ||
| Thiol-ene | [120] | |||
| Methacrylated epoxidized soybean oil | Free radical | [125] | ||
| Cinnamate esters of epoxidized soybean oil | [2+2] photocycloaddition | [122] | ||
| Flax | Linseed oil | Linseed oil | Thiol-ene | [136,137] |
| Epoxidized linseed oil | Cationic | [112,115] | ||
| FRPCP | [119] | |||
| Anionic thiol-epoxy | [120] | |||
| Acrylated epoxidized linseed oil | Thiol-ene | [142] | ||
| Ricinus | Castor oil | Epoxidized castor oil | Cationic | [114,117] |
| Acrylated castor oil | Free radical | [148] | ||
| Thiol-ene | [138] | |||
| Allylated castor oil | Thiol-ene | [138] | ||
| Castor oil-based thiol | Thiol-ene | [140] | ||
| Cotton | Cottonseed oil | Epoxidized cottonseed oil | Anionic thiol-epoxy | [121] |
| Rapeseed | Rapeseed oil | Acrylated rapeseed oil | Free radical | [127] |
| Vernonia | Vernonia oil | Vernonia oil | Cationic | [116] |
| Rose | Rose hip seed oil | Epoxidized rose hip seed oil | Cationic | [118] |
| Grape | Grapeseed oil | Epoxidized grapeseed oil | Cationic | [118] |
| Acrylated grapeseed oil | Free radical | [127] | ||
| Citrus | Limonene | Limonene | Free radical | [145] |
| 1,2-Limonene oxide | Cationic | [143] | ||
| Thiol-ene | [143] | |||
| Limonene dioxide | Cationic | [143] | ||
| FRPCP | [144] | |||
| Cashew nut | Cardanol | Epoxidized cardanol | Cationic | [88,148,151,152,153] |
| Acrylated cardanol | Free radical | [163,164,165,166,167,168,169,170] | ||
| Methacrylated cardanol | Free radical | [150,161,162] | ||
| Cloves Nutmeg Cinnamon Lignin | Eugenol | Epoxidized eugenol | Cationic | [154] |
| Eugenol diglycidyl ether | Cationic | [155] | ||
| Acrylated eugenol | Free radical | [124,157] | ||
| Methacrylated eugenol | Free radical | [135,171,172,173] | ||
| Allylated eugenol | Thiol-ene | [94,99,174,175] | ||
| Thiolated eugenol | Thiol-ene | [142] | ||
| Eugenol and coumarin methacrylic latex | [2+2] photocycloaddition | [177,178] | ||
| Vanilla beans Lignin | Vanillin | Glycidylated vanillin | Cationic | [117] |
| Acrylated vanillin | Free radical | [160] | ||
| Thiol-Michael/free radical | [158,159] | |||
| Methacrylated vanillin | Free radical | [157,160,172] | ||
| Thiol-Michael/free radical | [158,159] |
Disclaimer/Publisher’s Note: The statements, opinions and data contained in all publications are solely those of the individual author(s) and contributor(s) and not of MDPI and/or the editor(s). MDPI and/or the editor(s) disclaim responsibility for any injury to people or property resulting from any ideas, methods, instructions or products referred to in the content. |
© 2024 by the authors. Licensee MDPI, Basel, Switzerland. This article is an open access article distributed under the terms and conditions of the Creative Commons Attribution (CC BY) license (https://creativecommons.org/licenses/by/4.0/).
Share and Cite
Spessa, A.; Castiglione, F.; Vitale, A.; Bongiovanni, R.; Dalle Vacche, S. Fats and Oils as a Sustainable Source of Photopolymerizable Monomers. Polymers 2024, 16, 3570. https://doi.org/10.3390/polym16243570
Spessa A, Castiglione F, Vitale A, Bongiovanni R, Dalle Vacche S. Fats and Oils as a Sustainable Source of Photopolymerizable Monomers. Polymers. 2024; 16(24):3570. https://doi.org/10.3390/polym16243570
Chicago/Turabian StyleSpessa, Alberto, Franca Castiglione, Alessandra Vitale, Roberta Bongiovanni, and Sara Dalle Vacche. 2024. "Fats and Oils as a Sustainable Source of Photopolymerizable Monomers" Polymers 16, no. 24: 3570. https://doi.org/10.3390/polym16243570
APA StyleSpessa, A., Castiglione, F., Vitale, A., Bongiovanni, R., & Dalle Vacche, S. (2024). Fats and Oils as a Sustainable Source of Photopolymerizable Monomers. Polymers, 16(24), 3570. https://doi.org/10.3390/polym16243570

