Development of Bio-Based Benzoxazine V-fa/PEG/Carbon Black Composites: Thermal and Mechanical Properties
Abstract
1. Introduction
2. Materials and Methods
2.1. Chemicals and Materials
2.2. Preparation of V-fa/PEG Blends
2.3. Preparation of V-fa/PEG/CB Composites
2.4. Characterizations
3. Results and Discussion
3.1. Part I—Preparation of V-fa/PEG Polymer Blends
3.1.1. Synthesis and Characterizations of Bio-Based V-fa Benzoxazine
3.1.2. Synthesis and Characterizations of the Polymer Blends Between Bio-Based V-fa Benzoxazine and PEG
3.1.3. Water Solubility Behaviors of Polymer Blends
3.1.4. Thermal Properties Characterizations of the V-fa/PEG Blends
- Thermal Behaviors of Polymer Blends
3.1.5. Determination of Thermal Stability of the V-fa/PEG Blends
3.1.6. Summary of Part I—V-fa/PEG Blends
3.2. Part II—Characterizations of V-fa/PEG Polymer Composites
3.2.1. Water Solubility Behaviors of Polymer Composites
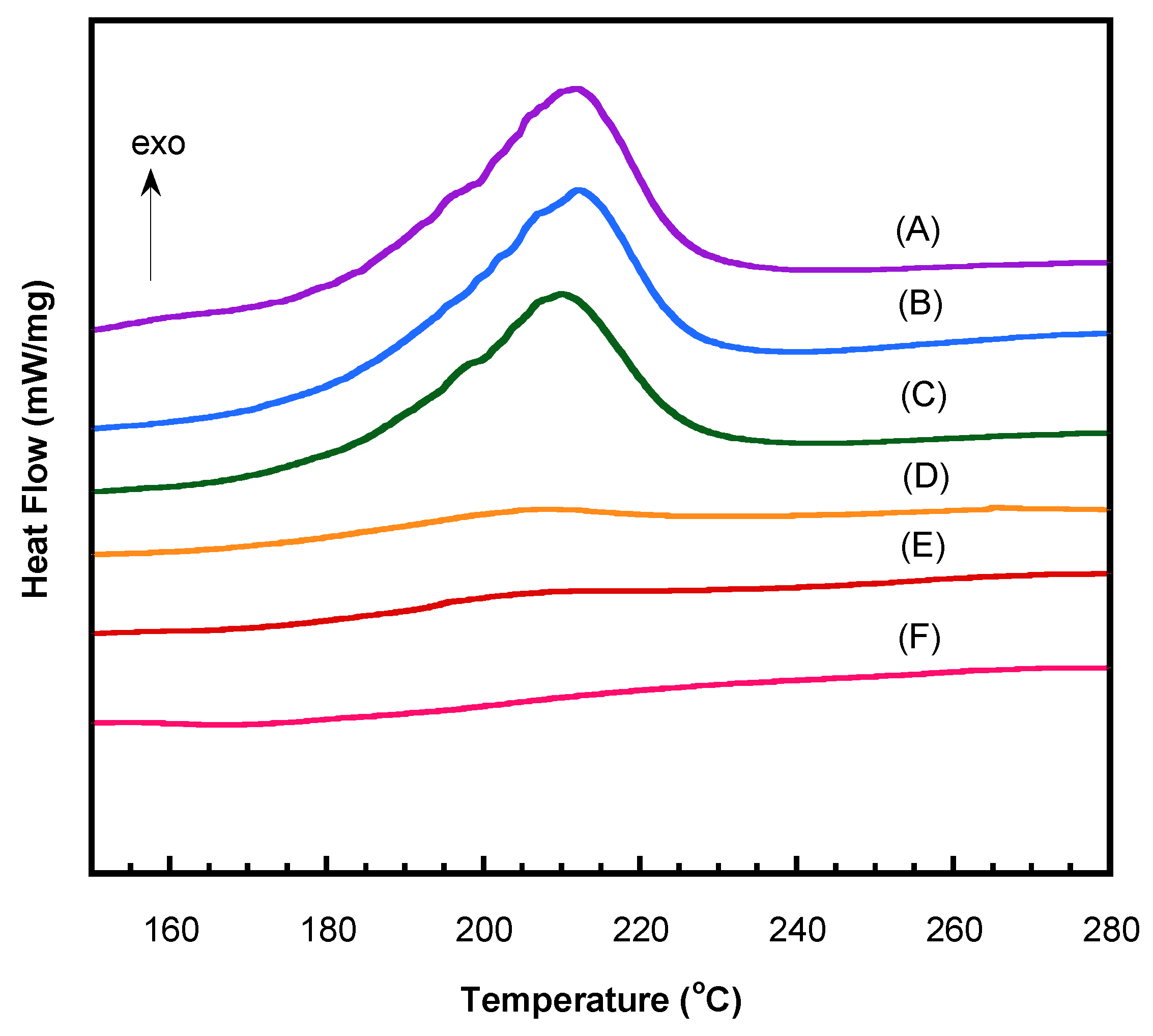
3.2.2. Determination of Thermal Behaviors of the V-fa/PEG/CB Composites
3.2.3. Determination of Thermal Stability of the V-fa/PEG/CB Composites
3.2.4. Mechanical Properties of V-fa/PEG/CB Composites
3.2.5. Morphology of Fracture Surface of V-fa/PEG Blends
4. Conclusions
Supplementary Materials
Author Contributions
Funding
Institutional Review Board Statement
Data Availability Statement
Conflicts of Interest
References
- Auvergne, R.; Caillol, S.; David, G.; Boutevin, B.; Pascault, J.P. Biobased Thermosetting Epoxy: Present and Future. Chem. Rev. 2014, 114, 1082–1115. [Google Scholar] [CrossRef] [PubMed]
- Leungpuangkaew, S.; Amornkitbamrung, L.; Phetnoi, N.; Sapcharoenkun, C.; Jubsilp, C.; Ekgasit, S.; Rimdusit, S. Magnetic- and light-responsive shape memory polymer nanocomposites from bio-based benzoxazine resin and iron oxide nanoparticles. Adv. Ind. Eng. Polym. Res. 2023, 6, 215–225. [Google Scholar] [CrossRef]
- Krishnasamy, B.; Arumugam, H.; Saravana Mani, K.; Muthukaruppan, A. Sustainable Strategies for Fully Biobased Polybenzoxazine Composites from Trifunctional Thymol and Biocarbons: Advancements in High-Dielectric and Antibacterial Corrosion Implementations. ACS Sustain. Chem. Eng. 2024, 12, 2225–2240. [Google Scholar] [CrossRef]
- Yang, R.; Yang, R.; Yang, S.; Zhang, K. Hydrogen Bonding-Rich Bio-Benzoxazine Resin Provides High-Performance Thermosets and Ultrahigh-Performance Composites. ACS Sustain. Chem. Eng. 2024, 12, 1728–1739. [Google Scholar] [CrossRef]
- Kiskan, B.; Ghosh, N.N.; Yagci, Y. Polybenzoxazine-based composites as high-performance materials. Polym. Int. 2011, 60, 167–177. [Google Scholar] [CrossRef]
- Zhu, Y.; Su, J.; Lin, R.; Li, P. Improving the Thermal Stability of Polybenzoxazines Through Incorporation of Eugenol-Based Benzoxazine. Macromol. Res. 2020, 28, 472–479. [Google Scholar] [CrossRef]
- Kiskan, B. Adapting benzoxazine chemistry for unconventional applications. React. Funct. Polym. 2018, 129, 76–88. [Google Scholar] [CrossRef]
- Hutanu, D. Recent Applications of Polyethylene Glycols (PEGs) and PEG Derivatives. Mod. Chem. Appl. 2014, 2, 132. [Google Scholar] [CrossRef]
- Bokobza, L. The Reinforcement of Elastomeric Networks by Fillers. Macromol. Mater. Eng. 2004, 289, 607–621. [Google Scholar] [CrossRef]
- Wang, M.-J. Effect of Polymer-Filler and Filler-Filler Interactions on Dynamic Properties of Filled Vulcanizates. Rubber Chem. Technol. 1998, 71, 520–589. [Google Scholar] [CrossRef]
- Prasomsin, W.; Parnklang, T.; Sapcharoenkun, C.; Tiptipakorn, S.; Rimdusit, S. Multiwalled Carbon Nanotube Reinforced Bio-Based Benzoxazine/Epoxy Composites with NIR-Laser Stimulated Shape Memory Effects. Nanomaterials 2019, 9, 881. [Google Scholar] [CrossRef]
- Rimdusit, S.; Liengvachiranon, C.; Tiptipakorn, S.; Jubsilp, C. Thermomechanical Characteristics of Benzoxazine-Urethane Copolymers and Their Carbon Fiber-Reinforced Composites. J. Appl. Polym. Sci. 2009, 113, 3823–3830. [Google Scholar] [CrossRef]
- ASTM D790-17; Standard Test Methods for Flexural Properties of Unreinforced and Reinforced Plastics and Electrical Insulating Materials. ASTM: West Conshohocken, PA, USA, 2017.
- Sini, N.K.; Bijwe, J.; Varma, I.K. Renewable benzoxazine monomer from Vanillin: Synthesis, characterization, and studies on curing behavior. J. Polym. Sci. Part A Polym. Chem. 2014, 52, 7–11. [Google Scholar] [CrossRef]
- Lin, C.-M.; Chen, C.-H.; Lin, C.-H.; Juang, T.-Y. High-performance bio-based benzoxazines derived from phosphinated biphenols and furfurylamine. Eur. Polym. J. 2018, 108, 48–56. [Google Scholar] [CrossRef]
- Tiptipakorn, S.; Chaipakdee, N.; Rimdusit, S.; Hemvichian, K.; Lertsarawut, P. Study on the Mechanical and Thermal Properties and Shape Memory Behaviors of Blends of Bio-Based Polybenzoxazine and Polycaprolactone with Different Molecular Weights. Polymers 2024, 16, 3391. [Google Scholar] [CrossRef]
- Tiptipakorn, S.; Angkanawarangkana, C.; Rimdusit, S.; Hemvichian, K.; Lertsarawut, P. Investigation of Multiple Shape Memory Behaviors, Thermal and Physical Properties of Benzoxazine Blended with Diamino Polysiloxane. Polymers 2023, 15, 3814. [Google Scholar] [CrossRef]
- Liu, C.; Chen, Q.Y. Chapter 2—Catalytic Accelerated Polymerization of Benzoxazines and Their Mechanistic Considerations. In Advanced and Emerging Polybenzoxazine Science and Technology; Ishida, H., Froimowicz, P., Eds.; Elsevier: Amsterdam, The Netherlands, 2017; pp. 9–21. [Google Scholar]
- Gulyuz, S.; Kiskan, B. Combination of Polyethylenimine and Vanillin-Based Benzoxazine as a Straightforward Self-Healable System with Excellent Film-Forming Ability. Macromolecules 2024, 57, 2078–2089. [Google Scholar] [CrossRef]
- Hummel, P.; Lechner, A.; Herrmann, K.; Biehl, P.; Rössel, C.; Wiedenhöft, L.; Schacher, F.; Retsch, M. Thermal Transport in Ampholytic Polymers: The Role of Hydrogen Bonding and Water Uptake. Macromolecules 2020, 53, 5528–5537. [Google Scholar] [CrossRef]
- Pekdemir, M.; Özen Öner, E.; Kök, M.; Cherkezova, A. Thermo-responsive shape memory polymer blends based on polylactic acid and polyethylene glycol. Macromolecular Research 2024. [Google Scholar] [CrossRef]
- Li, Z.; Hu, J.; Ma, L.; Liu, H. High glass transition temperature shape-memory materials: Hydroxyl-terminated polydimethylsiloxane-modified cyanate ester. J. Appl. Polym. Sci. 2020, 137, 48641. [Google Scholar] [CrossRef]
- Sringam, J.; Kajornprai, T.; Trongsatitkul, T.; Suppakarn, N. Shape Memory Performance and Microstructural Evolution in PLA/PEG Blends: Role of Plasticizer Content and Molecular Weight. Polymers 2025, 17, 225. [Google Scholar] [CrossRef]
- Mora, P.; Rimdusit, S.; Karagiannidis, P.; Srisorrachatr, U.; Jubsilp, C. Mechanical properties and curing kinetics of bio-based benzoxazine–epoxy copolymer for dental fiber post. Bioresour. Bioprocess. 2023, 10, 62. [Google Scholar] [CrossRef]
- Mohan, S.; Devaraju, S.; Sethuraman, K.; Alagar, M. Carbon Black-Polybenzoxazine Nanocomposites for High K Dielectric Applications. Polym. Compos. 2014, 35, 2121–2128. [Google Scholar] [CrossRef]
- Cruz, V.; Avila-Orta, C.; Espinoza-Martínez, A.; Mata, J.; Solís-Rosales, S.; Jalbout, A.; Medellín-Rodríguez, F.; Hsiao, B. Carbon nanotube surface-induced crystallization of polyethylene terephthalate (PET). Polymer 2013, 55, 642–650. [Google Scholar] [CrossRef]
- Xu, J.-Z.; Zhang, Z.-J.; Xu, H.; Chen, J.-B.; Ran, R.; Li, Z.-M. Highly Enhanced Crystallization Kinetics of Poly(l-lactic acid) by Poly(ethylene glycol) Grafted Graphene Oxide Simultaneously as Heterogeneous Nucleation Agent and Chain Mobility Promoter. Macromolecules 2015, 48, 4891–4900. [Google Scholar] [CrossRef]
- Jiang, Z.; Jin, J.; Xiao, C.; Li, X. Effect of high content of carbon black on non-isothermal crystallization behavior of poly(ethylene terephthalate). Polym. Bull. 2011, 67, 1633–1648. [Google Scholar] [CrossRef]
- Khalaf, M.; Hassan, D.; Almowali, A. Polymer Composite Effect of Crystallinity and Fillers on the Heat Capacity of Polyethylene. Iraqi J. Polym. 2003, 7, 83–92. [Google Scholar]
- Kim, J.; Kwak, S.; Hong, S.M.; Lee, J.R.; Takahara, A.; Seo, Y. Nonisothermal Crystallization Behaviors of Nanocomposites Prepared by In Situ Polymerization of High-Density Polyethylene on Multiwalled Carbon Nanotubes. Macromolecules 2010, 43, 10545–10553. [Google Scholar] [CrossRef]
- Jing, X.; Mi, H.-Y.; Peng, X.F.; Turng, L.-S. The Morphology, Properties, and Shape Memory Behavior of Polylactic Acid/Thermoplastic Polyurethane Blends. Polym. Eng. Sci. 2014, 55, 70–80. [Google Scholar] [CrossRef]
- Lu, X.; Liu, H.; Murugadoss, V.; Seok, I.; Huang, J.; Ryu, J.E.; Guo, Z. Polyethylene Glycol/Carbon Black Shape-Stable Phase Change Composites for Peak Load Regulating of Electric Power System and Corresponding Thermal Energy Storage. Eng. Sci. 2020, 9, 25–34. [Google Scholar] [CrossRef]
- Kim, H.; Macosko, C.W. Processing-property relationships of polycarbonate/graphene composites. Polymer 2009, 50, 3797–3809. [Google Scholar] [CrossRef]
- Santos, P.; Silva, A.P.; Reis, P.N.B. The Effect of Carbon Nanofibers on the Mechanical Performance of Epoxy-Based Composites: A Review. Polymers 2024, 16, 2152. [Google Scholar] [CrossRef]
- Radzi, A.M.; Zaki, S.A.; Hassan, M.Z.; Ilyas, R.A.; Jamaludin, K.R.; Daud, M.Y.; Aziz, S.a.A. Bamboo-Fiber-Reinforced Thermoset and Thermoplastic Polymer Composites: A Review of Properties, Fabrication, and Potential Applications. Polymers 2022, 14, 1387. [Google Scholar] [CrossRef] [PubMed]
- Deveci, S.; Antony, N.; Eryigit, B. Effect of carbon black distribution on the properties of polyethylene pipes—Part 1: Degradation of post yield mechanical properties and fracture surface analyses. Polym. Degrad. Stab. 2018, 148, 75–85. [Google Scholar] [CrossRef]
- Li, Y.; Li, D.; Cheng, H.; Han, C.; Xiao, L. Morphology and physical properties of composites based on high-density polyethylene/propylene-ethylene random copolymers blends and carbon black. Polym. Test. 2023, 123, 108050. [Google Scholar] [CrossRef]













| Curing Conditions of V-fa Monomer at Different Temperatures | Curing Enthalpy (∆H, J/g) | Degree of Polymerization (% Conversion) |
|---|---|---|
| Uncured V-fa monomer | 28 | 0 |
| 130 °C /1 h | 24 | 16 |
| 130 °C /1 h + 150 °C/1 h | 23 | 18 |
| 130 °C /1 h + 150 °C/1 h + 170 °C/2 h | 3 | 88 |
| 130 °C/1 h + 150 °C/1 h + 170 °C/2 h + 180 °C/1 h | 2 | 94 |
| 130 °C/1 h + 150 °C/1 h + 170 °C/2 h + 180 °C/2 h | 0 | 100 |
| PEG Content (wt%) | Maximum Decomposition Temperature (Tdmax) (°C) | ||
|---|---|---|---|
| PEG (4k) | PEG (8k) | PEG (20k) | |
| pure V-fa polymer | 405.7 | 405.7 | 405.7 |
| 50 | 417.0 | 419.0 | 416.3 |
| 70 | 420.0 | 421.0 | 420.0 |
| 80 | 420.0 | 419.0 | 419.0 |
| 90 | 420.0 | 421.0 | 421.0 |
| 95 | 419.0 | 419.7 | 418.3 |
| pure PEG polymer | 423.0 | 424.0 | 422.0 |
| PEG Contents (wt%) | Char Yield 800 °C (%) | ||
|---|---|---|---|
| PEG (4k) | PEG (8k) | PEG (4k) | |
| pure V-fa polymer | 58 | 58 | 58 |
| 50 | 25 | 25 | 25 |
| 70 | 15 | 14 | 13 |
| 80 | 9 | 11 | 11 |
| 90 | 6 | 5 | 4 |
| 95 | 2 | 2 | 2 |
| pure PEG polymer | 0 | 0 | 0 |
| 8k PEG Content (wt%) | CB Content (phr) | Tm (°C) | ∆Hm (J/g) | Tc (°C) | ∆Hc (J/g) | Tg (°C) |
|---|---|---|---|---|---|---|
| 70 | 0 | 70 | 192 | 34 | 146 | –53 |
| 80 | 0 | 70 | 207 | 32 | 166 | –53 |
| 80 | 5 | 71 | 188 | 34 | 161 | –53 |
| 80 | 10 | 72 | 173 | 35 | 148 | –52 |
| 80 | 20 | 83 | 156 | 26 | 140 | –48 |
| 90 | 0 | 70 | 209 | 32 | 184 | –52 |
| PEG Content (wt%) | 70 | 80 | 90 | ||||||||||||
|---|---|---|---|---|---|---|---|---|---|---|---|---|---|---|---|
| CB Content (phr) | 0 | 5 | 10 | 15 | 20 | 0 | 5 | 10 | 15 | 20 | 0 | 5 | 10 | 15 | 20 |
| (Tdmax) (°C) | 421 | 420 | 419 | 416 | 414 | 419 | 416 | 416 | 416 | 416 | 419 | 418 | 417 | 417 | 417 |
| Char yield 800 °C (%) | 14 | 17 | 22 | 26 | 28 | 10 | 11 | 18 | 23 | 23 | 5 | 11 | 15 | 19 | 21 |
Disclaimer/Publisher’s Note: The statements, opinions and data contained in all publications are solely those of the individual author(s) and contributor(s) and not of MDPI and/or the editor(s). MDPI and/or the editor(s) disclaim responsibility for any injury to people or property resulting from any ideas, methods, instructions or products referred to in the content. |
© 2025 by the authors. Licensee MDPI, Basel, Switzerland. This article is an open access article distributed under the terms and conditions of the Creative Commons Attribution (CC BY) license (https://creativecommons.org/licenses/by/4.0/).
Share and Cite
Chaiwichian, N.; Saelee, C.; Kuttiyawong, K.; Rimdusit, S.; Hemvichian, K.; Lertsarawut, P.; Tiptipakorn, S. Development of Bio-Based Benzoxazine V-fa/PEG/Carbon Black Composites: Thermal and Mechanical Properties. Polymers 2025, 17, 2776. https://doi.org/10.3390/polym17202776
Chaiwichian N, Saelee C, Kuttiyawong K, Rimdusit S, Hemvichian K, Lertsarawut P, Tiptipakorn S. Development of Bio-Based Benzoxazine V-fa/PEG/Carbon Black Composites: Thermal and Mechanical Properties. Polymers. 2025; 17(20):2776. https://doi.org/10.3390/polym17202776
Chicago/Turabian StyleChaiwichian, Nattapon, Chaitawat Saelee, Kamontip Kuttiyawong, Sarawut Rimdusit, Kasinee Hemvichian, Pattra Lertsarawut, and Sunan Tiptipakorn. 2025. "Development of Bio-Based Benzoxazine V-fa/PEG/Carbon Black Composites: Thermal and Mechanical Properties" Polymers 17, no. 20: 2776. https://doi.org/10.3390/polym17202776
APA StyleChaiwichian, N., Saelee, C., Kuttiyawong, K., Rimdusit, S., Hemvichian, K., Lertsarawut, P., & Tiptipakorn, S. (2025). Development of Bio-Based Benzoxazine V-fa/PEG/Carbon Black Composites: Thermal and Mechanical Properties. Polymers, 17(20), 2776. https://doi.org/10.3390/polym17202776

