Factors Controlling Soil Organic Carbon Sequestration of Highland Agricultural Areas in the Mae Chaem Basin, Northern Thailand
Abstract
1. Introduction
2. Materials and Methods
2.1. Study Area
2.2. Soil Sampling and Analysis
2.3. Estimating Soil Organic Carbon Density (SOCD)
2.4. Management Practices
2.5. Statistical Analysis
3. Results
3.1. Soil Properties, Management Practices, and Top SOCD in Agricultural Highland Areas
3.2. Relationships Between Top SOCD and Elevation
3.3. Relationships Between Top SOCD and Chemical Fertilizers
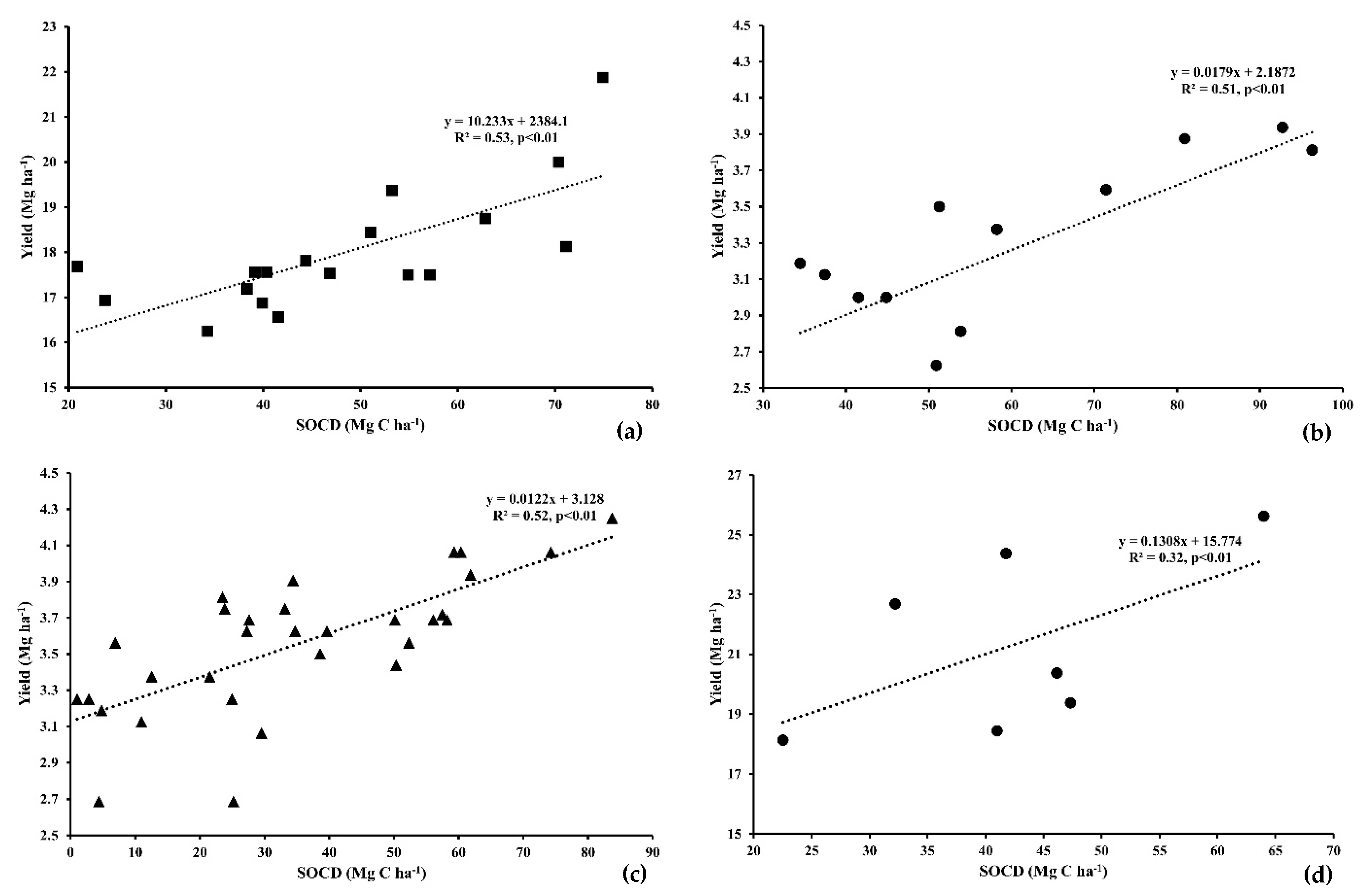
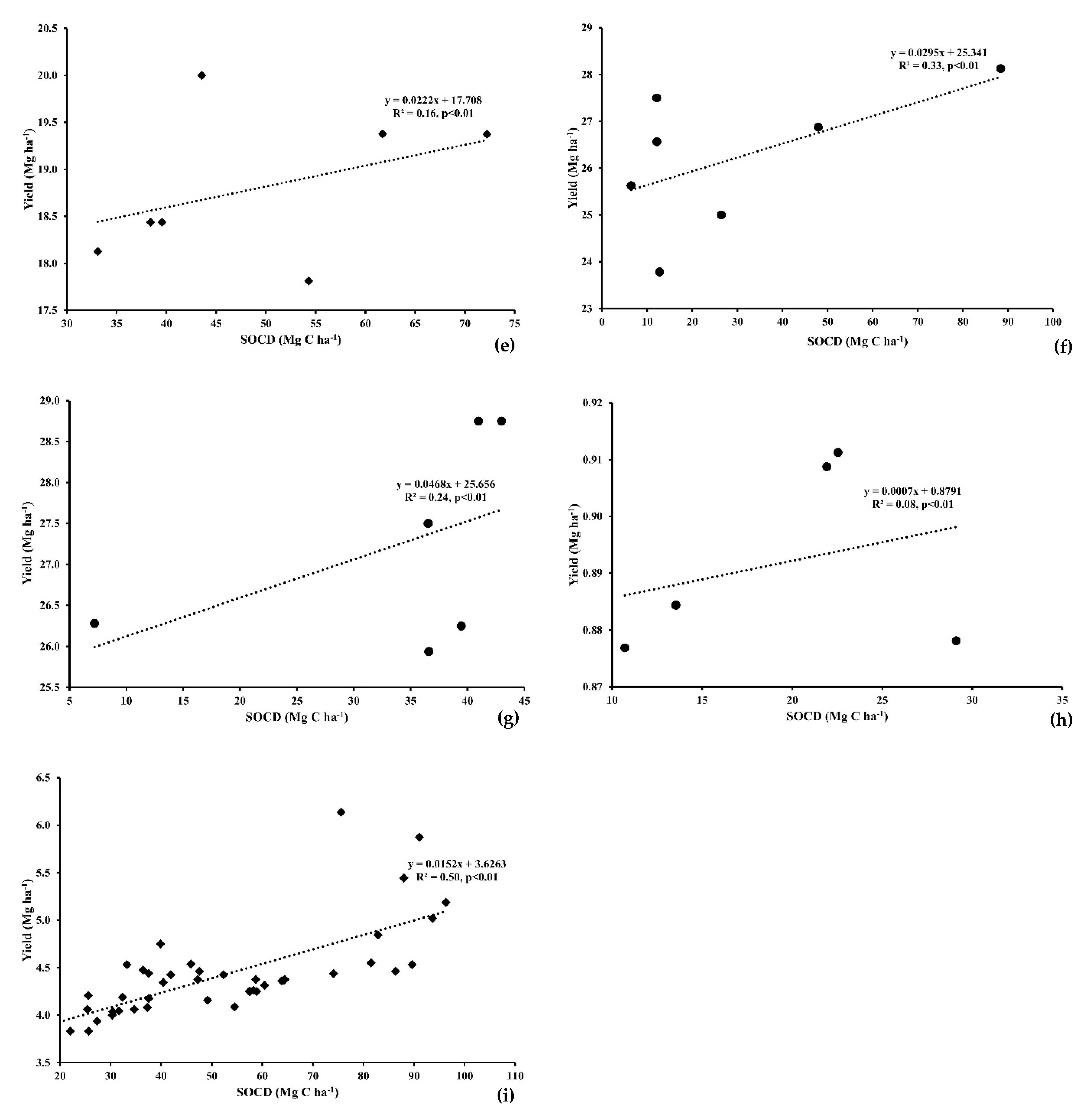
3.4. Relationships Between Top SOCD and Crop Yields
3.5. Top SOCD and Crop Yields Under Different Tillage Methods
3.6. Factors Controlling Top SOCD and Crop Yield in Highland Agricultural Areas
4. Discussion
4.1. Environmental Factors Affecting Top SOCD in Highland Agricultural Areas
4.2. Effect of Burning Crop Residues on Top SOCD
4.3. Effects of Physical and Chemical Soil Properties on Top SOCD in Highland Agricultural Areas
4.4. Effects of Fertilizers on Top SOCD
4.5. Effects of Tillage on Top SOCD
4.6. Effects of Top SOCD and Crop Yields
5. Conclusion
Author Contributions
Funding
Acknowledgments
Conflicts of Interest
References
- Girmay, G.; Singh, B.R.; Mitiku, H.; Borresen, T.; Lal, R. Carbon stocks in Ethiopian soils in relation to land use and soil management. Land Degrad. Dev. 2008, 19, 351–367. [Google Scholar] [CrossRef]
- Sonneveld, B.G.J.S.; Keyzer, M.A.; Ndiaye, D. Quantifying the impact of land degradation on crop production: The case of Senegal. Solid Earth. 2016, 7, 93–103. [Google Scholar] [CrossRef]
- Tiessen, H.; Cuevas, E.; Chacon, P. The role of soil organic matter in sustaining soil fertility. Nature 1994, 371, 783–785. [Google Scholar] [CrossRef]
- Gami, S.K.; Lauren, J.G.; Duxbury, J.M. Soil organic carbon and nitrogen stocks in Nepal long-term soil fertility experiments. Soil Tillage Res. 2009, 106, 95–103. [Google Scholar] [CrossRef]
- Quijano, L.; Oost, K.V.; Nadeu, E.; Gaspar, L.; Navas, A. Modelling the effect of land management changes on soil organic carbon stocks in a Mediterranean cultivated field. Land Degrad. Dev. 2017, 28, 515–523. [Google Scholar] [CrossRef]
- Lal, R. Soil carbon sequestration impacts on global climate change and food security. Science 2004, 304, 1623–1627. [Google Scholar] [CrossRef] [PubMed]
- Fan, M.; Cao, J.; Wei, W.; Zhang, F.; Su, Y. Managing soil organic carbon for advancing food security and strengthening ecosystem services in China. In Ecosystem Services and Carbon Sequestration in the Biosphere; Springer: Dordrecht, The Netherland, 2013; pp. 419–429. [Google Scholar] [CrossRef]
- Bationo, A.; Kihara, J.; Vanlauwe, B.; Waswa, B.; Kimetu, J. Soil organic carbon dynamics functions, and management in West African agro-ecosystems. Agric. Syst. 2007, 94, 13–25. [Google Scholar] [CrossRef]
- Pan, G.X.; Smith, P.; Pan, W.N. The role of soil organic matter in maintaining the productivity and yield stability of cereals in China. Agric. Ecosyst. Environ. 2009, 129, 344–348. [Google Scholar] [CrossRef]
- Manlay, R.J.; Feller, C.; Swift, M.J. Historical evolution of soil organic matter concepts and their relationships with the fertility and sustainability of cropping systems. Agric. Ecosyst. Environ. 2007, 119, 217–233. [Google Scholar] [CrossRef]
- Brock, C.; Fliessbach, A.; Oberholzer, H.R.; Schulz, F.; Wiesinger, K.; Reinicke, F.; Koch, W.; Pallutt, B.; Dittman, B.; Zimmer, J.; et al. Relation between soil organic matter and yield levels of nonlegume crops in organic and conventional farming systems. J. Plant Nutr. Soil Sci. 2011, 174, 568–575. [Google Scholar] [CrossRef]
- Seremesic, S.; Milosev, D.; Djalovic, I.; Zeremski, T.; Ninkov, J. Management of soil organic carbon in maintaining soil productivity and yield stability of winter wheat. Plant Soil Environ. 2011, 57, 216–221. [Google Scholar] [CrossRef]
- Lybrand, R.A.; Rasmussen, C. Quantifying climate and landscape position controls on soil development in semiarid ecosystems. Soil Sci. Soc. Am. J. Abstr. Pedol. 2015, 79, 104–116. [Google Scholar] [CrossRef]
- Jobbágy, E.G.; Jackson, R.B. The vertical distribution of soil organic carbon and its relation to climate and vegetation. Ecol. Appl. 2000, 10, 423–436. [Google Scholar] [CrossRef]
- Griffiths, R.P.; Madritch, M.D.; Swanson, A.K. The effects of topography on forest soil characteristics in the Oregon Cascade Mountains (USA): Implications for the effects of climate change on soil properties. Ecol. Manag. 2009, 257, 1–7. [Google Scholar] [CrossRef]
- Longbottom, T.L.; Townsend-Small, A.; Owen, L.A.; Murari, M.K. Climatic and topographic controls on soil organic matter storage and dynamics in the Indian Himalaya: Potential carbon cycle–climate change feedbacks. CATENA 2014, 119, 125–135. [Google Scholar] [CrossRef]
- Nayak, A.; Gangwar, B.; Shukla, A.K.; Mazumdar, S.P.; Kumar, A.J.; Raja, R.; Kumar, A.; Kumar, V.; Mohan, U. Long-term effect of different integrated nutrient management on soil organic carbon and its fractions and sustainability of rice–wheat system in indo Gangetic Plains of India. Field Crop. Res. 2012, 127, 129–139. [Google Scholar] [CrossRef]
- Biddoccu, M.; Zecca, O.; Audisio, C.; Godone, F.; Barmaz, A.; Cavallo, E. Assessment of long-term soil erosion in a mountain vineyard, Aosta Valley (NW Italy). Land Degrad. Dev. 2018, 29, 617–629. [Google Scholar] [CrossRef]
- Wu, R.; Tiessen, H. Effect of land use on soil degradation in Alpine grassland soil, China. Soil Sci. Soc. Am. J. 2002, 66, 1648–1655. [Google Scholar] [CrossRef]
- Dagnew, D.C.; Guzman, C.D.; Akal, A.T.; Tebebu, T.Y.; Zegeye, A.D.; Mekuria, W.; Tilahun, S.A.; Steenhuis, T.S. Effects of land use on catchment run off and soil loss in the sub-humid Ethiopian highlands. Ecohydrol. Hydrobiol 2017, 17, 274–282. [Google Scholar]
- Arunrat, N.; Pumijumnong, N.; Sereenonchai, S. Air-Pollutant Emissions from Agricultural Burning in Mae Chaem Basin, Chiang Mai Province, Thailand. Atmosphere 2018, 9, 145. [Google Scholar] [CrossRef]
- Jaiarree, S.; Chidthaisong, A.; Tangtham, N.; Polprasert, C.; Sarobol, E.; Tyler, S.C. Soil Organic Carbon Loss and Turnover Resulting from Forest Conversion to Maize Fields in Eastern Thailand. Pedosphere 2011, 21, 581–590. [Google Scholar] [CrossRef]
- Bergstrom, D.W.; Monreal, C.M.; St Jacques, E. Influence of tillage practice on carbon sequestration is scale-dependent. Can. J. Soil Sci. 2001, 81, 63–70. [Google Scholar] [CrossRef][Green Version]
- Heenan, D.P.; Chan, K.Y.; Knight, P.G. Long-term impact of rotation, tillage and stubble management on the loss of soil organic carbon and nitrogen from a Chromic Luvisol. Soil Tillage Res. 2004, 76, 59–68. [Google Scholar] [CrossRef]
- Lal, R. Enhancing crop yields in the developing countries through restoration of the soil organic carbon pool in agricultural lands. Land Degrad. Dev. 2006, 17, 197–209. [Google Scholar] [CrossRef]
- Bi, L.D.; Zhang, B.; Liu, G.R.; Li, Z.H.; Liu, Y.R.; Ye, C.; Yu, X.C.; Lai, T.; Zhang, J.G.; Yin, J.M.; et al. Long-term effects of organic amendments on the rice yields for double rice cropping systems in subtropical China. Agric. Ecosyst. Environ. 2009, 129, 534–541. [Google Scholar] [CrossRef]
- Yan, X.; Zhou, H.; Zhu, Q.H.; Wang, X.F.; Zhang, Y.Z.; Yu, X.C.; Peng, X. Carbon sequestration efficiency in paddy soil and upland soil under long-term fertilization in southern China. Soil Tillage Res. 2013, 130, 42–51. [Google Scholar] [CrossRef]
- Arunrat, N.; Pumijumnong, N.; Hatano, R. Practices sustaining soil organic matter and rice yield in a tropical monsoon region. Soil Sci. Plant Nutr. 2017, 63, 274–287. [Google Scholar] [CrossRef]
- Sun, W.J.; Huang, Y.; Zhang, W.; Yu, Y.Q. Carbon sequestration and its potential in agricultural soils of China, Global Biogeochem. Cycles 2010, 24, GB3001. [Google Scholar] [CrossRef]
- Veldkamp, E.; Becker, A.; Schwendenmann, L.; Clark, D.A.; Schulte-Bisping, H. Substantial labile carbon stocks and microbial activity in deep weathered soils below a tropical wet forest. Glob. Chang. Biol. 2003, 9, 1171–1184. [Google Scholar] [CrossRef]
- Gao, J.F.; Pan, G.X.; Jiang, X.S.; Pan, J.J.; Zhuang, D.F. Land-use induced changes in topsoil organic carbon stock of paddy fields using MODIS and TM/ETM analysis: A case study of Wujiang County, China. J. Environ. Sci. 2008, 20, 852–858. [Google Scholar] [CrossRef]
- Wangpakapattanawong, P. Ecological studies of reduced forest-fallow shifting cultivation of Karen people in Mae Chaem watershed, Northern Thailand. In Proceedings of the Symposium on 17th WCSS, Chiang Mai, Thailand, 14–17 August 2002. [Google Scholar]
- Kuraji, K.; Punyatrong, K.; Suzuki, M. Altitudinal increase in rainfall in the Mae Chaem watershed, Thailand. J. Meteorol. Soc. Jpn. Ser. 2001, 79, 353–363. [Google Scholar] [CrossRef][Green Version]
- Larpkerna, P.; Eriksen, M.; Waiboonya, P. Diversity and Uses of Tree Species in the Deciduous Dipterocarp Forest, Mae Chaem District, Chiang Mai Province, Northern Thailand. Naresuan Univ. J. Sci. Technol. 2017, 25, 43–55. [Google Scholar]
- Dairaku, K.; Kuraji, K.; Suzuki, M.; Tangtham, N.; Jirasuktaveekul, W.; Punyatrong, K. The effect of rainfall duration and intensity on orographic rainfall enhancement in a mountainous area: A case study in the Mae Chaem watershed, Thailand. J. Jpn. Soc. Hydrol. Water Resour. 2000, 13, 57–68. [Google Scholar] [CrossRef][Green Version]
- Pholinta, M.; Panomtoranichagul, M.; Stahr, K. Increasing Fertilizer Use Efficiency, Availability of Phosphorus and Crop yield in Furrow Cultivation for Sustainable Agriculture on Sloping Land. Natural Resource Management and Rural Development. In Proceedings of the Conference on International Research on Food Security, Bonn, Germany, 5–7 October 2011. [Google Scholar]
- Mae Chaem Watershed Research Station. Mae Chaem Watershed. 2010. Available online: http://www.dnp.go.th/watershed/research/mj_station.htm (accessed on 25 June 2018).
- United States Department of Agriculture (USDA) National Soil Survey Center. 2004. Available online: https://www.nrcs.usda.gov/Internet/FSE_DOCUMENTS/nrcseprd1026807.pdf (accessed on 10 May 2018).
- Spinelli, R.; Magagnotti, N.; Cavallo, E.; Giorgio Capello, G.; Biddoccu, M. Reducing soil compaction after thinning work in agroforestry plantations. Agroforest Syst. 2019, 93, 1765–1779. [Google Scholar] [CrossRef]
- Walkley, A.; Black, J.A. An examination of the dichormate method for determining. Soil organic matter and a proposed modification of the chromic acid titration method. Soil Science 1934, 37, 29–38. [Google Scholar] [CrossRef]
- Zhang, Y.; Zhao, Y.C.; Shi, X.Z.; Lu, X.X.; Yu, D.S.; Wang, H.J.; Sun, W.X.; Darilek, J.L. Variation of soil organic carbon estimates in mountain regions: A case study from Southwest China. Geoderma 2008, 146, 449–456. [Google Scholar] [CrossRef]
- Bai, S.B.; Wang, J.; Lu, G.N.; Zhou, P.G.; Hou, S.S.; Xu, S.N. GIS-based logistic regression for land slide susceptibility mapping of the Zhongxian segment in the three Gorges area China. Geomorphology 2010, 115, 23–31. [Google Scholar] [CrossRef]
- Muñoz-Rojas, M.; Jordán, A.; Zavala, L.M.; La Rosa, D.D.; Abd-Elmabod, S.K.; Anaya- Romero, M. Impact of land use and land cover changes on organic carbon stocks in Mediterranean soils (1956–2007). Land Degrad. Dev. 2012, 26, 168–179. [Google Scholar] [CrossRef]
- Ferreira, A.C.C.; Leite, L.F.C.; Araújo, A.S.F.; Eisenhauer, N. Land-use type effects on soil organic carbon and microbial properties in a semi-arid region of northeast Brazil. Land Degrad. Dev. 2014, 27, 171–178. [Google Scholar] [CrossRef]
- Bruun, T.B.; Elberling, B.; Neergaard, A.; Magid, J. Organic carbon dynamics in different soil types after conversion of forest to agriculture. Land Degrad. Dev. 2015, 26, 272–283. [Google Scholar] [CrossRef]
- Leifeld, J.; Bassin, S.; Fuhrer, J. Carbon stocks in Swiss agricultural soils predicted by land-use, soil characteristics, and altitude. Agric. Ecosyst. Environ. 2005, 105, 255–266. [Google Scholar] [CrossRef]
- Neufeldt, H. Carbon stocks and sequestration potentials of agricultural soils in the federal state of Baden-Württemberg, SW Germany. J. Plant Nutr. Soil Sci. 2005, 168, 202–211. [Google Scholar] [CrossRef]
- Wiesmeier, M.; Hübner, R.; Barthold, F.; Spörlein, P.; Geuß, U.; Hangen, E.; Reischl, A.; Schilling, B.; Lützow, M.; Kögel-Knabnerad, I. Amount, distribution and driving factors of soil organic carbon and nitrogen in cropland and grassland soils of southeast Germany (Bavaria). Agric. Ecosyst. Environ. 2013, 176, 39–52. [Google Scholar] [CrossRef]
- Zhao, B.H.; Li, Z.B.; Li, P.; Xu, G.; Gao, H.; Cheng, Y.; Chang, E.; Yuan, S.; Zhang, Y.; Feng, Z. Spatial distribution of soil organic carbon and its influencing factors under the condition of ecological construction in a hilly-gully watershed of the Loess Plateau, China. Geoderma 2017, 296, 10–17. [Google Scholar] [CrossRef]
- Kirschbaum, M.U.F. The temperature dependence of soil organic matter decomposition, and the effect of global warming on soil organic C storage. Soil Biol. Biochem. 1995, 27, 753–760. [Google Scholar] [CrossRef]
- Raich, J.W.; Russell, A.E.; Kitayama, K.; Parton, W.J.; Vitousek, P.M. Temperature influences carbon accumulation in moist tropical forests. Ecology 2006, 87, 76–87. [Google Scholar] [CrossRef]
- Liu, Z.; Shao Ma Wang, Y. Effect of environmental factors on regional soil organic carbon stocks across the Loess Plateau region, China. Agric. Ecosyst. Environ. 2011, 142, 184–194. [Google Scholar] [CrossRef]
- Pabst, H.; Gerschlauer, F.; Kiese, R.; Kuzyakov, Y. Land Use and Precipitation Affect Organic and Microbial Carbon Stocks and the Specific Metabolic Quotient in Soils of Eleven Ecosystems of Mt. Kilimanjaro, Tanzania. Land Degrad. Dev. 2016, 27, 592–602. [Google Scholar] [CrossRef]
- Cinzia, F.; Christianp, G.; Randallk, K.; Carl, T.; Gary, K.; Martin, J.; Christopher, B.; Douglas, M. Temperature and vegetation effects on soil organic carbon quality along a forested mean annual temperature gradient in North America. Glob. Chang. Biol. 2010, 14, 193–205. [Google Scholar] [CrossRef]
- Xu, X.; Luo, Y.Q.; Zhou, J.Z. Carbon quality and the temperature sensitivity of soil organic carbon decomposition in a tallgrass prairie. Soil Biol. Biochem. 2012, 50, 142–148. [Google Scholar] [CrossRef]
- Wu, Z.; Dijkstra, P.; Koch, G.W.; Peñuelas, J.; Hungate, B.A. Responses of terrestrial ecosystems to temperature and precipitation change: A meta - analysis of experimental manipulation. Glob. Chang. Biol. 2011, 17, 927–942. [Google Scholar] [CrossRef]
- Fang, C.; Smith, P.; Moncrieff, J.B.; Smith, J.U. Similar response of labile and resistant soil organic matter pools to changes in temperature. Nat. Int. J. Sci. 2005, 433, 57–59. [Google Scholar] [CrossRef]
- Hobley, E.; Wilson, B.; Wilkie, A.; Gray, J.; Koen, T. Drivers of soil organic Carbon storage and vertical distribution in Eastern Australia. Plant Soil 2015, 390, 111–127. [Google Scholar] [CrossRef]
- Qi, R.; Li, J.; Lin, Z.; Li, Z.; Li, Y.; Yang, X.; Zhao, B. Temperature effects on soil organic carbon, soil labile organic carbon fractions, and soil enzyme activities under long-term fertilization regimes. Appl. Soil Ecol. 2016, 102, 36–45. [Google Scholar] [CrossRef]
- Yang, Y.H.; Fang, J.Y.; Guo, D.L.; Ji, C.J.; Ma, W.H. Vertical patterns of soil carbon, nitrogen and carbon: Nitrogen stoichiometry in Tibetan grasslands. Biogeosci. Discuss 2010, 7, 1–24. [Google Scholar] [CrossRef]
- Florinsky, I. Digital Terrain Analysis in Soil Science and Geology; Academic Press: Cambridge, MA, USA, 2012. [Google Scholar] [CrossRef]
- Moorman, T.B.; Cambardella, C.A.; James, D.E.; Karlen, D.L.; Kramer, L.A. Quantification of tillage and landscape effects on soil carbon in small Iowa watersheds. Soil Tillage Res. 2004, 78, 225–236. [Google Scholar] [CrossRef]
- Tsui, C.C.; Tsai, C.C.; Chen, Z.S. Soil organic carbon stocks in relation to elevation gradients in volcanic ash soils of Taiwan. Geoderma 2013, 209, 119–127. [Google Scholar] [CrossRef]
- Santín, C.; Doerr, S.H. Fire effects on soils: The human dimension. Phil. Trans. R. Soc. B 2016, 371, 20150171. [Google Scholar] [CrossRef] [PubMed]
- Knicker, H. How does fire affect the nature and stability of soil organic nitrogen and carbon? A review. Biogeochemistry 2007, 85, 91–118. [Google Scholar] [CrossRef]
- Santín, C.; Doerr, S.H.; Kane, E.S.; Masiello, C.A.; Ohlson, M.; de la Rosa, J.M.; Preston, C.M.; Dittmar, T. Towards a global assessment of pyrogenic carbon from vegetation fires. Glob. Chang. Biol. 2016, 22, 76–91. [Google Scholar] [CrossRef] [PubMed]
- Gonzalez-Perez, J.A.; Gonzalez-Vila, F.J.; Almendros, G.; Knicker, H. The effect of fire on soil organic matter—A review. Environ. Int. 2004, 30, 855–870. [Google Scholar] [CrossRef] [PubMed]
- Schmidt, M.W.I.; Noack, A.G. Black carbon in soils and sediments: Analysis, distribution, implications, and current challenges. Glob. Biogeochem. Cycles 2000, 14, 777–793. [Google Scholar] [CrossRef]
- Zhao, H.M.; Tong, D.Q.; Lin, Q.X.; Lu, X.G.; Wang, G.P. Effect of fires on soil organic carbon pool and mineralization in a Northeastern China wetland. Geoderma 2012, 189, 532–539. [Google Scholar] [CrossRef]
- Ando, K.; Shinjo, H.; Noro, Y.; Takenaka, S.; Miura, R.; Sokotela, S.B.; Funakawa, S. Short-term effects of fire intensity on soil organic matter and nutrient release after slash-and-burn in Eastern Province, Zambia. Soil Sci. Plant Nutr. 2014, 60, 173–182. [Google Scholar] [CrossRef]
- Duarte, R.M.; Wozniak, E.; Recondo, C.; Cabo, C.; Marquinez, J.; Fernandez, S. Estimation of surface roughness and stone cover in burnt soils using SAR images. CATENA 2008, 74, 264–272. [Google Scholar] [CrossRef]
- Pereira, P.; Cerdà, A.; Úbeda, X.; Mataix-Solera, J.; Martin, D.; Jordán, A.; Burguet, M. Spatial models for monitoring the spatio-temporal evolution of ashes after fire—A case study of a burnt grassland in Lithuania. Solid Earth 2013, 4, 153–165. [Google Scholar] [CrossRef]
- Martínez-Mena, M.; López, J.; Almagro, M.; Boix-Fayos, C.; Albaladejo, J. Effect of water erosion and cultivation on the soil carbon stock in a semiarid area of south-east Spain. Soil Tillage Res. 2008, 99, 119–129. [Google Scholar] [CrossRef]
- Wiedinymer, C.; Quayle, B.; Geron, C.; Belote, A.; Mckenzie, D.; Zhang, X.; O’Neill, S.; Wynne, K.K. Estimating emissions from fires in North America for air quality modeling. Atmos. Environ. 2006, 40, 3419–3432. [Google Scholar] [CrossRef]
- Hassink, J. Preservation of plant residues in soils differing in unsaturated protective capacity. Soil Sci. Soc. Am. J. Abstr. 1996, 60, 487–491. [Google Scholar] [CrossRef]
- Chen, H.; Li, X.; Hu, F.; Shi, W. Soil nitrous oxide emissions following crop residue addition: A meta-analysis. Glob. Chang. Biol. 2013, 19, 2956–2964. [Google Scholar] [CrossRef]
- Willaarts, B.A.; Oyonarte, C.; Muñoz-Rojas, M.; José Ibáñez, J.; Aguilera, P.A. Environmental factors controlling soil organic carbon stocks in two contrasting Mediterranean climatic areas of southern Spain. Land Degrad. Dev. 2016, 27, 603–611. [Google Scholar] [CrossRef]
- Zhao, L.P.; Sun, Y.J.; Zhang, X.P.; Yang, X.M.; Drury, C.F. Soil organic carbon in clay and silt sized particles in Chinese mollisols: Relationship to the predicted capacity. Geoderma 2006, 132, 315–323. [Google Scholar] [CrossRef]
- Masiello, C.A.; Chadwick, O.A.; Southon, J.; Torn, M.S.; Harden, J.W. Weathering controls on mechanisms of carbon storage in grassland soils. Global Biogeochemical Cycles 2004, 18, GB4023. [Google Scholar] [CrossRef]
- Doetterl, S.; Cornelis, J.T.; Six, J.; Bodé, S.; Opfergelt, S.; Boeckx, P.; Van Oost, K. Soil redistribution and weathering controlling the fate of geochemical and physical carbon stabilization mechanisms in soils of an eroding landscape. Biogeosciences 2015, 12, 1357–1371. [Google Scholar] [CrossRef]
- Yoo, K.; Amundson, R.; Heimsath, A.M.; Dietrich, W.E. Spatial patterns of soil organic carbon on hillslopes: Integrating geomorphic processes and the biological C cycle. Geoderma 2006, 130, 47–65. [Google Scholar] [CrossRef]
- Kumar, S.; Kumar, M.; Sheikh, M.A. Effect of Altitudes on Soil and Vegetation Characteristics of Pinus roxburghii Forest in Garhwal Himalaya. J. Adv. Lab. Res. Biol. 2010, 1, 130–133. [Google Scholar]
- Shimizu, M.; Limin, A.; Desyatkin, A.R.; Jin, T.; Mano, M.; Ono, K.; Miyata, A.; Hata, H.; Hatano, R. Effect of manure application on seasonal carbon fluxes in a temperate managed grassland in Southern Hokkaido, Japan. CATENA 2015, 133, 474–485. [Google Scholar] [CrossRef]
- Rasool, R.; Kukal, S.S.; Hira, G.S. Soil physical fertility and crop performance as affected by long term application of FYM and inorganic fertilizers in rice-wheat system. Soil Tillage Res. 2007, 96, 64–72. [Google Scholar] [CrossRef]
- Han, P.F.; Zhang, W.; Wang, G.C.; Sun, W.J.; Huang, Y. Changes in soil organic carbon in croplands subjected to fertilizer management: A global meta-analysis. Sci. Rep. 2016, 6, 27199. [Google Scholar] [CrossRef]
- Acquaah, G. Principles of Crop Production: Theory, Techniques, and Technology; Pearson Education, Inc.: Upper Saddle River, NJ, USA, 2002. [Google Scholar]
- Balesdent, J.; Chenu, C.; Balabane, M. Relationship of soil organic matter dynamics to physical protection and tillage. Soil Tillage Res. 2000, 53, 215–230. [Google Scholar] [CrossRef]
- Zibilske, L.M.; Bradford, J.M.; Smart, J.R. Conservation tillage induced changes in organic carbon, total nitrogen and available phosphorus in a semi-arid alkaline subtropical soil. Soil Till. Res. 2002, 66, 153–163. [Google Scholar] [CrossRef]
- Ogle, S.M.; Breidt, F.J.; Paustian, K. Agricultural management impacts on soil organic carbon storage under moist and dry climatic conditions of temperate and tropical regions. Biogeochemistry 2005, 72, 87–121. [Google Scholar] [CrossRef]
- Ogle, S.M.; Swan, A.; Paustian, K. No-till management impacts on crop productivity, carbon input and soil carbon sequestration. Agric. Ecosyst. Environ. 2012, 149, 37–49. [Google Scholar] [CrossRef]
- Cerdà, A.; Lavee, H.; Romero-Díaz, A.; Hooke, J.; Montanarella, L. Soil erosion and degradation on Mediterranean type ecosystems. Land Degrad. Dev. 2010, 21, 71–74. [Google Scholar] [CrossRef]
- Ziadat, F.M.; Taimeh, A.Y. Effect of rainfall intensity, slope and land use and antecedent soil moisture on soil erosion in an arid environment. Land Degrad. Dev. 2013, 24, 582–590. [Google Scholar] [CrossRef]
- Biddoccu, M.; Opsi, F.; Cavallo, E. Relationship between runoff and soil losses with rainfall characteristics and long-term soil management practices in a hilly vineyard (Piedmont, NW Italy). Soil Sci. Plant Nutr. 2014, 60, 92–99. [Google Scholar] [CrossRef]
- Bagagiolo, G.; Biddoccu, M.; Rabino, D.; Cavallo, E. Effects of rows arrangement, soil management, and rainfall characteristics on water and soil losses in Italian sloping vineyards. Environ. Res. 2018, 166, 690–704. [Google Scholar] [CrossRef]
- Yan, X.Y.; Gong, W. The role of chemical and organic fertilizers on yield, yield variability and carbon sequestration-results of a 19-year experiment. Plant Soil 2010, 331, 471–480. [Google Scholar] [CrossRef]
- Franzluebbers, A.J. Soil organic carbon sequestration and agricultural greenhouse gas emissions in the southeastern USA. Soil Tillage Res. 2005, 83, 120–147. [Google Scholar] [CrossRef]
- Shisanya, C.A.; Mucheru, M.W.; Mugendi, D.N.; Kung’U, J.B. Effect of organic and inorganic nutrient sources on soil mineral nitrogen and maize yields in central highlands of Kenya. Soil Tillage Res. 2009, 103, 239–246. [Google Scholar] [CrossRef]
- Huang, S.; Peng, X.; Huang, Q.; Zhang, W. Soil aggregation and organic carbon fractions affected by long-term fertilization in a red soil of subtropical China. Geoderma 2010, 154, 364–369. [Google Scholar] [CrossRef]
- Zhang, W.J.; Wang, X.J.; Xu, M.G.; Huang, S.M.; Liu, H.; Peng, C. Soil organic carbon dynamics under long-term fertilizations in arable land of northern China. Biogeosciences 2010, 7, 409–425. [Google Scholar] [CrossRef]
- Nyamadzawo, G.; Wuta, M.; Nyamangara, J.; Nyamugafata, P.; Tendayi, T. Burning, biomass removal and tillage effects on soil organic carbon and nutrients in seasonal wetlands (Dambos) of Chiota smallholder farming area, Zimbabwe. Arch. Agron. Soil Sci. 2014, 60, 1411–1427. [Google Scholar] [CrossRef]
- Lal, R. Climate-resilient agriculture and soil organic carbon. Indian J. Agron. 2013, 58, 440–450. [Google Scholar]
- Qiu, J.; Wang, L.; Li, H.; Tang, H.; Li, C.; Ranst, E. Modeling the impacts of soil organic carbon content of croplands on crop yields in China. Sci. Agric. Sin. 2009, 42, 154–161. [Google Scholar] [CrossRef]
- Eghball, B.; Mielke, L.N.; McCallister, D.L.; Doran, J.W. Distribution of organic carbon and inorganic nitrogen in a soil under various tillage and crop sequences. J. Soil Water. Cons. 1994, 49, 201–205. [Google Scholar]
- Lu, F.; Wang, X.; Han, B.; Ouyang, Z.; Duan, X.; Zheng, H.; Miao, H. Soil carbon sequestrations by nitrogen fertilizer application, straw return and no-tillage in China’s cropland. Glob. Chang. Biol. 2009, 15, 281–305. [Google Scholar] [CrossRef]
- Tian, K.; Zhao, Y.; Xu, X.; Hai, N.; Huang, B.; Deng, W. Effects of long-term fertilization and residue management on soil organic carbon changes in paddy soils of China: A meta-analysis. Agric. Ecosyst. Environ. 2015, 204, 40–50. [Google Scholar] [CrossRef]
- Gattinger, A.; Muller, A.; Haeni, M.; Skinner, C.; Fliessbach, A.; Buchmann, N.; Mader, P.; Stolze, M.; Smith, P.; Scialabba, N.E.H.; et al. Enhanced top soil carbon stocks under organic farming. Proc. Natl. Acad. Sci. USA 2012, 109, 18226–18231. [Google Scholar] [CrossRef]
- Stan, V.; Fîntîneru, G.; Mihalache, M. Multicriteria analysis of the effects of field burning crop residues. Not. Boanicae Hort. Agrobot. Cluj-Napoca 2014, 42, 255–262. [Google Scholar] [CrossRef]









| Crop Type | Bulk Density (Mg m−3) | Sand (%) | Silt (%) | Clay (%) | Clay Plus Silt (%) | pH | Soil Moisture (%) | Soil Texture |
|---|---|---|---|---|---|---|---|---|
| Cabbage | 1.43 ± 0.18 | 47.0 ± 15.01 | 20.56 ± 5.56 | 32.44 ± 12.04 | 53.72 ± 14.01 | 5.54 ± 0.81 | 21.72 ± 11.68 | Sandy Clay Loam |
| Upland rice | 1.41 ± 0.20 | 49.0 ± 17.57 | 15.54 ± 7.40 | 35.46 ± 16.32 | 57.46 ± 20.23 | 5.42 ± 0.77 | 30.21 ± 10.01 | Sandy Clay |
| Lowland rice | 1.38 ± 0.16 | 58.0 ± 10.44 | 20.52 ± 7.28 | 21.48 ± 82.28 | 62.39 ± 15.53 | 5.40 ± 0.87 | 20.62 ± 11.36 | Sandy Clay Loam |
| Tomato | 1.35 ± 0.02 | 54.43 ± 12.07 | 20.57 ± 5.62 | 25.00 ± 82.31 | 45.57 ± 12.31 | 5.97 ± 0.82 | 8.64 ± 4.88 | Sandy Clay Loam |
| Strawberry | 1.39 ± 0.01 | 49.14 ± 12.54 | 20.29 ± 4.82 | 30.57 ± 82.64 | 50.86 ± 12.75 | 5.41 ± 0.79 | 19.26 ± 9.33 | Sandy Clay Loam |
| Potato | 1.54 ± 0.13 | 54.43 ± 14.89 | 20.57 ± 5.62 | 25.0 ± 79.49 | 45.57 ± 12.31 | 5.97 ± 0.82 | 8.64 ± 4.88 | Sandy Clay Loam |
| Japanese pumpkin | 1.26 ± 0.10 | 42.33 ± 11.15 | 20.0 ± 7.80 | 37.67 ± 81.06 | 57.67 ± 16.69 | 5.65 ± 0.78 | 6.23 ± 2.90 | Clay Loam |
| Cape gooseberry | 1.10 ± 1.08 | 52.8 ± 10.64 | 20.80 ± 5.40 | 26.40 ± 8.88 | 47.20 ± 10.64 | 5.58 ± 0.75 | 15.94 ± 8.57 | Sandy Clay Loam |
| Maize | 1.55 ± 0.16 | 40.42 ± 14.93 | 20.1 ± 6.41 | 39.51 ± 13.39 | 59.58 ± 14.93 | 5.42 ± 0.72 | 18.01 ± 11.39 | Clay Loam |
| Elevation | Bulk Density | Sand | Silt | Clay | Clay Plus Silt | pH | Soil Moisture | |
|---|---|---|---|---|---|---|---|---|
| SOCD | 0.522 ** | 0.210 * | −0.351 ** | 0.002 | 0.367 ** | 0.042 | 0.003 | 0.139 |
| Elevation | 1 | −0.176 * | −0.213 * | 0.043 | 0.203 * | −0.137 | 0.077 | 0.047 |
| Crop Type | Elevation (m a.s.l.) | SOCD (Mg C ha−1) | Yield (Mg ha−1) | N Fertilizer (kg ha−1) | P2O5 Fertilizer (kg ha−1) | K2O Fertilizer (kg ha−1) | Cattle Manure (Mg ha−1) | Tillage | Crop Residue Burning | |||
|---|---|---|---|---|---|---|---|---|---|---|---|---|
| Conventional | Minimum | No-Till | Burn | No Burn | ||||||||
| Cabbage | 1391 ± 96 | 48.05 ± 15.4 | 18.0 ± 0.18 | 55.52 ± 8.9 | 57.1 ± 3.9 | 42.3 ± 3.4 | - | √ | √ | √ | ||
| Upland rice | 1072 ± 157 | 58.71 ± 20.4 | 3.24 ± 0.5 | 15.12 ± 9.4 | 7.66 ± 2.0 | 4.34 ± 1.5 | 0.98 ± 0.5 | √ | √ | |||
| Lowland rice | 741 ± 254 | 35.21 ± 22.2 | 3.56 ± 0.4 | 32.67 ± 13.5 | 7.75 ± 3.5 | 13.5 ± 2.2 | - | √ | √ | |||
| Tomato | 1271 ± 268 | 42.14 ± 12.9 | 21.29 ± 3.0 | 46.0 ± 4.9 | 41.71 ± 7.7 | 55.37 ± 11.7 | 0.87 ± 0.3 | √ | √ | √ | ||
| Strawberry | 1436 ± 134 | 49.0 ± 14.2 | 18.8 ± 0.8 | 567.7 ± 77.6 | 363.27 ± 49.7 | 957.04 ± 57.2 | - | √ | √ | √ | ||
| Potato | 844 ± 164 | 29.45 ± 29.5 | 26.21 ± 1.5 | 218.75 ± 15.6 | 136.71 ± 26.3 | 195.14 ± 27.5 | 1.02 ± 0.6 | √ | √ | |||
| Japanese pumpkin | 1113 ± 121 | 34.0 ± 13.3 | 27.24 ± 1.3 | 395.3 ± 31.3 | 321.92 ± 48.5 | 245.42 ± 40.5 | - | √ | √ | |||
| Cape gooseberry | 927.8 ± 50 | 19.56 ± 7.4 | 0.89 ± 0.1 | 38.25 ± 3.1 | 38.0 ± 3.2 | 26.28 ± 3.2 | - | √ | √ | |||
| Maize | 880 ± 287 | 52.48 ± 22.1 | 4.43 ± 0.5 | 384.39 ± 161.8 | 261.16 ± 56.5 | 72.32 ± 21.6 | - | √ | √ | √ | ||
| Crop Type | Yield | SOCD |
|---|---|---|
| All sites (n = 138) | Y1 = 2.108 + 0.016(Elevation) − 0.127(SOCD) − 0.0187(Soil moisture) + 0.009(K2O fertilizer); R2 = 0.473 *** | Y2 = −42.846 + 0.044(Elevation) + 28.104(Bulk density) − 0.039(K2O fertilizer) + 0.039(N fertilizer); R2 = 0.478 *** |
| Cabbage (n = 18) | Y1 = 14.901 + 0.064(SOCD); R2 = 0.528 *** | Y2 = −171.999 + 0.582(N fertilizer) + 1.887(P2O5 fertilizer) + 1.894(K2O fertilizer); R2 = 0.844 *** |
| Upland rice (n = 13) | Y1 = 4.313 + 0.037(SOCD) − 2.290(Bulk density); R2 = 0.787 *** | Y2 = −134.638 + 56.173(Bulk density) +1.554(Clay) + 0.796(Soil moisture) + 0.713(Sand); R2 = 0.950 *** |
| Lowland rice (n = 31) | Y1 = 3.387 + 0.016(SOCD) − 0.001(Elevation); R2 = 0.600 *** | Y2 = −20.620 + 0.923(N fertilizer) − 0.529(Soil moisture) + 2.713(K2O fertilizer); R2 = 0.720 *** |
| Tomato (n = 7) | - | Y2 = −38.880 + 0.042(Elevation) + 0.674(P2O5 fertilizer); R2 = 0.949 *** |
| Strawberry (n = 7) | Y1 = 21.147 − 0.124(Soil moisture) − 0.051(Clay) + 0.04(P2O5 fertilizer); R2 = 0.998 *** | Y2 = −70.960 + 0.168(N fertilizer) + 0.068(P2O5 fertilizer); R2 = 0.982 *** |
| Potato (n = 7) | Y1 = 10.265 + 0.073(N fertilizer); R2 = 0.572 *** | Y2 = −104.677 + 0.159(Elevation); R2 = 0.776 *** |
| Japanese pumpkin (n = 6) | Y1 = 29.330 − 0.311(Soil moisture) − 0.027(Clay plus Silt) + 0.004(P2O5 fertilizer); R2 = 0.904 *** | Y2 = 65.858 − 1.595(Silt); R2 = 0.868 *** |
| Maize (n = 44) | Y1 = 4.080 + 0.021(SOCD) − 0.001(Elevation) + 0.001(N fertilizer) − 0.007(Clay plus Silt); R2 = 0.680 *** | Y2 = −6.447 + 0.054(Elevation) + 0.030(N fertilizer); R2 = 0.659 *** |
© 2020 by the authors. Licensee MDPI, Basel, Switzerland. This article is an open access article distributed under the terms and conditions of the Creative Commons Attribution (CC BY) license (http://creativecommons.org/licenses/by/4.0/).
Share and Cite
Arunrat, N.; Pumijumnong, N.; Sereenonchai, S.; Chareonwong, U. Factors Controlling Soil Organic Carbon Sequestration of Highland Agricultural Areas in the Mae Chaem Basin, Northern Thailand. Agronomy 2020, 10, 305. https://doi.org/10.3390/agronomy10020305
Arunrat N, Pumijumnong N, Sereenonchai S, Chareonwong U. Factors Controlling Soil Organic Carbon Sequestration of Highland Agricultural Areas in the Mae Chaem Basin, Northern Thailand. Agronomy. 2020; 10(2):305. https://doi.org/10.3390/agronomy10020305
Chicago/Turabian StyleArunrat, Noppol, Nathsuda Pumijumnong, Sukanya Sereenonchai, and Uthai Chareonwong. 2020. "Factors Controlling Soil Organic Carbon Sequestration of Highland Agricultural Areas in the Mae Chaem Basin, Northern Thailand" Agronomy 10, no. 2: 305. https://doi.org/10.3390/agronomy10020305
APA StyleArunrat, N., Pumijumnong, N., Sereenonchai, S., & Chareonwong, U. (2020). Factors Controlling Soil Organic Carbon Sequestration of Highland Agricultural Areas in the Mae Chaem Basin, Northern Thailand. Agronomy, 10(2), 305. https://doi.org/10.3390/agronomy10020305
