Coupling Remote Sensing Data and AquaCrop Model for Simulation of Winter Wheat Growth under Rainfed and Irrigated Conditions in a Mediterranean Environment
Abstract
:1. Introduction
2. Materials and Methods
2.1. Study Area and Field Trials
2.2. Field Observations and Measurements
2.3. Satellite Data and Vegetation Indices
2.4. AquaCrop Model
2.4.1. Model Description, Calibration, and Validation
2.4.2. Coupling of AquaCrop and Sentinel Data
2.4.3. Statistical Analysis
3. Results and Discussion
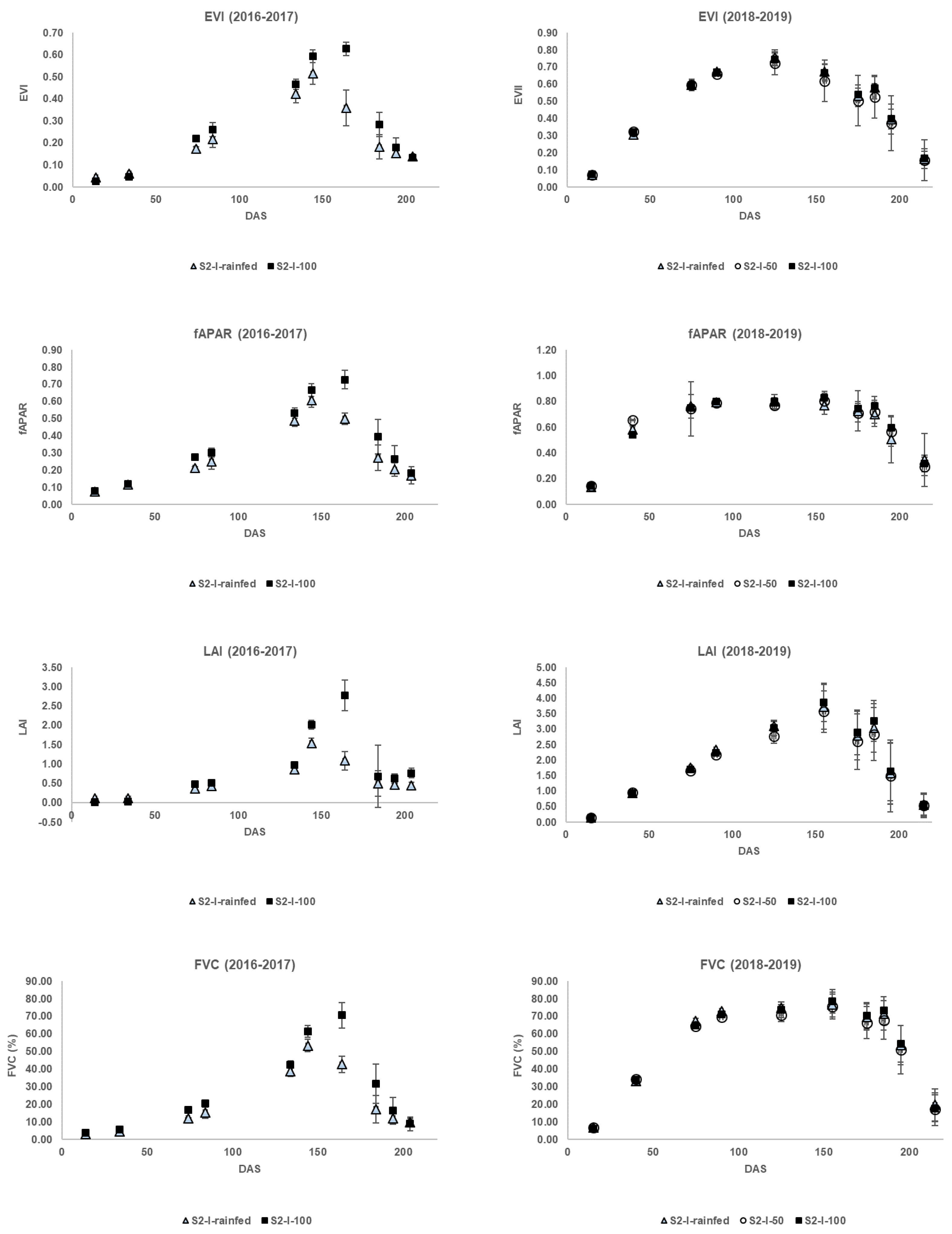
3.1. Relationship between the Sentinel 2—Vegetation Indices and Field Data
3.2. Performance of AquaCrop Model to Simulate Winter Wheat Growth and Yield under Different Water Inputs
3.2.1. AquaCrop Calibration
3.2.2. AquaCrop Validation
3.3. Results of S2-Derived CC Insertion in AquaCrop
4. Conclusions
Supplementary Materials
Author Contributions
Funding
Institutional Review Board Statement
Informed Consent Statement
Data Availability Statement
Conflicts of Interest
References
- Hubert, B.; Rosegrant, M.; Van Boekel, M.A.; Ortiz, R. The future of food: Scenarios for 2050. Crop. Sci. 2010, 50, 33–50. [Google Scholar] [CrossRef] [Green Version]
- Keating, B.A.; Carberry, P.S.; Bindraban, P.S.; Asseng, S.; Meinke, H.; Dixon, J. Eco-efficient agriculture: Concepts, challenges, and opportunities. Crop Sci. 2010, 50, 109–119. [Google Scholar] [CrossRef]
- FAO. Faostat-Trade/Crops and Livestock Products. 2016. Available online: http://faostat3.fao.org/browse/T/TP/E (accessed on 5 May 2016).
- Nabavi-Pelesaraei, A.; Hosseinzadeh-Bandbafha, H.; Qasemi-Kordkheili, P.; Kouchaki-Penchah, H.; Riahi-Dorcheh, F. Applying optimization techniques to improve of energy efficiency and GHG (greenhouse gas) emissions of wheat production. Energy 2016, 103, 672–678. [Google Scholar] [CrossRef]
- FAOSTAT. FAOSTAT Agriculture Data. 2017. Available online: http://www.fao.org/faostat/en/#data/QC (accessed on 20 July 2019).
- Mondal, S.; Singh, R.P.; Mason, E.R.; Huerta-Espino, J.; Autrique, E.; Joshi, A.K. Grain yield, adaptation and progress in breeding for early-maturing and heat-tolerant wheat lines in South Asia. Field Crop. Res. 2016, 192, 78–85. [Google Scholar] [CrossRef] [PubMed] [Green Version]
- MoA/FAO. Agricultural Census 2010; FAO: Rome, Italy, 2010. [Google Scholar]
- Abi Saab, M.T.; Jomaa, I.; Skaf, S.; Fahed, S.; Todorovic, M. Assessment of a Smartphone Application for Real-Time Irrigation Scheduling in Mediterranean Environments. Water 2019, 11, 252. [Google Scholar] [CrossRef] [Green Version]
- Abi Saab, M.T.; Sellami, M.H.; Giorio, P.; Basile, A.; Bonfante, A.; Rouphael, Y.; Fahed, S.; Jomaa, I.; Stephan, C.; Kabalan, R.; et al. Assessing the Potential of Cereal Production Systems to Adapt to Contrasting Weather Conditions in the Mediterranean Region. Agronomy 2019, 9, 393. [Google Scholar] [CrossRef] [Green Version]
- Han, C.; Zhang, B.; Chen, H.; Wei, Z.; Liu, Y. Spatially distributed crop model based on remote sensing. Agric. Water Manag. 2019, 218, 165–173. [Google Scholar] [CrossRef]
- Sallah, A.H.M.; Tychon, B.; Piccard, I.; Gobin, A.; Hoolst, R.V.; Djaby, B.; Wellens, J. Batch-processing of AquaCrop plug-in for rainfed maize using satellite derived Fractional Vegetation Cover data. Agric. Water Manag. 2019, 217, 346–355. [Google Scholar] [CrossRef]
- Dente, L.; Satalino, G.; Mattia, F.; Rinaldi, M. Assimilation of leaf area index derived from ASAR and MERIS data into CERES-Wheat model to map wheat yield. Remote Sens. Environ. 2008, 112, 1395–1407. [Google Scholar] [CrossRef]
- De Wit, A.D.; Van Diepen, C.A. Crop model data assimilation with the Ensemble Kalman filter for improving regional crop yield forecasts. Agric. For. Meteorol. 2007, 146, 38–56. [Google Scholar] [CrossRef]
- Fang, H.; Liang, S.; Hoogenboom, G. Integration of MODIS LAI and vegetation index products with the CSM–CERES–Maize model for corn yield estimation. Int. J. Remote Sens. 2011, 32, 1039–1065. [Google Scholar] [CrossRef]
- Dalla Marta, A.; Chirico, G.B.; Falanga Bolognesi, S.; Mancini, M.; D’Urso, G.; Orlandini, S.; De Michele, C.; Altobelli, F. Integrating Sentinel-2 Imagery with AquaCrop for Dynamic Assessment of Tomato Water Requirements in Southern Italy. Agronomy 2019, 9, 404. [Google Scholar] [CrossRef] [Green Version]
- De Wit, A.; Duveiller, G.; Defourny, P. Estimating regional winter wheat yield with WOFOST through the assimilation of green area index retrieved from MODIS observations. Agric. For. Meteorol. 2012, 164, 39–52. [Google Scholar] [CrossRef]
- Ma, G.; Huang, J.; Wu, W.; Fan, J.; Zou, J.; Wu, S. Assimilation of MODIS-LAI into the WOFOST model for forecasting regional winter wheat yield. Math. Comput. Model. 2013, 58, 634–643. [Google Scholar] [CrossRef]
- Fabian, L.; Chandrashekhar, M.B.; Fliemann, E.; Lamers, J.P.A.; Conrad, C. Assessing gaps in irrigated agricultural productivity through satellite earth observations—A case study of the Fergana Valley, Central Asia. Int. J. Appl. Earth Obs. Geoinf. 2017, 59, 118–134. [Google Scholar]
- Yi, C.; Zhao, Z.; Fulu, T. Improving regional winter wheat yield estimation through assimilation of phenology and leaf area index from remote sensing data. Eur. J. Agron. 2018, 101, 163–173. [Google Scholar]
- Guerif, M.; Duke, C.L. Adjustment procedures of a crop model to the site specific characteristics of soil and crop using remote sensing data assimilation. Agric. Ecosyst. Environ. 2000, 81, 57–69. [Google Scholar] [CrossRef]
- Novelli, F.; Spiegel, H.; Sandén, T.; Vuolo, F. Assimilation of sentinel-2 leaf area index data into a physically-based crop growth model for yield estimation. Agronomy 2019, 9, 255. [Google Scholar] [CrossRef] [Green Version]
- Wellens, J.; Sallah, A.H.; Tychon, B. Assessment of AquaCrop for winter wheat using satellite derived fCover data. In Proceedings of the 9th International Workshop on the Analysis of Multitemporal Remote Sensing Images (MultiTemp), Brugge, Belgium, 27–29 June 2017; pp. 1–3. [Google Scholar]
- Han, C.; Zhang, B.; Chen, H.; Liu, Y.; Wei, Z. Novel approach of upscaling the FAO AquaCrop model into regional scale by using distributed crop parameters derived from remote sensing data. Agric. Water Manag. 2020, 240, 106288. [Google Scholar] [CrossRef]
- Jin, X.; Li, Z.; Feng, H.; Ren, Z.; Li, S. Estimation of maize yield by assimilating biomass and canopy cover derived from hyperspectral data into the AquaCrop model. Agric. Water Manag. 2020, 227, 105846. [Google Scholar] [CrossRef]
- Allen, R.G.; Pereira, L.S.; Raes, D.; Smith, M. Guidelines for Computing Crop Water Requirements-FAO Irrigation and Drainage Paper 56; FAO-Food and Agriculture Organisation of the United Nations: Rome, Italy, 1998; Available online: http://www.fao.org/docrep (accessed on 20 July 2019).
- FAO. Guidelines for Soil Description, 4th ed.; Food and Agriculture Organization of the United Nations: Rome, Italy, 2006; Available online: http://www.fao.org/publications/card/en/c/903943c7-f56a-521a-8d32-459e7e0cdae9/ (accessed on 20 July 2019).
- IUSS Working Group, W.R.B. World Reference Base for Soil Resources 2014. International Soil Classification System for Naming Soils and Creating Legends for Soil Maps; World Soil Resources Reports 106; Sales and Marketing Group: Rome Italy, 2014. [Google Scholar] [CrossRef]
- Saxton, K.E.; Rawls, W.J. Soil water characteristic estimates by texture and organic matter for hydrologic solutions. Soil Sci. Soc. Am. J. 2006, 70, 1569–1578. [Google Scholar] [CrossRef] [Green Version]
- Zadoks, J.C.; Chang, T.T.; Konzak, C.F. A decimal code for the growth stages of cereals. Weed Res. 1974, 14, 415–421. [Google Scholar] [CrossRef]
- Huete, A.R.; Liu, H.Q.; Batchily, K.V.; Van Leeuwen, W.J.D.A. A comparison of vegetation indices over a global set of TM images for EOS-MODIS. Remote Sens. Environ. 1997, 59, 440–451. [Google Scholar] [CrossRef]
- Xie, Q.; Dash, J.; Huete, A.; Jiang, A.; Yin, G.; Ding, Y.; Peng, D.; Hall, C.C.; Brown, L.; Shi, Y.; et al. Retrieval of crop biophysical parameters from Sentinel-2 remote sensing imagery. Int. J. Appl. Earth Obs. Geoinf. 2019, 80, 187–195. [Google Scholar] [CrossRef]
- Willmott, C.J. Some comments on the evaluation of model performance. Bull. Am. Meteorol. Soc. 1982, 63, 1309–1313. [Google Scholar] [CrossRef] [Green Version]
- Nash, J.E.; Sutcliffe, J.V. River flow forecasting through conceptual models part I—A discussion of principles. J. Hydrol. 1970, 10, 282–290. [Google Scholar] [CrossRef]
- Moriasi, D.N.; Arnold, J.G.; Van Liew, M.W.; Bingner, R.L.; Harmel, R.D.; Veith, T.L. Model evaluation guidelines for systematic quantification of accuracy in watershed simulations. Trans. ASABE 2007, 50, 885–900. [Google Scholar] [CrossRef]
- Mbabazi, D.; Migliaccio, K.W.; Crane, J.H.; Fraisse, C.; Zotarelli, L.; Morgan, K.T.; Kiggundu, N. An irrigation schedule testing model for optimization of the Smartirrigation avocado app. Agric. Water Manag. 2017, 179, 390–400. [Google Scholar] [CrossRef]
- Xie, Q.; Huang, W.; Dash, J.; Song, X.; Huang, L.; Zhao, J.; Wang, R. Evaluating the potential of vegetation indices for winter wheat LAI estimation under different fertilization and water conditions. Adv. Space Res. 2015, 56, 2365–2373. [Google Scholar] [CrossRef]
- Jin, X.; Li, Z.; Feng, H.; Ren, Z.; Li, S. Deep neural network algorithm for estimating maize biomass based on simulated Sentinel 2A vegetation indices and leaf area index. Crop J. 2020, 8, 87–97. [Google Scholar] [CrossRef]
- Silvestro, P.; Pignatti, S.; Pascucci, S.; Yang, H.; Li, Z.; Yang, G.; Huang, W.; Casa, R. Estimating wheat yield in China at the field and district scale from the assimilation of satellite data into the Aquacrop and simple algorithm for yield (SAFY) models. Remote Sens. 2017, 9, 509. [Google Scholar] [CrossRef] [Green Version]
- Hsiao, T.C.; Heng, L.; Steduto, P.; Rojas-Lara, B.; Raes, D.; Fereres, E. AquaCrop—The FAO crop model to simulate yield response to water: III. Parameterization and testing for maize. Agron. J. 2009, 101, 448–459. [Google Scholar] [CrossRef]
- Raes, D.; Steduto, P.; Hsiao, T.C.; Fereres, E. AquaCrop—The FAO crop model to simulate yield response to water: II. Main algorithms and software description. Agron. J. 2009, 101, 438–447. [Google Scholar] [CrossRef] [Green Version]
- Xing, H.; Xu, X.; Li, Z.; Chen, Y.; Feng, H.; Yang, G.; Chen, Z. Global sensitivity analysis of the AquaCrop model for winter wheat under different water treatments based on the extended Fourier amplitude sensitivity test. J. Integr. Agric. 2017, 16, 2444–2458. [Google Scholar] [CrossRef] [Green Version]
- Trombetta, A.; Iacobellis, V.; Tarantino, E.; Gentile, F. Calibration of the AquaCrop model for winter wheat using MODIS LAI images. Agric. Water Manag. 2016, 164, 304–316. [Google Scholar] [CrossRef]
- Stricevic, R.; Cosic, M.; Djurovic, N.; Pejic, B.; Maksimovic, L. Assessment of the FAO AquaCrop model in the simulation of rainfed and supplementally irrigated maize, sugar beet and sunflower. Agric. Water Manag. 2011, 98, 1615–1621. [Google Scholar] [CrossRef]
- Tsakmakis, I.D.; Gikas, G.D.; Sylaios, G.K. Integration of Sentinel-derived NDVI to reduce uncertainties in the operational field monitoring of maize. Agric. Water Manag. 2021, 255, 106998. [Google Scholar] [CrossRef]
- Ihuoma, S.O.; Madramootoo, C.A.; Kalacska, M. Integration of satellite imagery and in situ soil moisture data for estimating irrigation water requirements. Int. J. Appl. Earth Obs. Geoinf. 2021, 102, 102396. [Google Scholar] [CrossRef]





| Month | Rain [mm Month−1] | Tmax [°C] | Tmin [°C] | RHmean [%] | WS [m s−1] | Rs [W m−21] | ETo [mm Month−1] | 
|---|---|---|---|---|---|---|---|
| November-16 | 29.00 | 20.35 | 2.81 | 45.65 | 1.41 | 89.12 | 59.40 | 
| December-16 | 105.20 | 10.29 | 0.43 | 83.68 | 1.91 | 61.77 | 26.50 | 
| January-17 | 119.40 | 10.87 | −0.73 | 78.87 | 1.69 | 68.20 | 30.70 | 
| February-17 | 14.20 | 13.70 | −2.12 | 60.54 | 1.38 | 82.75 | 43.00 | 
| March-17 | 49.40 | 16.15 | 4.01 | 72.03 | 1.98 | 118.38 | 62.00 | 
| April-17 | 12.60 | 22.33 | 5.94 | 53.87 | 2.11 | 261.81 | 126.40 | 
| May-17 | 3.80 | 27.30 | 9.02 | 47.35 | 2.04 | 320.03 | 175.30 | 
| June-17 | 2.40 | 32.25 | 12.04 | 41.97 | 1.80 | 346.29 | 197.40 | 
| July-17 | 0.00 | 34.92 | 17.46 | 36.64 | 1.18 | 351.36 | 198.10 | 
| August-17 | 0.00 | 35.25 | 13.20 | 43.79 | 1.34 | 305.01 | 182.80 | 
| September-17 | 0.20 | 33.32 | 12.73 | 45.17 | 1.29 | 250.94 | 142.60 | 
| October-17 | 13.80 | 25.43 | 8.74 | 54.80 | 1.18 | 174.53 | 85.90 | 
| November-17 | 22.80 | 19.42 | 5.02 | 67.04 | 1.15 | 119.52 | 48.3 | 
| December-17 | 0.20 | 16.78 | 2.28 | 68.03 | 1.28 | 96.30 | 39.7 | 
| January-18 | 168.20 | 11.88 | 1.13 | 82.68 | 1.50 | 84.84 | 29.40 | 
| February-18 | 131.80 | 16.32 | 3.26 | 70.45 | 1.35 | 123.62 | 45.80 | 
| March-18 | 18.20 | 20.96 | 3.95 | 57.61 | 1.66 | 206.32 | 93.20 | 
| April-18 | 17.60 | 24.35 | 6.74 | 52.57 | 1.37 | 248.99 | 117.10 | 
| May-18 | 19.80 | 27.05 | 12.48 | 50.98 | 1.30 | 279.58 | 147.00 | 
| June-18 | 12.20 | 30.73 | 14.67 | 46.51 | 1.78 | 322.78 | 183.30 | 
| July-18 | 0.00 | 33.40 | 14.02 | 45.74 | 1.93 | 324.94 | 203.90 | 
| August-18 | 0.00 | 33.80 | 14.25 | 50.05 | 1.64 | 291.17 | 179.40 | 
| September-18 | 0.00 | 32.50 | 13.61 | 46.94 | 1.36 | 232.73 | 136.60 | 
| October-18 | 70.80 | 26.43 | 10.77 | 60.09 | 1.26 | 165.64 | 86.80 | 
| November-18 | 46.20 | 17.88 | 6.28 | 78.19 | 1.17 | 106.52 | 40.50 | 
| December-18 | 122.20 | 12.05 | 4.06 | 88.77 | 1.50 | 76.20 | 24.30 | 
| January-19 | 288.00 | 10.70 | −0.15 | 83.45 | 1.73 | 102.05 | 29.80 | 
| February-19 | 214.40 | 12.69 | 1.34 | 81.97 | 1.45 | 126.49 | 37.10 | 
| March-19 | 130.00 | 14.78 | 3.09 | 75.97 | 1.70 | 172.19 | 64.40 | 
| April-19 | 75.60 | 18.38 | 4.71 | 72.63 | 1.31 | 222.68 | 86.90 | 
| May-19 | 13.80 | 29.62 | 9.35 | 45.12 | 1.19 | 320.70 | 163.60 | 
| June-19 | 4.00 | 32.63 | 13.81 | 49.31 | 1.46 | 332.87 | 183.00 | 
| Vegetation Index | Regression Models | R2 | RMSE (t ha−1) | 
|---|---|---|---|
| NDVI | y = 10.728x1.4315 | 0.68 | 2.26 | 
| EVI | y = 3.8732x0.072 | 0.12 | 4.89 | 
| fAPAR | y = 15.333x2.5657 | 0.71 | 1.09 | 
| LAI | y = 2.7865x0.9011 | 0.78 | 1.90 | 
| FVC | y = 0.0005x2.2673 | 0.85 | 1.34 | 
| Parameter Description | Wheat Calibration | Method of Determination | 
|---|---|---|
| Conservative parameters | ||
| Base temperature (°C) | 0 | e ** | 
| Cut-off temperature (°C) | 26 | e | 
| Canopy cover per seeding at 90% emergence (CC0) (cm2 plant−1) | 1.5 | e | 
| Canopy growth coefficient (CGC) (%/degree-day) | 0.0061 | c * | 
| Crop coefficient for transpiration at CC = 100% | 1.1 | c | 
| Canopy decline coefficient (CDC) at senescence (%/degree-day) | 0.004 | c | 
| Biomass water productivity (WP), normalized for ETo before yield formation (g m−2) | 16 | e | 
| Biomass water productivity, normalized for ETo during yield formation (% of WP) | 100 | e | 
| Leaf growth threshold p-upper | 0.2 | c | 
| Leaf growth threshold p-lower | 0.55 | c | 
| Leaf growth stress coefficient curve shape | 5 | c | 
| Stomatal conductance threshold p-upper | 0.55 | e | 
| Stomata stress coefficient curve shape | 0.5 | c | 
| Senescence stress coefficient p-upper | 0.55 | c | 
| Senescence stress coefficient curve shape | 2.5 | c | 
| Non-conservative parameters | ||
| Time from sowing to emergence (GDD) | 150 | e | 
| Maximum canopy cover (CCx) (%) | 82 | m *** | 
| Time from sowing to start senescence (GDD) | 1422 | e | 
| Time from sowing to maturity (GDD) | 2451 | e | 
| Time from sowing to flowering (GDD) | 1100 | e | 
| Maximum effective rooting depth, Zx (m) | 1 | m | 
| Minimum effective rooting depth, Zn (m) | 0.3 | d **** | 
| Reference harvest index, HIo | 45 | m | 
| GD range where crop transpiration is affected by cold stress (°C–day) | 0–17.9 | c | 
| Calibration Dataset | ||||
|---|---|---|---|---|
| Variables | Measured | Simulated | % of Deviation | |
| Biomass (t ha−1) | I-100 | 10.7 | 10.7 | 0.04 | 
| I-rainfed | 8.4 | 7.2 | −14.7 | |
| Yield (t ha−1) | I-100 | 3.6 | 3.7 | 2.1 | 
| I-rainfed | 2.5 | 2.0 | −21.8 | |
| Canopy cover—CC (%) | I-100 | 82.0 | 81.8 | −0.3 | 
| I-rainfed | 80.2 | 78.1 | −2.6 | |
| Calibration Dataset | ||||||||
|---|---|---|---|---|---|---|---|---|
| Biomass (t ha−1) | Yield (t ha−1) | CC (%) | SWD (mm) | |||||
| Statistical Indicators | I-100 | I-Rainfed | I-100 | I-Rainfed | I-100 | I-Rainfed | I-100 | I-Rainfed | 
| RMSE | 0.62 | 1.34 | 0.08 | 0.54 | 5.74 | 7.47 | 12.47 | 28.76 | 
| CV (RMSE) | 0.12 | 0.36 | 0.02 | 0.22 | 0.13 | 0.11 | 0.12 | 0.58 | 
| dIA | 0.99 | 0.96 | _ | _ | 0.99 | 0.98 | 0.82 | 0.73 | 
| NSE | 0.99 | 0.95 | 0.99 | 0.95 | 0.99 | 0.98 | 0.99 | 0.78 | 
| Validation Datasets | |||||||
|---|---|---|---|---|---|---|---|
| Season 2017–2018 | Season 2018–2019 | ||||||
| Variables | Measured | Simulated | % of Deviation | Measured | Simulated | % of Deviation | |
| Biomass (t ha−1) | I-100 | 10.8 | 10.4 | −3.9 | 15.0 | 15.6 | 3.9 | 
| I-50 | _ | _ | _ | 14.2 | 15.4 | 8.5 | |
| I-rainfed | 6.8 | 7.7 | 13.8 | 12.2 | 15.0 | 23.3 | |
| Yield (t ha−1) | I-100 | 5.6 | 5.1 | −9.3 | 5.3 | 5.4 | 1.7 | 
| I-50 | _ | _ | _ | 4.8 | 5.2 | 9.7 | |
| I-rainfed | 3.1 | 2.6 | −18.9 | 4.3 | 5.0 | 16.1 | |
| Canopy cover (%) | I-100 | 75 | 81.7 | 8.9 | 77.3 | 81.8 | 5.8 | 
| I-50 | _ | _ | _ | 77.0 | 81.8 | 6.2 | |
| I-rainfed | 69 | 80 | 15.9 | 76.9 | 81.8 | 6.4 | |
| Season 2017–2018 | ||||||||||||
|---|---|---|---|---|---|---|---|---|---|---|---|---|
| Biomass (t ha−1) | Yield (t ha−1) | CC (%) | SWD (mm) | |||||||||
| Statistical Indicators | I-100 | I-50 | I-Rainfed | I-100 | I-50 | I-Rainfed | I-100 | I-50 | I-Rainfed | I-100 | I-50 | I-Rainfed | 
| RMSE | 0.67 | _ | 0.92 | 1.48 | _ | 0.7 | 11.11 | _ | 21.48 | 21.93 | _ | 29.34 | 
| CV (RMSE) | 0.13 | _ | 0.26 | 0.26 | _ | 0.23 | 0.21 | _ | 0.51 | 0.16 | _ | 0.32 | 
| dIA | 0.98 | _ | 0.98 | _ | _ | _ | 0.95 | _ | 0.77 | 0.75 | _ | 0.72 | 
| NSE | 0.99 | _ | 0.96 | 0.93 | _ | 0.95 | 0.98 | _ | 0.86 | 0.98 | _ | 0.9 | 
| Season 2018–2019 | ||||||||||||
| RMSE | 1.32 | 1.36 | 1.6 | 0.09 | 0.46 | 0.69 | 6.99 | 7.16 | 9.49 | 10.97 | 14.33 | 17.25 | 
| CV (RMSE) | 0.21 | 0.22 | 0.27 | 0.02 | 0.1 | 0.16 | 0.14 | 0.14 | 0.19 | 0.33 | 0.4 | 0.43 | 
| dIA | 0.99 | 0.99 | 0.98 | _ | _ | _ | 0.99 | 0.99 | 0.98 | 0.87 | 0.78 | 0.83 | 
| NSE | 0.98 | 0.98 | 0.97 | 0.99 | 0.99 | 0.97 | 0.99 | 0.99 | 0.97 | 0.96 | 0.94 | 0.93 | 
| 2016–2017 Dataset | ||||||||||||
|---|---|---|---|---|---|---|---|---|---|---|---|---|
| Biomass (t ha−1) | Yield (t ha−1) | CC (%) | SWD (mm) | |||||||||
| Statistical Indicators | I-100 | I-50 | I-Rainfed | I-100 | I-50 | I-Rainfed | I-100 | I-50 | I-Rainfed | I-100 | I-50 | I-Rainfed | 
| RMSE | 1.06 | _ | 0.48 | 0.05 | _ | 0.34 | 4.45 | _ | 5.65 | 24.45 | _ | 21.96 | 
| CV (RMSE) | 0.2 | _ | 0.14 | 0.3 | _ | 0.24 | 0.09 | _ | 0.13 | 0.27 | _ | 0.16 | 
| dIA | 0.98 | _ | 0.99 | _ | _ | _ | 0.99 | _ | 0.98 | 0.82 | _ | 0.84 | 
| NSE | 0.98 | _ | 0.99 | 0.91 | _ | 0.96 | 1 | _ | 0.99 | 0.93 | _ | 0.98 | 
| 2018–2019 Dataset | ||||||||||||
| RMSE | 1.15 | 1 | 1.26 | 0.04 | 0.23 | 0.42 | 5.28 | 4.42 | 7.17 | 10.86 | 14.43 | 17.54 | 
| CV (RMSE) | 0.18 | 0.16 | 0.21 | 0.01 | 0.05 | 0.12 | 0.11 | 0.09 | 0.15 | 0.33 | 0.4 | 0.44 | 
| dIA | 0.99 | 0.99 | 0.99 | _ | _ | _ | 0.99 | 0.99 | 0.98 | 0.87 | 0.77 | 0.74 | 
| NSE | 0.99 | 0.99 | 0.98 | 1 | 1 | 0.99 | 0.99 | 0.99 | 0.99 | 0.96 | 0.94 | 0.93 | 
| Publisher’s Note: MDPI stays neutral with regard to jurisdictional claims in published maps and institutional affiliations. | 
© 2021 by the authors. Licensee MDPI, Basel, Switzerland. This article is an open access article distributed under the terms and conditions of the Creative Commons Attribution (CC BY) license (https://creativecommons.org/licenses/by/4.0/).
Share and Cite
Abi Saab, M.T.; El Alam, R.; Jomaa, I.; Skaf, S.; Fahed, S.; Albrizio, R.; Todorovic, M. Coupling Remote Sensing Data and AquaCrop Model for Simulation of Winter Wheat Growth under Rainfed and Irrigated Conditions in a Mediterranean Environment. Agronomy 2021, 11, 2265. https://doi.org/10.3390/agronomy11112265
Abi Saab MT, El Alam R, Jomaa I, Skaf S, Fahed S, Albrizio R, Todorovic M. Coupling Remote Sensing Data and AquaCrop Model for Simulation of Winter Wheat Growth under Rainfed and Irrigated Conditions in a Mediterranean Environment. Agronomy. 2021; 11(11):2265. https://doi.org/10.3390/agronomy11112265
Chicago/Turabian StyleAbi Saab, Marie Therese, Razane El Alam, Ihab Jomaa, Sleiman Skaf, Salim Fahed, Rossella Albrizio, and Mladen Todorovic. 2021. "Coupling Remote Sensing Data and AquaCrop Model for Simulation of Winter Wheat Growth under Rainfed and Irrigated Conditions in a Mediterranean Environment" Agronomy 11, no. 11: 2265. https://doi.org/10.3390/agronomy11112265
APA StyleAbi Saab, M. T., El Alam, R., Jomaa, I., Skaf, S., Fahed, S., Albrizio, R., & Todorovic, M. (2021). Coupling Remote Sensing Data and AquaCrop Model for Simulation of Winter Wheat Growth under Rainfed and Irrigated Conditions in a Mediterranean Environment. Agronomy, 11(11), 2265. https://doi.org/10.3390/agronomy11112265
 
         
                                                



 
       