Improving Nitrogen Status Estimation in Malting Barley Based on Hyperspectral Reflectance and Artificial Neural Networks
Abstract
:1. Introduction
2. Materials and Methods
3. Results
3.1. Correlations between Spectral Reflectance and Indicators of N Status
3.2. Evaluation of N Status Using Vegetation Indices
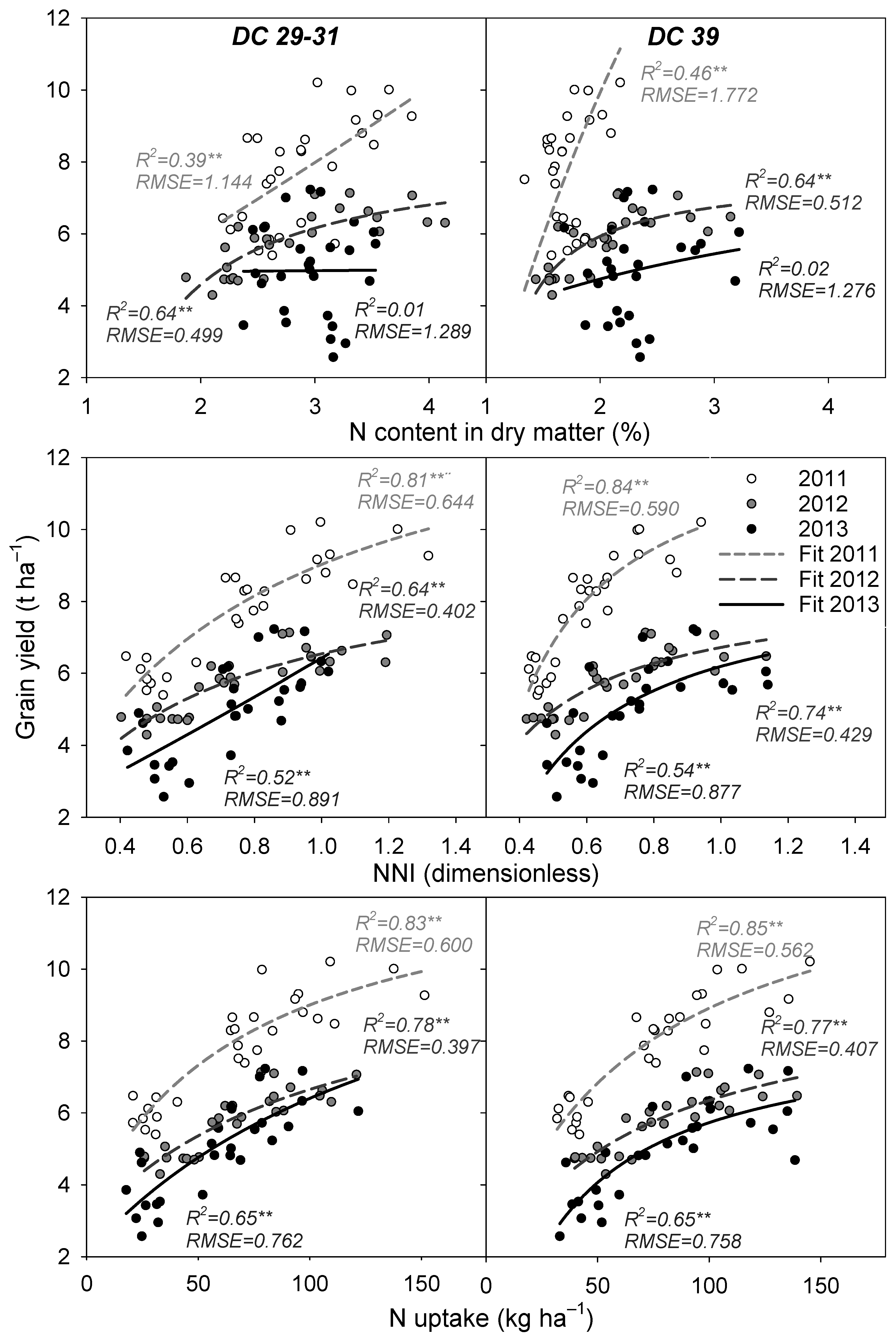
3.3. Relationships between Indicators of N Status and Grain Yield
3.4. Artificial Neural Networks Based on Hyperspectral Data for Estimating N Status
4. Discussion
4.1. Hyperspectral Estimation of NNI
4.2. Hyperspectral Estimation of N Uptake by Aboveground Biomass
4.3. Artificial Neural Network for Estimating N Status Using Hyperspectral Data
5. Conclusions
Supplementary Materials
Author Contributions
Funding
Data Availability Statement
Conflicts of Interest
References
- Weston, D.T.; Horsley, R.D.; Schwarz, P.B.; Goos, R.J. Nitrogen and Planting Date Effects on Low-Protein Spring Barley. Agron. J. 1993, 85, 1170–1174. [Google Scholar] [CrossRef]
 - Baethgen, W.E.; Christianson, C.B.; Lamothe, A.G. Nitrogen fertiliser effects on growth, grain yield, and yield components of malting barley. Field Crop. Res. 1995, 43, 87–99. [Google Scholar] [CrossRef]
 - Křen, J.; Klem, K.; Svobodová, I.; Míša, P.; Neudert, L. Yield and grain quality of spring barley as affected by biomass formation at early growth stages. Plant Soil Environ. 2014, 60, 221–227. [Google Scholar] [CrossRef] [Green Version]
 - Edney, M.J.; O’Donovan, J.T.; Turkington, T.K.; Clayton, G.W.; McKenzie, R.; Juskiw, P.; Lafond, G.P.; Brandt, S.; Grant, C.A.; Harker, K.N.; et al. Effects of seeding rate, nitrogen rate and cultivar on barley malt quality. J. Sci. Food Agric. 2012, 92, 2672–2678. [Google Scholar] [CrossRef] [PubMed]
 - Hansen, P.M.; Jørgensen, J.R.; Thomsen, A. Predicting grain yield and protein content in winter wheat and spring barley using repeated canopy reflectance measurements and partial least squares regression. J. Agric. Sci. 2002, 139, 307–318. [Google Scholar] [CrossRef]
 - Langseth, W.; Stabbetorp, H. The effect of lodging and time of harvest on deoxynivalenol contamination in barley and oats. J. Phytopathol. 1996, 144, 241–245. [Google Scholar] [CrossRef]
 - Nakajima, T.; Yoshida, M.; Tomimura, K. Effect of lodging on the level of mycotoxins in wheat, barley, and rice infected with the Fusarium graminearum species complex. J. Gen. Plant Pathol. 2008, 74, 289. [Google Scholar] [CrossRef]
 - Olfs, H.W.; Blankenau, K.; Brentrup, F.; Jasper, J.; Link, A.; Lammel, J. Soil- and plant-based nitrogen-fertiliser recommendations in arable farming. J. Plant Nutr. Soil Sci. 2005, 168, 414–431. [Google Scholar] [CrossRef]
 - Hatfield, J.L.; Gitelson, A.A.; Schepers, J.S.; Walthall, C.L. Application of spectral remote sensing for agronomic decisions. Agron. J. 2008, 100, S-117–S-131. [Google Scholar] [CrossRef] [Green Version]
 - Chen, P. A Comparison of Two Approaches for Estimating the Wheat Nitrogen Nutrition Index Using Remote Sensing. Remote Sens. 2015, 7, 4527–4548. [Google Scholar] [CrossRef] [Green Version]
 - Yoder, B.J.; Pettigrew-Crosby, R.E. Predicting nitrogen and chlorophyll content and concentrations from reflectance spectra (400–2500 nm) at leaf and canopy scales. Remote Sens. Environ. 1995, 53, 199–211. [Google Scholar] [CrossRef]
 - Merzlyak, M.N.; Gitelson, A.A. Why and what for the leaves are yellow in autumn? On the interpretation of optical spectra of senescing leaves (Acerplatanoides L.). J. Plant Physiol. 1995, 145, 315–320. [Google Scholar] [CrossRef]
 - Buschmann, C.; Nagel, E. In vivo spectroscopy and internal optics of leaves as basis for remote sensing of vegetation. Int. J. Remote Sens. 1993, 14, 711–722. [Google Scholar] [CrossRef]
 - Clevers, J.G.P.W.; Gitelson, A.A. Remote estimation of crop and grass chlorophyll and nitrogen content using red-edge bands on Sentinel-2 and -3. Int. J. Appl. Earth Obs. 2013, 23, 344–351. [Google Scholar] [CrossRef]
 - Schlemmer, M.; Gitelson, A.A.; Schepers, J.; Ferguson, R.; Peng, Y.; Shanahan, J.; Rundquist, D. Remote estimation of nitrogen and chlorophyll contents in maise at leaf and canopy levels. Int. J. Appl. Earth Obs. 2013, 25, 47–54. [Google Scholar] [CrossRef] [Green Version]
 - Sembiring, H.; Lees, H.L.; Raun, W.R.; Johnson, G.V.; Solie, J.B.; Stone, M.L.; DeLeon, M.J.; Lukina, E.V.; Cossey, D.A.; LaRuffa, J.M.; et al. Effect of growth stage and variety on spectral radiance in winter wheat. J. Plant Nutr. 2000, 23, 141–149. [Google Scholar] [CrossRef]
 - Aparicio, N.; Villegas, D.; Araus, J.L.; Casadesús, J.; Royo, C. Relationship between growth traits and spectral vegetation indices in durum wheat. Crop Sci. 2002, 42, 1547–1555. [Google Scholar] [CrossRef]
 - Hansen, P.M.; Schjoerring, J.K. Reflectance measurement of canopy biomass and nitrogen status in wheat crops using normalised difference vegetation indices and partial least squares regression. Remote Sens. Environ. 2003, 86, 542–553. [Google Scholar] [CrossRef]
 - Li, F.; Miao, Y.; Hennig, S.D.; Gnyp, M.L.; Chen, X.; Jia, L.; Bareth, G. Evaluating hyperspectral vegetation indices for estimating nitrogen concentration of winter wheat at different growth stages. Precis. Agric. 2010, 11, 335–357. [Google Scholar] [CrossRef]
 - Lemaire, G.; Jeuffroy, M.H.; Gastal, F. Diagnosis tool for plant and crop N status in vegetative stage: Theory and practices for crop N management. Eur. J. Agron. 2008, 28, 614–624. [Google Scholar] [CrossRef]
 - Gastal, F.; Lemaire, G. N uptake and distribution in crops: An agronomical and ecophysiological perspective. J. Exp. Bot. 2002, 53, 789–799. [Google Scholar] [CrossRef] [Green Version]
 - Mouazen, A.M.; Kuang, B.; De Baerdemaeker, J.; Ramon, H. Comparison among principal component, partial least squares and back propagation neural network analyses for accuracy of measurement of selected soil properties with visible and near infrared spectroscopy. Geoderma 2010, 158, 23–31. [Google Scholar] [CrossRef]
 - Savin, R.; Nicolas, M.E. Effects of short periods of drought and high temperature on grain growth and starch accumulation of two malting barley cultivars. Funct. Plant Biol. 1996, 23, 201–210. [Google Scholar] [CrossRef]
 - Lemaire, G.; Gastal, F. N uptake and distribution in plant canopies. In Diagnosis of the Nitrogen Status in Crops; Springer: Berlin/Heidelberg, Germany, 1997; pp. 3–43. [Google Scholar]
 - Mistele, B.; Schmidhalter, U. Estimating the nitrogen nutrition index using spectral canopy reflectance measurements. Eur. J. Agron. 2008, 29, 184–190. [Google Scholar] [CrossRef]
 - Houlès, V.; Guérif, M.; Mary, B. Elaboration of a nitrogen nutrition indicator for winter wheat based on leaf area index and chlorophyll content for making nitrogen recommendations. Eur. J. Agron. 2007, 27, 1–11. [Google Scholar] [CrossRef]
 - Erdle, K.; Mistele, B.; Schmidhalter, U. Comparison of active and passive spectral sensors in discriminating biomass parameters and nitrogen status in wheat cultivars. Field Crop. Res. 2011, 124, 74–84. [Google Scholar] [CrossRef]
 - Chen, P.; Haboudane, D.; Tremblay, N.; Wang, J.; Vigneault, P.; Li, B. New spectral indicator assessing the efficiency of crop nitrogen treatment in corn and wheat. Remote Sens. Environ. 2010, 114, 1987–1997. [Google Scholar] [CrossRef]
 - Peñuelas, J.; Baret, F.; Filella, I. Semi-empirical indices to assess carotenoids/chlorophyll a ratio from leaf spectral reflectance. Photosynthetica 1995, 31, 221–230. [Google Scholar]
 - Filella, I.; Serrano, L.; Serra, J.; Peñuelas, J. Evaluating wheat nitrogen status with canopy reflectance indices and discriminant analysis. Crop Sci. 1995, 35, 1400–1405. [Google Scholar] [CrossRef]
 - Hörtensteiner, S. Chlorophyll degradation during senescence. Annu. Rev. Plant Biol. 2006, 57, 55–77. [Google Scholar] [CrossRef] [PubMed]
 - Agüera, E.; Cabello, P.; De La Haba, P. Induction of leaf senescence by low nitrogen nutrition in sunflower (Helianthus annuus) plants. Physiol. Plant. 2010, 138, 256–267. [Google Scholar] [CrossRef] [PubMed]
 - Magney, T.S.; Eitel, J.U.H.; Vierling, L.A. Mapping wheat nitrogen uptake from RapidEye vegetation indices. Precis. Agric. 2017, 18, 429–451. [Google Scholar] [CrossRef]
 - Sadras, V.O.; Lemaire, G. Quantifying crop nitrogen status for comparisons of agronomic practices and genotypes. Field Crop. Res. 2014, 164, 54–64. [Google Scholar] [CrossRef]
 - Lukina, E.V.; Freeman, K.W.; Wynn, K.J.; Thomason, W.E.; Mullen, R.W.; Stone, M.L.; Solie, J.B.; Klatt, A.R.; Johnson, G.V.; Elliott, R.L.; et al. Nitrogen fertilisation optimisation algorithm based on in-season estimates of yield and plant nitrogen uptake. J. Plant Nutr. 2001, 24, 885–898. [Google Scholar] [CrossRef]
 - Raun, W.R.; Solie, J.B.; Johnson, G.V.; Stone, M.L.; Mullen, R.W.; Freeman, K.W.; Thomason, W.E.; Lukina, E.V. Improving Nitrogen Use Efficiency in Cereal Grain Production with Optical Sensing and Variable Rate Application. Agron. J. 2002, 94, 815–820. [Google Scholar] [CrossRef] [Green Version]
 - Lawlor, D.W. Carbon and nitrogen assimilation in relation to yield: Mechanisms are the key to understanding production systems. J. Exp. Bot. 2002, 53, 773–787. [Google Scholar] [CrossRef]
 - Mas, J.F.; Flores, J.J. The application of artificial neural networks to the analysis of remotely sensed data. Int. J. Remote Sens. 2008, 29, 617–663. [Google Scholar] [CrossRef]
 - Bacour, C.; Baret, F.; Béal, D.; Weiss, M.; Pavageau, K. Neural network estimation of LAI, fAPAR, fCover and LAI×Cab, from top of canopy MERIS reflectance data: Principles and validation. Remote Sens. Environ. 2006, 105, 313–325. [Google Scholar] [CrossRef]
 - Liu, Z.Y.; Wu, H.F.; Huang, J.F. Application of neural networks to discriminate fungal infection levels in rice panicles using hyperspectral reflectance and principal components analysis. Comput. Electron. Agric. 2010, 72, 99–106. [Google Scholar] [CrossRef]
 - Christensen, L.K.; Bennedsen, B.S.; Jørgensen, R.N.; Nielsen, H. Modelling nitrogen and phosphorus content at early growth stages in spring barley using hyperspectral line scanning. Biosyst. Eng. 2004, 88, 19–24. [Google Scholar] [CrossRef]
 - Yi, Q.X.; Huang, J.F.; Wang, F.M.; Wang, X.Z.; Liu, Z.Y. Monitoring Rice Nitrogen Status Using Hyperspectral Reflectance and Artificial Neural Network. Environ. Sci. Technol. 2007, 41, 6770–6775. [Google Scholar] [CrossRef] [PubMed]
 - Wang, Y.; Wang, F.; Huang, J.; Wang, X.; Liu, Z. Validation of artificial neural network techniques in the estimation of nitrogen concentration in rape using canopy hyperspectral reflectance data. Int. J. Remote Sens. 2009, 30, 4493–4505. [Google Scholar] [CrossRef]
 - Sun, J.; Yang, J.; Shi, S.; Chen, B.; Du, L.; Gong, W.; Song, S. Estimating Rice Leaf Nitrogen Concentration: Influence of Regression Algorithms Based on Passive and Active Leaf Reflectance. Remote Sens. 2017, 9, 951. [Google Scholar] [CrossRef] [Green Version]
 - Panda, S.S.; Ames, D.P.; Panigrahi, S. Application of Vegetation Indices for Agricultural Crop Yield Prediction Using Neural Network Techniques. Remote Sens. 2010, 2, 673–696. [Google Scholar] [CrossRef] [Green Version]
 






| Characteristic | Year | March | April | May | June | July | 
|---|---|---|---|---|---|---|
| Mean temperature (°C) | 2011 | 5.3 | 11.8 | 14.6 | 18.4 | 18.0 | 
| 2012 | 6.6 | 10.6 | 16.3 | 19.1 | 20.8 | |
| 2013 | 1.2 | 10.1 | 14.2 | 17.5 | 21.2 | |
| Long-term average (1971–2010)  | 4.3 | 9.4 | 14.5 | 17.3 | 19.2 | |
| Precipitation sum (mm) | 2011 | 35.9 | 45.5 | 84.2 | 72.0 | 119.7 | 
| 2012 | 3.1 | 29.2 | 23.8 | 137.2 | 35.3 | |
| 2013 | 51.0 | 33.3 | 87.2 | 129.1 | 2.7 | |
| Long-term average (1971–2010)  | 32.8 | 40.7 | 66.1 | 80.6 | 73.6 | 
| Reflectance Indices  | N Content in Dry Matter (%) | NNI | N Uptake (kg ha−1) | |||||||||
|---|---|---|---|---|---|---|---|---|---|---|---|---|
| DC 29–31 | DC 39 | DC 29–31 | DC 39 | DC 29–31 | DC 39 | |||||||
| R2 | RMSE | R2 | RMSE | R2 | RMSE | R2 | RMSE | R2 | RMSE | R2 | RMSE | |
| ANMB650–750 | 0.19 | 0.437 | 0.21 | 0.378 | 0.61 | 0.137 | 0.52 | 0.126 | 0.68 | 17.00 | 0.60 | 19.68 | 
| NDVI | 0.08 | 0.464 | 0.18 | 0.385 | 0.40 | 0.169 | 0.50 | 0.128 | 0.47 | 22.00 | 0.60 | 19.55 | 
| NDGI | 0.13 | 0.452 | 0.16 | 0.390 | 0.47 | 0.159 | 0.51 | 0.128 | 0.54 | 20.54 | 0.64 | 18.70 | 
| NRERI | 0.23 | 0.424 | 0.17 | 0.386 | 0.62 | 0.135 | 0.53 | 0.125 | 0.68 | 17.02 | 0.66 | 17.98 | 
| RDVI | 0.09 | 0.461 | 0.23 | 0.372 | 0.42 | 0.167 | 0.58 | 0.119 | 0.50 | 21.38 | 0.65 | 18.43 | 
| MSR | 0.11 | 0.457 | 0.13 | 0.397 | 0.37 | 0.174 | 0.47 | 0.133 | 0.44 | 22.63 | 0.62 | 19.20 | 
| MT VI1 | 0.08 | 0.463 | 0.25 | 0.368 | 0.39 | 0.171 | 0.56 | 0.121 | 0.47 | 21.97 | 0.60 | 19.52 | 
| TCARI | 0.01 | 0.482 | 0.11 | 0.401 | 0.03 | 0.215 | 0.08 | 0.175 | 0.07 | 29.17 | 0.03 | 30.50 | 
| OSAVI | 0.09 | 0.461 | 0.21 | 0.377 | 0.42 | 0.166 | 0.56 | 0.121 | 0.50 | 21.32 | 0.65 | 18.35 | 
| TCARI/OSAVI | 0.32 | 0.399 | 0.01 | 0.422 | 0.44 | 0.164 | 0.15 | 0.169 | 0.41 | 23.18 | 0.26 | 26.70 | 
| G | 0.07 | 0.468 | 0.18 | 0.385 | 0.29 | 0.184 | 0.48 | 0.139 | 0.36 | 24.08 | 0.56 | 20.68 | 
| TVI | 0.08 | 0.465 | 0.25 | 0.367 | 0.38 | 0.172 | 0.56 | 0.121 | 0.47 | 22.07 | 0.60 | 19.75 | 
| ZM | 0.17 | 0.440 | 0.13 | 0.397 | 0.50 | 0.155 | 0.47 | 0.133 | 0.57 | 19.85 | 0.63 | 18.98 | 
| SRPI | 0.20 | 0.433 | 0.36 | 0.339 | 0.65 | 0.129 | 0.67 | 0.105 | 0.73 | 15.60 | 0.66 | 18.20 | 
| NPQI | 0.11 | 0.457 | 0.26 | 0.365 | 0.04 | 0.215 | 0.36 | 0.146 | 0.01 | 29.98 | 0.31 | 25.74 | 
| PRI | 0.18 | 0.439 | 0.25 | 0.368 | 0.61 | 0.136 | 0.29 | 0.154 | 0.66 | 17.61 | 0.23 | 27.23 | 
| NPCI | 0.19 | 0.437 | 0.34 | 0.344 | 0.65 | 0.129 | 0.64 | 0.109 | 0.73 | 15.65 | 0.63 | 18.82 | 
| SIPI | 0.09 | 0.461 | 0.15 | 0.391 | 0.40 | 0.169 | 0.48 | 0.131 | 0.47 | 22.06 | 0.60 | 19.68 | 
| VOG3 | 0.18 | 0.439 | 0.12 | 0.399 | 0.47 | 0.159 | 0.46 | 0.134 | 0.54 | 20.57 | 0.63 | 18.87 | 
| VOG2 | 0.18 | 0.439 | 0.12 | 0.398 | 0.48 | 0.158 | 0.47 | 0.133 | 0.54 | 20.36 | 0.64 | 18.67 | 
| GM1 | 0.15 | 0.447 | 0.08 | 0.408 | 0.42 | 0.167 | 0.40 | 0.141 | 0.48 | 21.81 | 0.59 | 19.93 | 
| GM2 | 0.16 | 0.443 | 0.14 | 0.394 | 0.47 | 0.159 | 0.48 | 0.131 | 0.54 | 20.40 | 0.63 | 18.85 | 
| Growth Stage DC | Nitrogen Status Parameter | Reflectance Index | a | y0 | R2 | RMSE | ||||||||||||
|---|---|---|---|---|---|---|---|---|---|---|---|---|---|---|---|---|---|---|
| 2011 | 2012 | 2013 | 2011–2013 | 2011 | 2012 | 2013 | 2011–2013 | 2011 | 2012 | 2013 | 2011–2013 | 2011 | 2012 | 2013 | 2011–2013 | |||
| 29–31 | N content in dry matter (%) | NDVI | 4.72 | 7.95 | 0.56 | 1.38 | −1.34 | −3.45 | 2.54 | 1.77 | 0.29 | 0.46 | 0.04 | 0.08 | 0.375 | 0.458 | 0.317 | 0.464 | 
| NRERI | 3.29 | 9.59 | 2.29 | 3.14 | 0.97 | −2.19 | 1.84 | 1.21 | 0.39 | 0.6 | 0.13 | 0.23 | 0.346 | 0.393 | 0.302 | 0.424 | ||
| SRPI | 1.82 | 4.38 | 0.51 | 1.55 | 1.35 | −0.63 | 2.57 | 1.64 | 0.35 | 0.46 | 0.06 | 0.2 | 0.359 | 0.457 | 0.314 | 0.433 | ||
| NNI | NDVI | 4.07 | 3.37 | 1.34 | 1.38 | −2.89 | −1.89 | −0.29 | −0.37 | 0.72 | 0.64 | 0.73 | 0.4 | 0.128 | 0.133 | 0.096 | 0.169 | |
| NRERI | 2.53 | 3.81 | 3.39 | 2.31 | −0.7 | −1.22 | −0.95 | −0.48 | 0.78 | 0.74 | 0.86 | 0.62 | 0.113 | 0.113 | 0.068 | 0.135 | ||
| SRPI | 1.45 | 1.87 | 1.02 | 1.27 | −0.45 | −0.7 | −0.06 | −0.26 | 0.74 | 0.66 | 0.74 | 0.65 | 0.124 | 0.13 | 0.095 | 0.129 | ||
| N uptake (kg ha−1) | NDVI | 609.5 | 408.1 | 205 | 206.9 | −478.9 | −253.9 | −97.8 | −103.9 | 0.76 | 0.68 | 0.8 | 0.47 | 17.409 | 14.777 | 12.1 | 21.997 | |
| NRERI | 375.4 | 448.1 | 508.9 | 335.2 | −150.4 | −166 | −192.9 | −113.7 | 0.81 | 0.74 | 0.91 | 0.68 | 15.587 | 13.272 | 8.279 | 17.017 | ||
| SRPI | 216.3 | 229.2 | 157.5 | 185.7 | −114.9 | −112.2 | −62.9 | −83.8 | 0.77 | 0.71 | 0.83 | 0.73 | 17.01 | 14.041 | 11.326 | 15.602 | ||
| 39 | N content in dry matter (%) | NDVI | 0.23 | 6.69 | 4.81 | 3.41 | 1.52 | −3.75 | −2.07 | −1 | 0.01 | 0.55 | 0.16 | 0.18 | 0.182 | 0.302 | 0.334 | 0.385 | 
| NRERI | 0.37 | 5.13 | 3.48 | 2.23 | 1.5 | −0.89 | 0.11 | −0.68 | 0.04 | 0.59 | 0.25 | 0.17 | 0.179 | 0.287 | 0.315 | 0.386 | ||
| SRPI | 0.24 | 2.37 | 2.08 | 1.67 | 1.54 | 0.06 | 0.4 | 0.62 | 0.05 | 0.58 | 0.29 | 0.36 | 0.178 | 0.29 | 0.306 | 0.339 | ||
| NNI | NDVI | 1.83 | 3.14 | 5.02 | 2.47 | −1.01 | −2.03 | −3.84 | −1.52 | 0.66 | 0.69 | 0.64 | 0.5 | 0.081 | 0.104 | 0.113 | 0.128 | |
| NRERI | 1.24 | 2.39 | 3.04 | 1.68 | −0.15 | −0.67 | −1.19 | −0.34 | 0.75 | 0.73 | 0.71 | 0.53 | 0.07 | 0.097 | 0.1 | 0.125 | ||
| SRPI | 0.68 | 1.09 | 1.73 | 0.97 | 0.08 | −0.22 | −0.85 | −0.14 | 0.72 | 0.71 | 0.75 | 0.67 | 0.074 | 0.101 | 0.093 | 0.105 | ||
| N uptake (kg ha−1) | NDVI | 452.3 | 477 | 949.2 | 460.4 | −326 | −333.1 | −784.7 | −330.3 | 0.76 | 0.74 | 0.75 | 0.6 | 15.745 | 13.976 | 16.425 | 19.546 | |
| NRERI | 300.5 | 360.4 | 556.3 | 320 | −108.2 | −125.6 | −271.8 | −114.8 | 0.83 | 0.78 | 0.79 | 0.66 | 13.388 | 12.918 | 15.095 | 17.979 | ||
| SRPI | 164.5 | 164.6 | 312 | 149.9 | −52 | −57.7 | −206.1 | 14.4 | 0.78 | 0.75 | 0.8 | 0.66 | 15.01 | 13.721 | 14.499 | 18.203 | ||
| Network Performance | Activation Function | ||||||
|---|---|---|---|---|---|---|---|
| Growth Stage | Estimated Parameter | Network Name | Training | Test | Validation | Hidden | Output | 
| DC 29–31 | N content in dry matter (%) | MLP 17-15-1 | 0.897 | 0.753 | 0.923 | TanH | TanH | 
| NNI | MLP 17-8-1 | 0.927 | 0.856 | 0.938 | Exponential | TanH | |
| N uptake (kg ha−1) | MLP 17-11-1 | 0.920 | 0.877 | 0.958 | Exponential | Logistic | |
| DC 39 | N content in dry matter (%) | MLP 17-13-1 | 0.924 | 0.887 | 0.883 | TanH | Logistic | 
| NNI | MLP 17-6-1 | 0.955 | 0.950 | 0.950 | TanH | Exponential | |
| N uptake (kg ha−1) | MLP 17-12-1 | 0.922 | 0.975 | 0.965 | TanH | Exponential | |
Publisher’s Note: MDPI stays neutral with regard to jurisdictional claims in published maps and institutional affiliations.  | 
© 2021 by the authors. Licensee MDPI, Basel, Switzerland. This article is an open access article distributed under the terms and conditions of the Creative Commons Attribution (CC BY) license (https://creativecommons.org/licenses/by/4.0/).
Share and Cite
Klem, K.; Křen, J.; Šimor, J.; Kováč, D.; Holub, P.; Míša, P.; Svobodová, I.; Lukas, V.; Lukeš, P.; Findurová, H.; et al. Improving Nitrogen Status Estimation in Malting Barley Based on Hyperspectral Reflectance and Artificial Neural Networks. Agronomy 2021, 11, 2592. https://doi.org/10.3390/agronomy11122592
Klem K, Křen J, Šimor J, Kováč D, Holub P, Míša P, Svobodová I, Lukas V, Lukeš P, Findurová H, et al. Improving Nitrogen Status Estimation in Malting Barley Based on Hyperspectral Reflectance and Artificial Neural Networks. Agronomy. 2021; 11(12):2592. https://doi.org/10.3390/agronomy11122592
Chicago/Turabian StyleKlem, Karel, Jan Křen, Ján Šimor, Daniel Kováč, Petr Holub, Petr Míša, Ilona Svobodová, Vojtěch Lukas, Petr Lukeš, Hana Findurová, and et al. 2021. "Improving Nitrogen Status Estimation in Malting Barley Based on Hyperspectral Reflectance and Artificial Neural Networks" Agronomy 11, no. 12: 2592. https://doi.org/10.3390/agronomy11122592
APA StyleKlem, K., Křen, J., Šimor, J., Kováč, D., Holub, P., Míša, P., Svobodová, I., Lukas, V., Lukeš, P., Findurová, H., & Urban, O. (2021). Improving Nitrogen Status Estimation in Malting Barley Based on Hyperspectral Reflectance and Artificial Neural Networks. Agronomy, 11(12), 2592. https://doi.org/10.3390/agronomy11122592
        
                                                
