Next Article in Journal
Soil Disinfestation Efficacy against Soil Fungal Pathogens in Strawberry Crops in Spain: An Overview
Previous Article in Journal
Soybean Nutrition in a Novel Single-Nutrient Source Hydroponic Solution
 
 
Font Type:
Arial Georgia Verdana
Font Size:
Aa Aa Aa
Line Spacing:
Column Width:
Background:
Article

Thermomagnesium: A By-Product of Ni Ore Mining as a Clean Fertilizer Source for Maize

by
João William Bossolani
,
Luiz Gustavo Moretti
,
José Roberto Portugal
,
Ricardo Rossi
and
Carlos Alexandre Costa Crusciol
*
Department of Crop Science, College of Agricultural Sciences, São Paulo State University (UNESP), Botucatu, SP 18610-034, Brazil
*
Author to whom correspondence should be addressed.
Agronomy 2021, 11(3), 525; https://doi.org/10.3390/agronomy11030525
Submission received: 11 February 2021 / Revised: 26 February 2021 / Accepted: 7 March 2021 / Published: 11 March 2021
(This article belongs to the Section Soil and Plant Nutrition)

Abstract

This study explores whether Thermomagnesium (TM), a by-product of Ni ore mining, is an efficient fertilizer for maize. The effects of TM on soil pH, the supply of Si and Mg to the soil and plants, carbohydrate metabolism, grain filling, and yield were assessed in two simultaneous experiments performed in greenhouse conditions. Five TM doses were applied to two soil textures—clayey (0, 55, 273, 709, and 2018 mg kg−1) and sandy (0, 293, 410, 645, and 1260 mg kg−1). In general, the best results in soil and maize plants occurred at the highest TM dose for both soil textures (clayey 2018 mg kg−1 and sandy 1260 mg kg−1). The results demonstrated that in both soils, the concentrations of Mg and Si in the maize leaves increased with the dose of TM, similarly to that which occurred in the soil. Interestingly, in clayey soil, the soil pH increased linearly, whereas in sandy soil, the pH reached its maximum value between the two largest TM doses. The concentration of reducing sugars increased at the highest TM dose, whereas the concentrations of sucrose and starch decreased. The enhancement of carbohydrate partitioning led to higher maize growth, grain filling, and yield. Overall, the results clearly demonstrate that TM is a sustainable alternative fertilizer for maize and can be used for countless other crops and soil classifications, thus providing a suitable destination for this by-product of Ni ore mining.

1. Introduction

From an economic perspective, maize (Zea mays L.) is a global standout among crops because of its wide range of uses in human food, animal feed, and industrial applications [1]. This broad utility has also led to an increasing demand for maize [2]. Enhancing crop productivity is key for improving agricultural production and guaranteeing global food and energy supplies [3]. Fertilizers are the main inputs for increasing crop productivity quickly [4,5] and for replacing nutrients removed from the soil by crops [6]. Between 30 and 50% of crop productivity is attributable to fertilization, and thus fertilizer use is essential for food production in order to meet the demands of the growing world population [4].
Brazil is the fifth largest consumer of fertilizer in the world, and maize accounts for approximately 16% of its fertilizer use [7,8]. However, Brazil imports approximately 81% of its fertilizer [9,10]. A potential alternative source of nutrients is mining by-products [11,12], which would reduce the environmental problem of rock mining while providing a cleaner, domestic option for soil fertilization [13]. The use of by-products as a fertilizer in agriculture is an effective means of improving soil quality, increasing crop yields, and mitigating environmental impacts, while generating a new source of revenue [14].
One such by-product is Thermomagnesium (TM; or magnesium silicate (MgSiO3)), which originates from the extraction of nickel (Ni) and has potential for use as a soil remineralizer to provide silicon (Si) and magnesium (Mg) to crops [12]. Si is a beneficial mineral element commonly found in the soil that increases plant resistance to stress by accumulating in the roots, stem, leaves, and bark [15]. In particular, supplying Si to plants can increase tolerance to water stress, thereby improving production stability, especially in regions subject to drought like the Brazilian Cerrado, a biome similar to the African savanna [16]. Mg is an important nutrient that is involved in several vital functions in plants [17,18]. Mg deficiency in plants may be caused not only by the depletion of soil reserves, but also by low Mg assimilation by roots as a result of competitive inhibition caused by the imbalance of cations such as calcium (Ca) and potassium (K) [19,20]. The reduced transport and accumulation of carbohydrates in Mg-deficient leaves alter the photosynthetic carbon metabolism and restrict CO2 fixation [17,21]. Mg is closely linked to partitioning among starch synthesis, triose phosphate transport in the cytosol, and sucrose formation, and low Mg availability leads to a reduction of glucose–fructose bonds in cytosol [22].
To support the further development of TM as a fertilizer, the objective of the present study was to evaluate the effects of TM application on the supply of Si and Mg in sandy and clayey soil for the cultivation of maize, the partitioning of carbohydrates in the plants, grain yield, and the chemical attributes of the soil.

2. Materials and Methods

2.1. Thermomagnesium Processing

Thermomagnesium was produced by melting Ni ore in an electric furnace, which granulates nonmetallic elements, such as silicon dioxide (SiO2), magnesium oxide (MgO), and ferric oxide (Fe2O3), in the presence of water. The ore was then crushed to alter its granulometry, followed by calcination in rotary kilns to remove all moisture, including chemically bound water. The calcined ore was subsequently charged in an electric furnace and was reduced at high temperature, which removed O from Fe and Ni oxides to produce an iron–nickel alloy (Fe–Ni) containing approximately 20% Ni, as well as a large amount of by-product [12].
The by-product was immediately cooled from 1600 °C to room temperature under pressure using several water jets. The solidified MgSiO3-rich by-product did not exhibit a granulometric uniformity and thus underwent a forming process. First, the by-product was dried in a rotary dryer at a beneficiation plant [12]. After drying, the particle size distribution (100 mesh size, ~149 μm) was obtained by sieving, and the mineralogical phases of the by-product were determined by X-ray diffraction (XRD) in a Philips X-ray diffractometer (Table 1). The crystalline phases were identified by comparing the sample using the PDF2 Database of the International Center for Diffraction Data and the Inorganic Crystal Structure Database (ICSD; Figure 1). The values were calculated following the method of Rietveld [23], using the standard ICSD crystalline structures and internal fluorite (CaF2) to determine the amorphous phase.
According to the maximum limits of potentially toxic elements (PTEs; arsenic (As), cadmium (Cd), chromium (Cr), lead (Pb), nickel (Ni), mercury (Hg) and selenium (Se)) in soil remineralizers allowed by the Brazilian National Environmental Council, as established by Annexe I of the Normative Instruction SDA n. 27 [24], TM does not represent an environmental risk (Table 1) and can be safely reused in agriculture.

2.2. Experimental Conditions

This study was conducted in an experimental greenhouse with a climate-controlled environment at the Lageado Experimental Farm of São Paulo State University (UNESP), which is located in the municipality of Botucatu in the southeastern region of São Paulo State, Brazil (48°26′ W, 22°51′ S, elevation of 786 m above sea level). The greenhouse had an internal heating/cooling air circulatory system to maintain the temperature between 22 °C and 32 °C, and had a 70% relative humidity. The experiment was performed using polyethylene pots with a capacity of 25 kg of soil.
According to the Brazilian Soil Classification System [25], the clayey soil used in the experiment was classified as a dystrophic Red Latosol, corresponding to a typical Ferralsol [26], and the sandy soil was a kaolinitic, thermic Typic Haplorthox [27]. The soil texture and bulk density [28], as well as the chemical properties [29], were determined at a 0.0–0.2 m depth (Table 2). For the soil acidity correction, base saturation (aiming to obtain 60% base saturation) was conducted by adding calcium carbonate (CaCO3; >99%, p.a., Sigma-Aldrich, Inc., St. Louis, MO, USA). Each pot was filled with air-dried soil mixed homogeneously with CaCO3 and the specified TM dose, and was incubated for ~40 days to allow for a reaction with the soil.
Prior to the experiment, the soil water retention capacity was determined using a tension table and a Richards extraction chamber [30] in order to calculate the soil water potential (ψw).

2.3. Experimental Design and Treatments

The experimental design was a completely randomized block with four replicates comprising four TM doses plus an absolute control for both soil textures. The treatments involved TM application to the soil at the following five doses: 0, 55, 273, 709, and 2018 mg kg−1 for clayey soil, and 0, 293, 410, 645, and 1260 mg kg−1 for sandy soil. For both soils, doses were calculated respecting the Ca:Mg ratios (4:1, 3:1, 2:1, and 1:1). Maize seeds (hybrid P3707VYH; DuPont Pioneer®, Johnston, IA, USA) for grain production purposes were treated with fungicides (carboxin and thiram at 100 g + 100 g a.i. 100 kg−1 seeds) prior to planting. Nutrients were provided in the pots as needed for cultivation (Table 3) [31]. Five seeds were sown per pot, and the seedlings were thinned to three plants 10 d after sowing.
The available water capacity was corrected to −0.01 MPa (field capacity), which corresponded to 110 and 129 g kg−1 for the clayey and sandy soils, respectively, corresponding to 60%–100% field capacity. Four reference pots were weighed every four days, and sterile distilled water was supplied as needed to restore the water content to field capacity (−0.01 MPa).

2.4. Soil–Plant Sampling and Analysis

At the R1 phenological stage [32] (silking), 20 leaves were collected from 20 different plants of each plot and were milled in a Wiley-type mill coupled to a 1-mm sieve to determine the Mg and Si contents [33]. The same milled leaf samples were also subjected to sugar fractionation by high-performance liquid chromatography (HPLC) on a Shimadzu model 10A chromatograph with an RID-10A refractive index detector and model LC-10AD isocratic pump. Purified water was used as the mobile phase at a flow rate of 0.6 mL min−1. Prior to HPLC, 1.0 g of leaf sample and 8.0 g of purified water were weighed and incubated in a Marconi metabolic bath model MA095 at 60 °C for 40 min with constant agitation. After subsequent centrifugation at 12,000 rpm, the supernatant was filtered through a millipore polyvinylidene fluoride (PVDF) membrane with a porosity of 0.22 m and diameter of 13.0 mm. The samples were then injected into the HPLC system, and the resulting chromatograms were compared with those of defined concentrations of sucrose, glucose, and fructose (reducing sugars). The concentrations of sucrose and reducing sugars were calculated by comparing their areas with those of the standards, and then multiplying by the dilution of each sample. The starch concentration in the leaves [34] was determined using a spectrophotometer at 535 nm.
Simultaneous with the leaf analysis, two plants were collected for dry matter analysis. The remaining plants were grown until the end of the cycle, and the weight of 100 grains (W100G) was converted to values on a dry weight basis by correcting for 13% moisture. The moisture was determined with an automatic measuring device (Gehaka G650i, Brazil). The grain yield was expressed as grams per plant.
After harvest, a soil sample from each pot was collected, and the pH and Mg and Si availability were analyzed. The soil pH was determined in calcium chloride (CaCl2) suspensions at 0.01 mol L−1 (at a soil:solution ratio of 1:2.5). Mg availability was determined using resin [35], and Si availability was determined by spectrophotometry after extraction with 0.01 mol L−1 CaCl2 [36].

2.5. Statistical Analysis

All data were initially analyzed via the Shapiro–Wilk test [37] for normality and the Levene’s test for homoscedasticity [38], both at p < 0.05; the UNIVARIATE procedure of SAS version 9.4 was used for the analysis (SAS Institute, 2015). The data were also tested for sphericity using the Bartlett test [39] via the FACTOR procedure of SAS version 9.4 [40]. The results indicated that all data were distributed normally (W ≥ 0.90) and exhibited no sphericity. The data were then subjected to analysis of variance and polynomial regression analysis to construct TM dose–response curves for the measured soybean and soil traits using significant regression equations with the highest coefficients of determination. A heatmap was built using the Pearson correlation coefficients (p ≤ 0.05) among variables, and only significant correlations were shown. Principal component analysis (PCA) was performed using the statistical software Canoco v. 4.5.

3. Results

As the TM dose increased, the Mg and Si concentrations in maize leaves also increased (p ≤ 0.05) in both clayey and sandy soils (Figure 2). When maize was established in clayey soil at the highest TM dose, the leaf Mg concentration reached 3.44 g kg−1 (Figure 2A), and the leaf Si concentration reached 15.42 g kg−1 (Figure 2B). In sandy soil, at the highest TM dose, the leaf concentrations of Mg and Si reached 3.76 and 15.55 g kg−1 (Figure 2C,D), respectively.
The concentrations of sugars in maize leaves also responded to the TM dose (Figure 3). The reducing sugars increased (p ≤ 0.05) linearly up to the highest TM dose, regardless of soil texture, reaching concentrations of 76.76 g kg−1 in clayey soil (Figure 3A) and 83.76 g kg−1 in sandy soil (Figure 3D). By contrast, the concentrations of sucrose and starch decreased (p ≤ 0.05) proportionally with the increasing TM dose, reaching their lowest values of 42.17 g kg−1 and 44.25 g kg−1, respectively, in clayey soil (Figure 3B,C) and 54.07 and 53.21 g kg−1, respectively, in sandy soil (Figure 3E,F) at the highest TM dose.
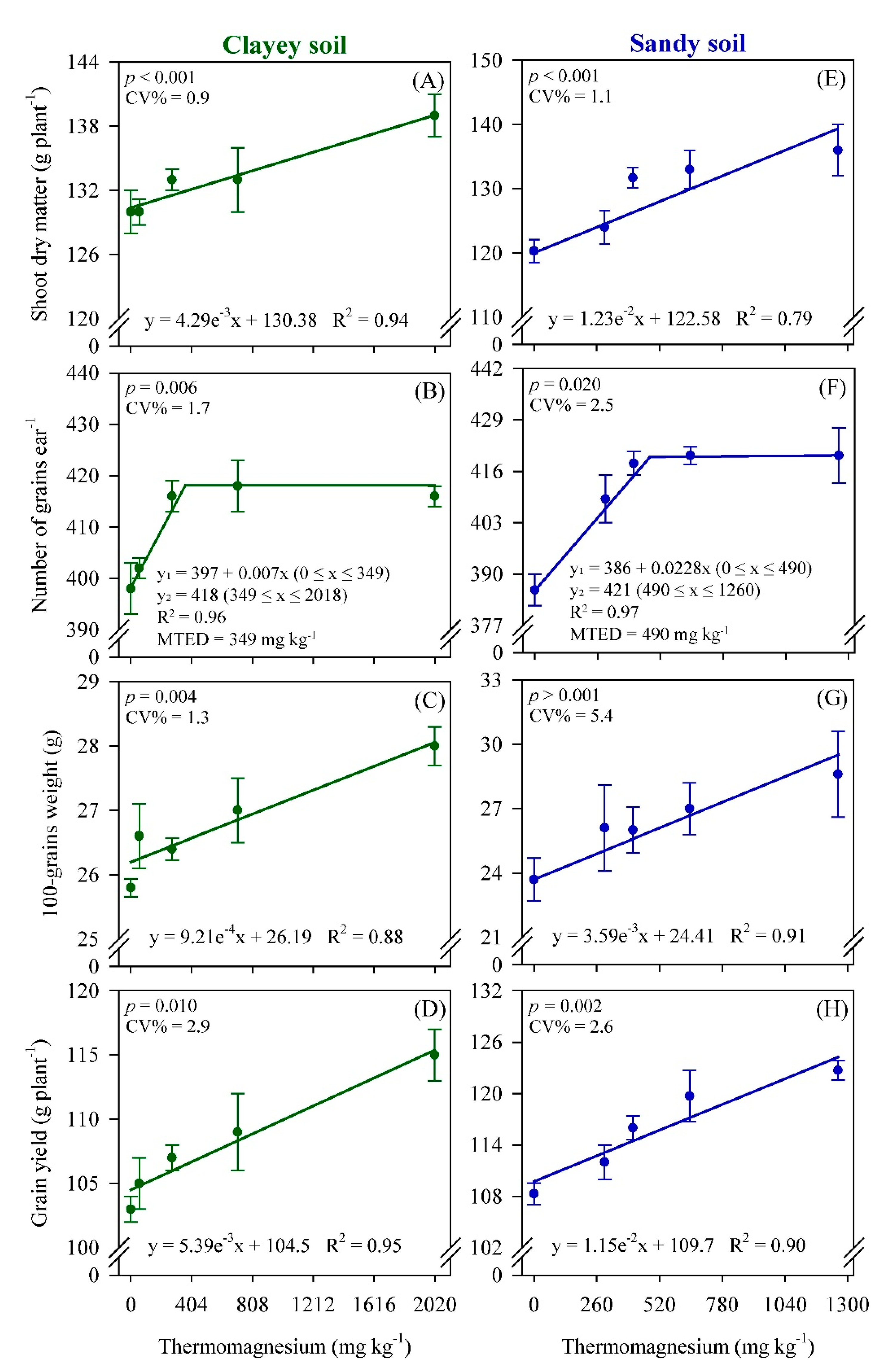
The yield parameters and grain yield of the maize increased (p ≤ 0.05) with increasing the TM dose in both soils (Figure 4). The shoot dry matter reached 139 g plant−1 in clayey soil (Figure 4A) and 138 g plant−1 in sandy soil (Figure 4E). In both soils, the mean number of grains as a function of TM dose fit a quadratic equation (p ≤ 0.05). In clayey soil, the maximum grain yield per ear (418 grains) of maize occurred at a maximum technical efficiency dose (MTED) of 349 mg kg−1 (Figure 4B), whereas in sandy soil, the MTED was 490 mg kg−1 to produce a maximum of 421 grains per ear (Figure 4F). The maize W100G and grain yield increased (p ≤ 0.05) linearly with the TM dose in both soils. At the highest TM dose, the W100G was 28.04 g in clayey soil, and 28.93 g in sandy soil, while the grain yield was 115.4 g plant−1 and 124 g plant−1 (Figure 4C,G,D,H, respectively).
Increasing the TM dose also altered the chemical attributes (p ≤ 0.05) of both soils (Figure 5). The pH increased linearly with the TM dose in clayey soil, reaching pH 5.61 at the highest dose (Figure 5A), whereas in sandy soil, the maximum pH was 5.75 at an MTED of 965 mg kg−1 (Figure 5D). Similar to the patterns of the leaf concentrations of Mg and Si, the levels of these elements in soil increased linearly with the TM dose. At the highest TM dose, the available Mg2+ and Si levels reached 20.98 mmolc kg−1 and 14.5 mg kg−1, respectively, in clayey soil (Figure 5B,C), and 8.95 mmolc kg−1 and 8.56 mg kg−1, respectively, in sandy soil (Figure 5E,F).
Pearson’s correlation analysis revealed different patterns of significant correlations (p ≤ 0.05) of the parameters between clayey and sandy soils (Figure 6). For maize established in clayey soil, significant correlations were observed among all parameters, except the number of grains per ear (Figure 6A). Only sucrose and starch were negatively correlated with the other parameters, but were positively correlated with each other. However, in sandy soil, soil available Si correlated significantly only with reducing sugar and available Mg2+ (Figure 6B), and Mg2+ did not correlate with shoot dry matter and W100G. Interestingly, in both soils, the grain yield was significantly correlated with W100G, but not the number of grains per ear.
PCA clearly segregated the TM doses according to the general similarity of effects on all of the evaluated parameters. In clayey soil, both PCA and PERMANOVA indicated a greater similarity between the two lowest TM doses (control and 55 mg kg−1) and between the two subsequent doses (273 and 709 mg kg−1). The highest dose (2018 mg kg−1) showed unique behavior and was superior to the other doses, with the best responses of maize and soil parameters (Figure 6C). Similarly, in sandy soil, PCA showed a gradient of responses to TM dose (Figure 6D). PERMANOVA segregated the TM doses into three groups according to the general similarity of their effects on the following parameters: the control treatments of 293, 410, and 645 mg kg−1, and the highest TM dose, 1260 mg kg−1.

4. Discussion

The vast majority of studies of the reuse of industrial waste are limited to examining the petrography and mineralogy of these by-products and/or their potential use as nutrient remineralizers in soil [13,41,42,43]. By contrast, the present study investigated the direct impacts of supplying a by-product of Ni ore mining (TM) as a clean and sustainable fertilizer capable of improving plant metabolism and, consequently, maize grain yield.
Agricultural repurposing of TM as a Si–Mg fertilizer efficiently increased the levels of these elements in both the soil and maize leaves, particularly at the highest dose, as confirmed by PCA. Mg is considered a “forgotten” element in agriculture [44,45], and almost all Mg applied for agriculture comes from liming [46,47,48]. Thus, by-products such as TM provide a sustainable alternative for supplying Mg for cropping systems [12]. Supplying Mg to maize may improve crop growth and yield because of the important roles of Mg in plant metabolism, especially in photosynthesis and the activation of numerous key chloroplast enzymes [22,44,49,50].
Unfortunately, the impact of supplying Si to crops has received little attention [51]. Si is an important nutrient for plant growth and is the only nutrient that is not harmful when over-absorbed by plants [43]. Si relieves abiotic stress [52] by forming physical barriers through deposition in the cell wall of the plant, and may also activate plant defense enzymes to reduce the production of reactive oxygen species (ROS) [53], in addition to increasing crop productivity and quality [54,55]. The benefits of Si for crops are most evident in accumulating plants, such as maize, rice, wheat, barley, and pumpkin [53,56,57,58]. Si application is particularly beneficial for these crops, as the active uptake of Si occurs via transporters located on the plasma membrane [59,60]. TM could be an important alternative source of silicate for production systems, especially in acidic soils, which are typically Si-deficient [61].
Thermomagnesium also has a high neutralizing power for soil acidity [12], as it is composed of 51% SiO32− and 28% MgO, which have respective neutralization capacities relative to CaCO3 of 1.0- and 2.48-fold, respectively [62]. Moreover, TM is more soluble than lime and thus may mitigate soil acidity more efficiently, in addition to providing Mg and Si to the soil [63], as observed in the soil and maize leaf analyses. Soil pH is an important determinant of Mg and Si availability in soil. As the TM level increased, soil pH increased linearly in clayey soil, but according to a quadratic model in sandy soil. The latter behavior can be explained by the low buffering power of sandy soil; as the pH increases, the effect of the acidity-correcting agent decreases [64]. Because of the low buffering power of sandy soils [65], caution is required in order to avoid excessive applications of soil amendments that drastically change the soil pH, such as carbonate- and silicate-based amendments. Increasing the soil pH above the range considered suitable for most crops (pH (H2O) 5.5–6.5) reduces the availability of some nutrients, especially cationic micronutrients, for plant uptake as result of hydroxylation and subsequent precipitation [48,66,67,68]. As clayey soil naturally has a higher colloidal cation retention capacity, the Mg and Si concentrations were higher in the clayey soil than in the sandy soil.
The improvements in soil pH and Si–Mg availability and in Si–Mg plant nutrition also enhanced carbohydrate metabolism, mainly at higher doses, as supported by PCA. Like potassium (K), Mg plays prominent roles in processes that are strongly associated with the photosynthesis and translocation of photosynthates [20,69]. Plant growth and metabolism are dependent on the translocation of carbohydrates from source-to-sink organs [20,45]. Sucrose is the main form of carbohydrate transported in plants, via phloem, and is greatly affected by Mg levels [22,44]. Mg scarcity reduces the efficiency of long-distance carbon transport [17], resulting in the accumulation of high levels of carbohydrates in leaves. The accumulation of carbohydrates leads to an increase in the production of reactive oxygen species (ROS) in chloroplasts, which limits photosynthetic efficiency through a negative feedback effect, further depriving sink organs of carbohydrates [17,44].
The dynamics among the concentrations of reducing sugars, sucrose and starch, in the leaves of the plant change depending on the availability of intracellular Mg [70]. In the presence of light, sucrose is transported from the leaf’s cytosol to vascular tissues, and starch accumulates in the chloroplasts; at night, this starch serves as a carbon skeleton source for sucrose synthesis [71]. Reducing sugars are produced via carbon fixation, which can be increased by supplying Mg [70]. Our results suggest that along with the increase in the partitioning of photoassimilates, the photosynthetic activity and the production of reducing sugars increased. The enhanced partitioning of more complex sugars (sucrose and starch) to vascular organs reduces the concentrations of these sugars in the source leaves [17]. Our findings indicate that the translocation of sugars to vascular organs occurs efficiently, and that the plant’s photosynthetic metabolism quickly replenishes these sugars to maintain high levels of reducing sugars in the cytosol. Similarly, the starch formed in the chloroplasts reduces the translocation of photosynthates because of their consumption as a source of carbon skeletons during respiration [22,71].
The observations of the vegetative and reproductive development of maize plants corroborated the results of the nutritional and carbohydrate analyses, with better results at the highest TM dose. This conclusion was also supported by PCA. Energy reserves are essential for cell multiplication by the plant. Thus, Si–Mg supplementation of maize ensures greater efficiency of the photosynthetic metabolism. Magnesium acts directly in these processes, starting as a component of the chlorophyll molecule, through the activation of Rubisco in the process of carboxylation, and finally the partitioning of photoassimilates by the plant organs [17,22,45]. The plant converts this energy into dry matter accumulation during the vegetative stage and in grain filling in the reproductive stage. The number of grains per ear, W100G, and grain yield per plant were strongly affected by the TM application. A low response to the highest TM doses occurred for the number of grains per ear. The increase in these values may be related to the greater transport of photoassimilates to the ear during grain formation; however, the grain weight seemed to be the most determining factor of the grain yield. In both soil textures, the correlation analysis showed a strong correlation of grain yield with W100G, which is determined by the assimilation transport rate during the grain filling period [72,73]. The direct translocation of assimilates and the redistribution of the reserve pool of assimilates contribute to grain filling [22]. Starch is the most abundant component of cereal grains, and a reduced carbohydrate content or low translocation of this carbohydrate to the reproductive organs will reduce the grain weight [74]. Thus, reduced carbohydrate translocation to grains as a result of a low Mg supply will directly reduce the grain yield. In addition to the benefits of TM as a result of the supply of Mg, the supply of Si by TM significantly enhances plant productive responses [53,56]. Si substantially improves the foliar architecture of plants, especially monocotyledons [59], favoring light interception, with a consequent increase in photosynthesis [56].

5. Conclusions

Our study confirmed that TM is yet another suitable and clean alternative fertilizer for agricultural systems that can improve soil pH and actively provide Si and Mg to soil and plants, regardless of soil texture, especially when applied at larger doses. Maize plants established in soils amended with TM were more metabolically active, redistributed their photosynthates appropriately among plant organs, and consequently reached a higher grain yield potential. Given these promising results, the application of TM as a new form of fertilizer should be considered for a variety of crops, soil conditions, and agricultural systems worldwide in order to help solve problems related to the disposal of by-products of mining, while simultaneously decreasing the consumption of highly soluble fertilizers.

Author Contributions

Conceptualization, J.W.B., R.R., and C.A.C.C.; methodology, L.G.M.; software, J.W.B.; validation, L.G.M. and J.R.P.; formal analysis, J.W.B.; investigation, J.R.P.; resources, R.R.; writing—original draft preparation, J.W.B.; writing—review and editing, L.G.M. and J.R.P.; supervision, C.A.C.C. All authors have read and agreed to the published version of the manuscript.

Funding

This research was funded by National Council for Scientific and Technological Development (CNPq), grant number: 303119/2016-0.

Institutional Review Board Statement

Not applicable.

Informed Consent Statement

Not applicable.

Data Availability Statement

The datasets analyzed during the current study are available from the corresponding author upon reasonable request.

Acknowledgments

The National Council for Scientific and Technological Development (CNPq) is acknowledged for the “Excellence in Research” award given to the fifth author. In addition, we would like to thank to Anglo American, Brazil, for their support.

Conflicts of Interest

The authors declare no conflict of interest.

References

  1. Ranum, P.; Peña-Rosas, J.P.; Garcia-Casal, M.N. Global maize production, utilization, and consumption. Ann. N. Y. Acad. Sci. 2014, 1312, 105–112. [Google Scholar] [CrossRef]
  2. FAO. The State of Food Security and Nutrition in the World 2019; FAO: Rome, Italy, 2019. [Google Scholar]
  3. Sentelhas, P.C.; Battisti, R.; Câmara, G.M.S.; Farias, J.R.B.; Hampf, A.C.; Nendel, C. The soybean yield gap in Brazil-Magnitude, causes and possible solutions for sustainable production. J. Agric. Sci. 2015, 153, 1394–1411. [Google Scholar] [CrossRef]
  4. Stewart, W.M.; Dibb, D.W.; Johnston, A.E.; Smyth, T.J. The contribution of commercial fertilizer nutrients to food production. Agron. J. 2005, 97, 1–6. [Google Scholar] [CrossRef]
  5. Rehman, A.; Chandio, A.A.; Hussain, I.; Jingdong, L. Fertilizer consumption, water availability and credit distribution: Major factors affecting agricultural productivity in Pakistan. J. Saudi Soc. Agric. Sci. 2019, 18, 269–274. [Google Scholar] [CrossRef]
  6. Goulding, K.; Jarvis, S.; Whitmore, A. Optimizing nutrient management for farm systems. Philos. Trans. R. Soc. B Biol. Sci. 2008, 363, 667–680. [Google Scholar] [CrossRef] [PubMed]
  7. Heffer, P. Assessment of Fertilizer Use by Crop at the Global Level. Int. Fertil. Ind. Assoc. 2017, 5, 9. [Google Scholar]
  8. Moretti, L.G.; Lazarini, E.; Bossolani, J.W.; Parente, T.L.; Caioni, S.; Araujo, R.S.; Hungria, M. Can additional inoculations increase soybean nodulation and grain yield? Agron. J. 2018, 110, 715–721. [Google Scholar] [CrossRef]
  9. Moretti, L.G.; Bossolani, J.W.; Crusciol, C.A.C.; Moreira, A.; Micheri, P.H.; Rossi, R.; Imaizumi, C. Dunite in Agriculture: Physiological Changes, Nutritional Status and Soybean Yield. Commun. Soil Sci. Plant Anal. 2019, 50, 1775–1784. [Google Scholar] [CrossRef]
  10. Crusciol, C.A.C.; Moretti, L.G.; Bossolani, J.W.; Moreira, A.; Micheri, P.H.; Rossi, R. Can Dunite Promote Physiological Changes, Magnesium Nutrition and Increased Corn Grain Yield? Commun. Soil Sci. Plant Anal. 2019, 50, 2343–2353. [Google Scholar] [CrossRef]
  11. Korchagin, J.; Caner, L.; Bortoluzzi, E.C. Variability of amethyst mining waste: A mineralogical and geochemical approach to evaluate the potential use in agriculture. J. Clean. Prod. 2019, 210, 749–758. [Google Scholar] [CrossRef]
  12. Moretti, L.G.; Crusciol, C.A.C.; Bossolani, J.W.; Rossi, R.; Moreira, A. Agricultural repurposing of nickel slag residue. J. Plant Nutr. 2020. [Google Scholar] [CrossRef]
  13. Dalmora, A.C.; Ramos, C.G.; Silva Oliveira, M.L.; Silva Oliveira, L.F.; Homrich Schneider, I.A.; Kautzmann, R.M. Application of andesite rock as a clean source of fertilizer for eucalyptus crop: Evidence of sustainability. J. Clean. Prod. 2020, 256, 120432. [Google Scholar] [CrossRef]
  14. Das, S.; Galgo, S.J.; Alam, M.A.; Lee, J.G.; Hwang, H.Y.; Lee, C.H.; Kim, P.J. Recycling of ferrous slag in agriculture: Potentials and challenges. Crit. Rev. Environ. Sci. Technol. 2020, 2020, 1–35. [Google Scholar] [CrossRef]
  15. Emamverdian, A.; Ding, Y.; Xie, Y.; Sangari, S. Silicon mechanisms to ameliorate heavy metal stress in plants. Biomed Res. Int. 2018, 2018, 8492898. [Google Scholar] [CrossRef]
  16. Castro, G.S.A.; Crusciol, C.A.C. Effects of surface application of dolomitic limestone and calcium-magnesium silicate on soybean and maize in rotation with green manure in a tropical region. Bragantia 2015, 74, 311–321. [Google Scholar] [CrossRef]
  17. Farhat, N.; Elkhouni, A.; Zorrig, W.; Smaoui, A.; Abdelly, C.; Rabhi, M. Effects of magnesium deficiency on photosynthesis and carbohydrate partitioning. Acta Physiol. Plant. 2016, 38. [Google Scholar] [CrossRef]
  18. Garcia, A.; Crusciol, C.A.C.; McCray, J.M.; Nascimento, C.A.C.; Martello, J.M.; de Siqueira, G.F.; Tarumoto, M.B. Magnesium as apromoter of technological quality in sugarcane. J. Soil Sci. Plant Nutr. 2020, 20, 19–30. [Google Scholar] [CrossRef]
  19. Castro, G.S.A.; Crusciol, C.A.C. Effects of superficial liming and silicate application on soil fertility and crop yield under rotation. Geoderma 2013, 195–196, 234–242. [Google Scholar] [CrossRef]
  20. Tränkner, M.; Tavakol, E.; Jákli, B. Functioning of potassium and magnesium in photosynthesis, photosynthate translocation and photoprotection. Physiol. Plant. 2018, 163, 414–431. [Google Scholar] [CrossRef]
  21. Tränkner, M.; Jaghdani, S.J. Minimum magnesium concentrations for photosynthetic efficiency in wheat and sunflower seedlings. Plant Physiol. Biochem. 2019, 144, 234–243. [Google Scholar] [CrossRef] [PubMed]
  22. Ceylan, Y.; Kutman, U.B.; Mengutay, M.; Cakmak, I. Magnesium applications to growth medium and foliage affect the starch distribution, increase the grain size and improve the seed germination in wheat. Plant Soil 2016, 406, 145–156. [Google Scholar] [CrossRef]
  23. Young, R.A. The rietveld method. Int. Union Crystallogr. 1993, 5, 1–38. [Google Scholar]
  24. Brazil Normative Instruction SDA/MAPA 27/2006. Available online: http://www.mma.gov.br/estruturas/ascom_boletins/_arquivos/03042008_regulamentaprocedimentos.pdf (accessed on 20 June 2020).
  25. Santos, H.G.; Jacomine, P.T.; Dos Anjos, L.H.C.; de Oliveira, V.A.; Lumbreras, J.F.; Coelho, M.R.; Almeida, J.A.; Araujo Filho, J.C.; Oliveira, J.B.; Cunha, T.J.F. Brazilian Soil Classification System-Portal Embrapa, 5th ed.; Embrapa Solos: Brasília, Brazil, 2018; ISBN 978-85-7035-817-2. [Google Scholar]
  26. Jahn, R.; Blume, H.P.; Asio, V.B.; Spaargaren, O.; Schad, P. Guidelines for Soil Description; FAO: Rome, Italy, 2006. [Google Scholar]
  27. Soil Survey Staff. Keys to Soil Taxonomy, 12th ed.; USDA-Natural Resources Conservation Service: Washington, DC, USA, 2014. [Google Scholar]
  28. Donagema, G.K.; Viana, J.H.M.; Almeida, B.G.; Ruiz, H.A.; Klein, V.A.; Dechen, S.C.F.; Fernandes, R.B.A. Granulometric analysis. In Soil Analysis Methods Manual; Teixeira, P.C., Donagema, G.K., Fontana, A., Teixeira, W.G., Eds.; Embrapa Solos: Brasília, Brazil, 2017; pp. 95–116. [Google Scholar]
  29. van Raij, B.; Quaggio, J.A.; Cantarella, H.; Abreu, C.A. Análise Química Para Avaliação da Fertilidade de Solos Tropicais; Instituto Agronômico: Campinas, Brazil, 2001. [Google Scholar]
  30. Cassel, D.K.; Nielsen, D.R. Field Capacity and Available Water Capacity. In Methods of Soil Analysis: Part 1 Physical and Mineralogical Method; Klute, A., Ed.; American Society of Agronomy, Soil Sciense Society of America: Madison, WI, USA, 1986; Volume 2, pp. 901–926. [Google Scholar]
  31. Moretti, L.G.; Crusciol, C.A.C.; Kuramae, E.E.; Bossolani, J.W.; Moreira, A.; Costa, N.R.; Alves, C.J.; Pascoaloto, I.M.; Rondina, A.B.L.; Hungria, M. Effects of growth-promoting bacteria on soybean root activity, plant development, and yield. Agron. J. 2020, 112, 418–428. [Google Scholar] [CrossRef]
  32. Ritchie, S.W.; Hanway, J.J.; Benson, G.O. How a Corn Plant Develops; Special Report n. 48. Iowa State University of Science and Technology; Iowa State University: Ames, IA, USA, 1993. [Google Scholar]
  33. Malavolta, E.; Vitti, G.C.; Oliveira, S.A. Evaluation of Nutritional Status of Plants: Principles and Applications, 2nd ed.; POTAFOS: Piracicaba, Brazil, 1997. [Google Scholar]
  34. Nelson, N. A photometric adaptation of the Somogyi method for the determination of glucose. J. Biol. Chem. 1944, 153, 375–380. [Google Scholar] [CrossRef]
  35. Embrapa. Manual de Métodos de Análise de Solo, 2nd ed.; EMBRAPA-CNPS: Rio de Janeiro, Brazil, 1997; Volume 26. [Google Scholar]
  36. Korndörfer, G.H.; Pereira, H.S.; Nolla, A. Análise de silício: Solo, planta e fertilizante. In Uberlândia: GPSi-ICIAG-UFU (Boletim técnico, 2); Instituto de Ciências Agrárias, Universidade Federal de Uberlândia: Uberlândia, Brazil, 2004; p. 34. [Google Scholar]
  37. Shapiro, S.S.; Wilk, M.B. An Analysis of Variance Test for Normality (Complete Samples). Biometrika 1965, 52, 591–611. [Google Scholar] [CrossRef]
  38. Levene, H. Robust tests for equality of variances. In Contributions to Probability and Statistics: Essays in …; Olkin, I., Ghurye, S.G., Hoeffding, W., Madow, W.G., Mann, H.B., Eds.; Stanford University Press: Stanford, CA, USA, 1960; Volume 69, pp. 278–292. [Google Scholar]
  39. Bartlett, M.S. Properties of sufficiency and statistical tests. Proc. R. Soc. London. Ser. A-Math. Phys. Sci. 1937, 160, 268–282. [Google Scholar] [CrossRef]
  40. SAS Institute Procedure Guide for Personal Computers; Version 9.4; SAS Institute: Cary, NC, USA, 2015.
  41. Plata, L.G.; Ramos, C.G.; Silva Oliveira, M.L.; Silva Oliveira, L.F. Release kinetics of multi-nutrients from volcanic rock mining by-products: Evidences for their use as a soil remineralizer. J. Clean. Prod. 2021, 279, 123668. [Google Scholar] [CrossRef]
  42. Aquino, J.M.; Taniguchi, C.A.K.; Magini, C.; Berni, G.V. The potential of alkaline rocks from the Fortaleza volcanic province (Brazil) as natural fertilizers. J. S. Am. Earth Sci. 2020, 103, 102800. [Google Scholar] [CrossRef]
  43. Dalmora, A.C.; Ramos, C.G.; Plata, L.G.; da Costa, M.L.; Kautzmann, R.M.; Oliveira, L.F.S. Understanding the mobility of potential nutrients in rock mining by-products: An opportunity for more sustainable agriculture and mining. Sci. Total Environ. 2020, 710, 136240. [Google Scholar] [CrossRef] [PubMed]
  44. Cakmak, I.; Kirkby, E.A. Role of magnesium in carbon partitioning and alleviating photooxidative damage. Physiol. Plant. 2008, 133, 692–704. [Google Scholar] [CrossRef] [PubMed]
  45. Hauer-Jákli, M.; Tränkner, M. Critical leaf magnesium thresholds and the impact of magnesium on plant growth and photo-oxidative defense: A systematic review and meta-analysis from 70 years of research. Front. Plant Sci. 2019, 10, 1–15. [Google Scholar] [CrossRef]
  46. Li, Y.; Cui, S.; Chang, S.X.; Zhang, Q. Liming effects on soil pH and crop yield depend on lime material type, application method and rate, and crop species: A global meta-analysis. J. Soils Sediments 2019, 19, 1393–1406. [Google Scholar] [CrossRef]
  47. Bossolani, J.W.; Lazarini, E.; Santos, F.L.; Sanches, I.R.; Meneghette, H.H.A.; Parra, L.F.; Souza, L.G.M. Surface Reapplication of Lime and Gypsum on Maize Cultivated Sole and Intercropped with Urochloa. Commun. Soil Sci. Plant Anal. 2018, 49, 1855–1868. [Google Scholar] [CrossRef]
  48. Bossolani, J.W.; dos Santos, F.L.; Meneghette, H.H.A.; Sanches, I.R.; Moretti, L.G.; Parra, L.F.; Lazarini, E. Soybean in Crop Rotation with Maize and Palisade Grass Intercropping Enhances the Long-term Effects of Surface Liming in No-till System. J. Soil Sci. Plant Nutr. 2020, 21, 119–130. [Google Scholar] [CrossRef]
  49. Jaghdani, S.J.; Jahns, P.; Tränkner, M. Mg deficiency induces photo-oxidative stress primarily by limiting CO2 assimilation and not by limiting photosynthetic light utilization. Plant Sci. 2021, 302, 110751. [Google Scholar] [CrossRef]
  50. Siddiqui, M.H.; Alamri, S.A.; Al-Khaishany, M.Y.Y.; Al-Qutami, M.A.; Ali, H.M.; Al-Whaibi, M.H.; Al-Wahibi, M.S.; Alharby, H.F. Mitigation of adverse effects of heat stress on Vicia faba by exogenous application of magnesium. Saudi J. Biol. Sci. 2018, 25, 1393–1401. [Google Scholar] [CrossRef] [PubMed]
  51. Preston, H.A.F.; Henrique de Sousa Nunes, G.; Preston, W.; Barbosa de Souza, E.; de Lima Ramos Mariano, R.; Datnoff, L.E.; Araújo do Nascimento, C.W. Slag-based silicon fertilizer improves the resistance to bacterial fruit blotch and fruit quality of melon grown under field conditions. Crop Prot. 2020, 105460, in press. [Google Scholar] [CrossRef]
  52. Laxmanarayanan, M.; Prakash, N.B.; Dhumgond, P.; Ashrit, S. Slag-Based Gypsum as a Source of Sulphur, Calcium and Silicon and Its Effect on Soil Fertility and Yield and Quality of Groundnut in Southern India. J. Soil Sci. Plant Nutr. 2020, 20, 2698–2713. [Google Scholar]
  53. Luyckx, M.; Hausman, J.-F.; Lutts, S.; Guerriero, G. Silicon and plants: Current knowledge and technological perspectives. Front. Plant Sci. 2017, 8, 411. [Google Scholar] [CrossRef]
  54. Keeping, M.G. Uptake of silicon by sugarcane from applied sources may not reflect plant-available soil silicon and total silicon content of sources. Front. Plant Sci. 2017, 8, 1–14. [Google Scholar] [CrossRef]
  55. Beerling, D.J.; Leake, J.R.; Long, S.P.; Scholes, J.D.; Ton, J.; Nelson, P.N.; Bird, M.; Kantzas, E.; Taylor, L.L.; Sarkar, B.; et al. Farming with crops and rocks to address global climate, food and soil security. Nat. Plants 2018, 4, 138–147. [Google Scholar] [CrossRef]
  56. Haynes, R.J. Significance and Role of Si in Crop Production. In Advances in Agronomy; Academic Press Inc.: Cambridge, MA, USA, 2017; Volume 146, pp. 83–166. [Google Scholar]
  57. Yamaji, N.; Chiba, Y.; Mitani-Ueno, N.; Ma, J.F. Functional characterization of a silicon transporter gene implicated in silicon distribution in barley. Plant Physiol. 2012, 160, 1491–1497. [Google Scholar] [CrossRef]
  58. Ma, J.F.; Yamaji, N.; Mitani, N.; Tamai, K.; Konishi, S.; Fujiwara, T.; Katsuhara, M.; Yano, M. An efflux transporter of silicon in rice. Nature 2007, 448, 209–212. [Google Scholar] [CrossRef] [PubMed]
  59. Guntzer, F.; Keller, C.; Meunier, J.-D. Benefits of plant silicon for crops: A review. Agron. Sustain. Dev. 2012, 32, 201–213. [Google Scholar] [CrossRef]
  60. Deshmukh, R.; Bélanger, R.R. Molecular evolution of aquaporins and silicon influx in plants. Funct. Ecol. 2016, 30, 1277–1285. [Google Scholar] [CrossRef]
  61. Tavakkoli, E.; Lyons, G.; English, P.; Guppy, C.N. Silicon nutrition of rice is affected by soil pH, weathering and silicon fertilisation. J. Plant Nutr. Soil Sci. 2011, 174, 437–446. [Google Scholar] [CrossRef]
  62. Alcarde, J.C. Corretivos da Acidez dos Solos: Características e Interpretações Técnicas; Associação Nacional para Difusão de Adubos ANDA: São Paulo, Brazil, 1992. [Google Scholar]
  63. Crusciol, C.A.C.; Artigiani, A.C.C.A.; Arf, O.; Carmeis Filho, A.C.A.; Soratto, R.P.; Nascente, A.S.; Alvarez, R.C.F. Soil fertility, plant nutrition, and grain yield of upland rice affected by surface application of lime, silicate, and phosphogypsum in a tropical no-till system. Catena 2016, 137, 87–99. [Google Scholar] [CrossRef]
  64. Crusciol, C.A.C.; Rossato, O.B.; Foltran, R.; Martello, J.M.; Nascimento, C.A.C. do Soil fertility, sugarcane yield affected by limestone, silicate, and gypsum application. Commun. Soil Sci. Plant Anal. 2017, 48, 2314–2323. [Google Scholar] [CrossRef]
  65. Kolahchi, Z.; Jalali, M. Effect of water quality on the leaching of potassium from sandy soil. J. Arid Environ. 2007, 68, 624–639. [Google Scholar] [CrossRef]
  66. Bossolani, J.W.; Crusciol, C.A.C.; Merloti, L.F.; Moretti, L.G.; Costa, N.R.; Tsai, S.M.; Kuramae, E.E. Long-term lime and gypsum amendment increase nitrogen fixation and decrease nitrification and denitrification gene abundances in the rhizosphere and soil in a tropical no-till intercropping system. Geoderma 2020, 375, 114476. [Google Scholar] [CrossRef]
  67. Barber, S.A. Soil Nutrient Bioavailability: A Mechanistic Approach; John Wiley & Sons: Hoboken, NJ, USA, 1995. [Google Scholar]
  68. Lindsay, W.L. Inorganic equilibria affecting micronutrients in soils. Micronutr. Agric. 1991, 4, 89–112. [Google Scholar]
  69. Cakmak, I.; Hengeler, C.; Marschner, H. Partitioning of shoot and root dry matter and carbohydrates in bean plants suffering from phosphorus, potassium and magnesium deficiency. J. Exp. Bot. 1994, 45, 1245–1250. [Google Scholar] [CrossRef]
  70. Garten, C.T. Correlations between concentrations of elements in plants. Nature 1976, 261, 686–688. [Google Scholar] [CrossRef]
  71. Jonik, C.; Sonnewald, U.; Hajirezaei, M.; Flügge, U.; Ludewig, F. Simultaneous boosting of source and sink capacities doubles tuber starch yield of potato plants. Plant Biotechnol. J. 2012, 10, 1088–1098. [Google Scholar] [CrossRef]
  72. Prathap, V.; Ali, K.; Singh, A.; Vishwakarma, C.; Krishnan, V.; Chinnusamy, V.; Tyagi, A. Starch accumulation in rice grains subjected to drought during grain filling stage. Plant Physiol. Biochem. 2019, 142, 440–451. [Google Scholar]
  73. Li, Q.; Du, L.; Feng, D.; Ren, Y.; Li, Z.; Kong, F.; Yuan, J. Grain-filling characteristics and yield differences of maize cultivars with contrasting nitrogen efficiencies. Crop J. 2020, 8, 990–1001. [Google Scholar] [CrossRef]
  74. Wang, X.; Cai, J.; Liu, F.; Jin, M.; Yu, H.; Jiang, D.; Wollenweber, B.; Dai, T.; Cao, W. Pre-anthesis high temperature acclimation alleviates the negative effects of post-anthesis heat stress on stem stored carbohydrates remobilization and grain starch accumulation in wheat. J. Cereal Sci. 2012, 55, 331–336. [Google Scholar] [CrossRef]
Figure 1. X-ray diffractogram for quantifying the mineralogical phases of Thermomagnesium from Ni ore mining. To calculate the amorphous material, 10% fluorite (ICDD 01-077-2093) was added.
Figure 1. X-ray diffractogram for quantifying the mineralogical phases of Thermomagnesium from Ni ore mining. To calculate the amorphous material, 10% fluorite (ICDD 01-077-2093) was added.
Agronomy 11 00525 g001
Figure 2. Leaf concentrations of (A,C) Mg and (B,D) Si in maize grown in clayey soil and sandy soil as a function of Thermomagnesium dose.
Figure 2. Leaf concentrations of (A,C) Mg and (B,D) Si in maize grown in clayey soil and sandy soil as a function of Thermomagnesium dose.
Agronomy 11 00525 g002
Figure 3. Leaf concentrations of (A,D) reducing sugars, (B,E) sucrose, and (C,F) starch in maize grown in clayey soil and sandy soil as a function of the Thermomagnesium dose.
Figure 3. Leaf concentrations of (A,D) reducing sugars, (B,E) sucrose, and (C,F) starch in maize grown in clayey soil and sandy soil as a function of the Thermomagnesium dose.
Agronomy 11 00525 g003
Figure 4. (A,E) Shoot dry matter, (B,F) number of grains per ear, (C,G) 100-grains weight, and (D,H) grain yield per plant of maize grown in clayey soil and sandy soil as a function of the Thermomagnesium dose.
Figure 4. (A,E) Shoot dry matter, (B,F) number of grains per ear, (C,G) 100-grains weight, and (D,H) grain yield per plant of maize grown in clayey soil and sandy soil as a function of the Thermomagnesium dose.
Agronomy 11 00525 g004
Figure 5. (A,D) Soil pH, (B,E) exchangeable Mg2+, and (C,F) Si availability in clayey and sandy soils as a function of the Thermomagnesium dose.
Figure 5. (A,D) Soil pH, (B,E) exchangeable Mg2+, and (C,F) Si availability in clayey and sandy soils as a function of the Thermomagnesium dose.
Agronomy 11 00525 g005
Figure 6. Heatmap of Pearson’s correlation (A—Clayey soil, and B—Sandy soil) and principal component analysis (PCA) (C—Clayey soil, and D—Sandy soil) of soil and maize parameters. In the heatmap, only significant correlations at p ≤ 0.05 are shown. Reducing sugar (RS), sucrose (Suc), shoot dry matter (SDM), number of grains per ear (NGE), weight of 100 grains (W100G), and grain yield (GY).
Figure 6. Heatmap of Pearson’s correlation (A—Clayey soil, and B—Sandy soil) and principal component analysis (PCA) (C—Clayey soil, and D—Sandy soil) of soil and maize parameters. In the heatmap, only significant correlations at p ≤ 0.05 are shown. Reducing sugar (RS), sucrose (Suc), shoot dry matter (SDM), number of grains per ear (NGE), weight of 100 grains (W100G), and grain yield (GY).
Agronomy 11 00525 g006
Table 1. Chemical composition of Thermomagnesium from nickel ore mining in São Paulo State, Brazil.
Table 1. Chemical composition of Thermomagnesium from nickel ore mining in São Paulo State, Brazil.
Mineral SpeciesChemical FormulaAbundanceUnit
Chemical composition
ArsenicAs3+<5mg·kg−1
CadmiumCd2+<5mg·kg−1
LeadPb2+<5mg·kg−1
MercuryHg2+<0.20mg·kg−1
SeleniumSe2+<0.10mg·kg−1
ChromiumCr3+0.88%
NickelNi2+0.11%
Mineralogical phases
Amorphous phase-74%
ForsteriteMg1.8Fe0.2SiO424%
LizarditeMg3Si2(OH)4O52%
Mineral groups
Magnesium oxideMgO28%
Silicon dioxideSiO248%
Table 2. Physicochemical properties of soil types (0.00–0.20 m depth) in São Paulo, Brazil.
Table 2. Physicochemical properties of soil types (0.00–0.20 m depth) in São Paulo, Brazil.
Soil PropertiesUnitClayeySandy
Value
Clayg·kg−1602251
Siltg·kg−128125
Sandg·kg−1117724
Bulk densityg·cm−31.191.26
pH (CaCl2)5.205.40
Soil organic matterg·kg−125.013.0
Available phosphorus (P resin)mg·kg−16.003.00
ExchangeableCalcium (Ca2+ resin)mmolc·kg−135.018.0
Mg (Mg2+ resin)mmolc·kg−18.002.00
Potassium (K+ resin)mmolc kg−10.700.50
Aluminum (Al3+ KCl)mmolc·kg−10.000.00
Potential acidity (H+Al)mmolc·kg−129.018.0
S–Sulfate (S–SO42− Ca(H2PO4)2)mg·kg−19.006.00
Boron (B Hot water)mg·kg−10.400.30
Copper (Cu DTPA-TEA 1)mg·kg−14.001.00
Iron (Fe DTPA-TEA)mg·kg−112.017.0
Manganese (Mn DTPA-TEA)mg·kg−113.22.20
Zinc (Zn DTPA–TEA)mg·kg−10.900.40
Base saturation (BS)%60.053.3
Cation exchange capacity (CEC pH 7.0)mmolc·kg−172.738.5
1 DTPA–TEA—diethylenetriaminepentaacetic acid–triethanolamine.
Table 3. Fertilization performed in the greenhouse experiment in Botucatu, São Paulo, Brazil.
Table 3. Fertilization performed in the greenhouse experiment in Botucatu, São Paulo, Brazil.
NutrientDoseUnitSource
N50mg·kg−1NH4NO3
150 1mg·kg−1NH4NO3
P200mg·kg−1Ca(H2PO4)2
K50mg·kg−1KCL
100 1mg·kg−1K2SO4
Zn5.0mg·kg−1ZnSO4.7H2O
Mn5.0mg·kg−1MnSO4.3H2O
Fe2.5mg·kg−1FeSO4.2H2O
Cu1.5mg·kg−1CuSO4.7H2O
B0.5mg·kg−1H3BO3
1 Topdressing at the V3 maize phenological stage.
Publisher’s Note: MDPI stays neutral with regard to jurisdictional claims in published maps and institutional affiliations.

Share and Cite

MDPI and ACS Style

Bossolani, J.W.; Moretti, L.G.; Portugal, J.R.; Rossi, R.; Crusciol, C.A.C. Thermomagnesium: A By-Product of Ni Ore Mining as a Clean Fertilizer Source for Maize. Agronomy 2021, 11, 525. https://doi.org/10.3390/agronomy11030525

AMA Style

Bossolani JW, Moretti LG, Portugal JR, Rossi R, Crusciol CAC. Thermomagnesium: A By-Product of Ni Ore Mining as a Clean Fertilizer Source for Maize. Agronomy. 2021; 11(3):525. https://doi.org/10.3390/agronomy11030525

Chicago/Turabian Style

Bossolani, João William, Luiz Gustavo Moretti, José Roberto Portugal, Ricardo Rossi, and Carlos Alexandre Costa Crusciol. 2021. "Thermomagnesium: A By-Product of Ni Ore Mining as a Clean Fertilizer Source for Maize" Agronomy 11, no. 3: 525. https://doi.org/10.3390/agronomy11030525

APA Style

Bossolani, J. W., Moretti, L. G., Portugal, J. R., Rossi, R., & Crusciol, C. A. C. (2021). Thermomagnesium: A By-Product of Ni Ore Mining as a Clean Fertilizer Source for Maize. Agronomy, 11(3), 525. https://doi.org/10.3390/agronomy11030525

Note that from the first issue of 2016, this journal uses article numbers instead of page numbers. See further details here.

Article Metrics

Back to TopTop