Improving Grain Zinc Concentration in Wetland and Upland Rice Varieties Grown under Waterlogged and Well-Drained Soils by Applying Zinc Fertilizer
Abstract
1. Introduction
2. Materials and Methods
2.1. Experimental Design and Plant Culture
2.2. Sample Collection and Preparation
2.3. Chemical Analysis
2.4. Statistical Analysis
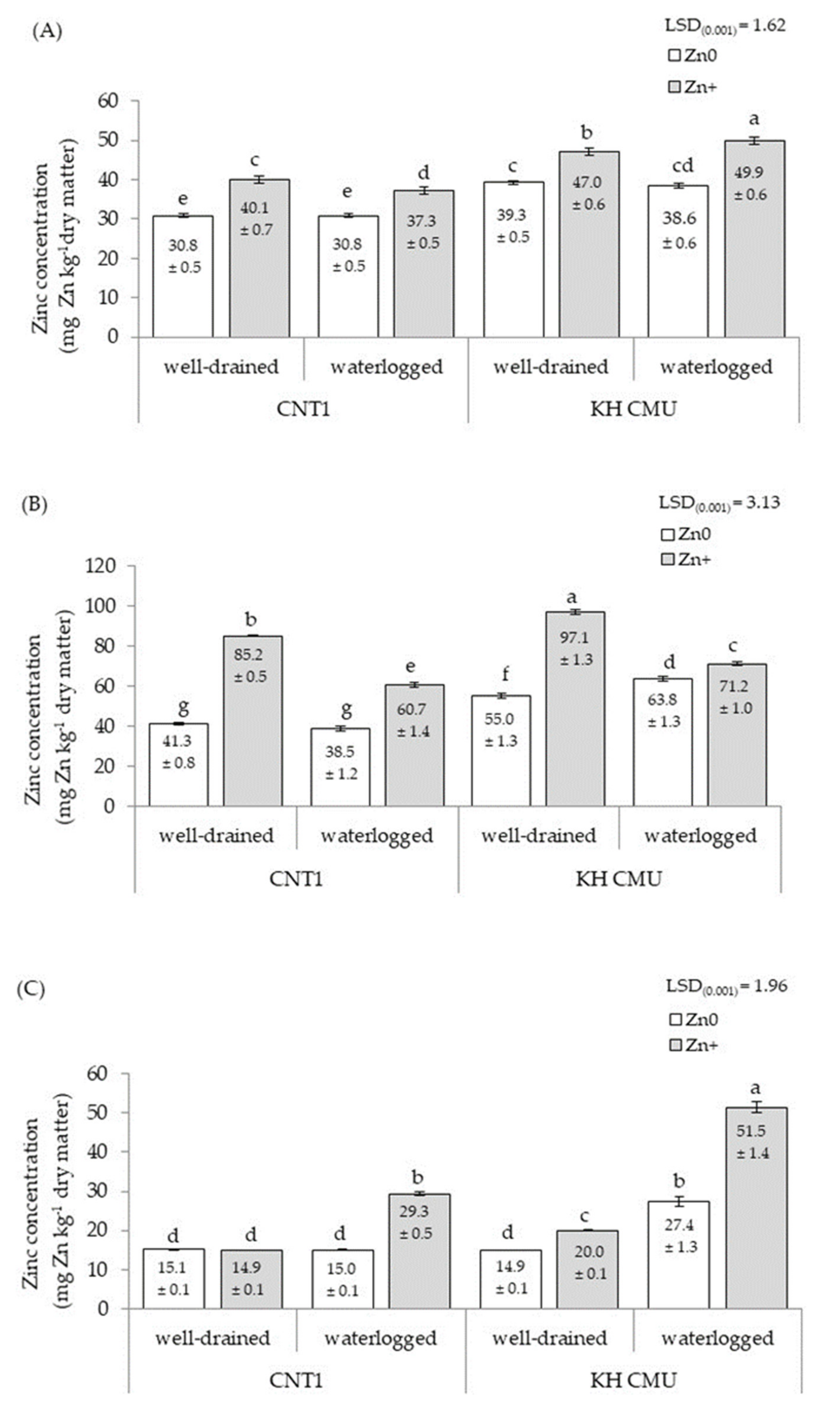
3. Results
4. Discussion
5. Conclusions
Author Contributions
Funding
Conflicts of Interest
References
- Alloway, B.J. Zinc in Soils and Crop Nutrition, 2nd ed.; International Zinc Association: Brussels, Belgium, 2008; pp. 1–139. [Google Scholar]
- Hafeez, B.; Khanif, Y.M.; Saleem, M. Role of zinc in plant nutrition-a review. Am. J. Exp. Agric. 2013, 3, 374. [Google Scholar] [CrossRef]
- Singh, B.; Natesan, S. Improving zinc efficiency of cereals under zinc deficiency. Curr. Sci. 2005, 88, 36–44. [Google Scholar]
- Prom-u-thai, C.; Rerkasem, B. Effect of zinc priming on zinc concentration of germinating rice seed. Chiang Mai Univ. J. Nat. Sci. 2012, 11, 421–428. [Google Scholar]
- Phattarakul, N.; Rerkasem, B.; Li, L.J.; Wu, L.H.; Zou, C.Q.; Ram, H.; Sohu, V.S.; Kang, B.S.; Surek, H.; Kalayci, M. Biofortification of rice grain with zinc through zinc fertilization in different, S.E. Enriching rice grain zinc through zinc fertilization and water management. Soil Sci. Soc. Am. J. 2016, 80, 121–134. [Google Scholar]
- NemeñoA, G.A. Effect of water management on zinc concentration in rice grains. In Proceedings of the 19th World Congress of Soil Science, Brisbane, Australia, 1–6 August 2010. [Google Scholar]
- Wang, Y.; Wei, Y.; Dong, L.; Lu, L.; Feng, Y.; Zhang, J.; Pan, F.; Yang, X. Improved yield and Zn accumulation for rice grain by Zn fertilization and optimized water management. J. Zhejiang Univ. Sci. B. 2014, 15, 365–374. [Google Scholar] [CrossRef] [PubMed]
- Ritasree, S.; Shashidhar, H.E.; Swamy, H.V.V. Influence of flooded and aerobic condition on growth and uptake of zinc in rice (Oryza sativa L.). Mysore J. Agric. Sci. 2018, 52, 334–339. [Google Scholar]
- Zhang, Q.; Chen, H.; Huang, D.; Xu, C.; Zhu, H.; Zhu, Q. Water managements countries. Plant Soil 2012, 361, 131–141. [Google Scholar]
- Tsakirpaloglou, N.; Swamy, B.M.; Acuin, C.; Slamet-Loedin, I.H. Biofortified Zn and Fe rice: Potential contribution for dietary mineral and human health, in: Nutritional quality improvement in plants. Springer 2019, 1–24. [Google Scholar]
- Tuyogon, D.S.J.; Impa, S.M.; Castillo, O.B.; Larazo, W. Johnson-Beeboutlimit heavy metal accumulation in rice: Dual effects of iron-plaque formation and microbial communities. Sci. Total Environ. 2019, 687, 790–799. [Google Scholar]
- Kreuzwieser, J.; Gessler, A. Global climate change and tree nutrition: Influence of water availability. Tree Physiol. 2010, 30, 1221–1234. [Google Scholar] [CrossRef]
- Ren, B.; Dong, S.; Zhao, B.; Liu, P.; Zhang, J. Responses of nitrogen metabolism, uptake and translocation of maize to waterlogging at different growth stages. Front. Plant Sci. 2017, 8, 1216. [Google Scholar] [CrossRef]
- Sadeghzadeh, B. A review of zinc nutrition and plant breeding. J. Soil Sci. Plant Nutr. 2013, 13, 905–927. [Google Scholar] [CrossRef]
- Gao, X.; Hoffland, E.; Stomph, T.; Grant, C.A.; Zou, C.; Zhang, F. Improving zinc bioavailability in transition from flooded to aerobic rice, A review. Agron. Sustain Dev. 2012, 32, 465–478. [Google Scholar] [CrossRef]
- Saenchai, C.; Lordkaew, S.; Rouached, H.; Rerkasem, B. Distribution of iron and zinc in plant and grain of different rice genotypes grown under aerobic and wetland conditions. J. Cereal Sci. 2016, 71, 108–115. [Google Scholar] [CrossRef]
- Maganti, S.; Swaminathan, R.; Parida, A. Variation in iron and zinc content in traditional rice genotypes. Agric. Res. 2019. [Google Scholar] [CrossRef]
- Cakmak, I.; McLaughlin, M.J.; White, P. Zinc for Better Crop Production and Human Health; Springer: Berlin/Heidelberg, Germany, 2017. [Google Scholar]
- Ghasal, P.C.; Shivay, Y.S.; Pooniya, V.; Choudhary, M.; Verma, R.K. Zinc partitioning in basmati rice varieties as influenced by Zn fertilization. Crop J. 2018, 6, 136–147. [Google Scholar] [CrossRef]
- Jaksomsak, P.; Rerkasem, B. Responses of grain zinc and nitrogen concentration to nitrogen fertilizer application in rice varieties with high-yielding low-grain zinc and low-yielding high grain zinc concentration. Plant Soil 2017, 411, 101–109. [Google Scholar] [CrossRef]
- Zaman, Q.U.; Aslam, Z.; Yaseen, M.; Ihsan, M.Z.; Khaliq, A.; Fahad, S.; Bashir, S.; Ramzani, P.M.A.; Naeem, M. Zinc biofortification in rice: Leveraging agriculture to moderate hidden hunger in developing countries. Arch. Agron. Soil Sci. 2018, 64, 147–161. [Google Scholar] [CrossRef]
- Yamuangmorn, S.; Rinsinjoy, R.; Lordkaew, S.; Dell, B. Responses of grain yield and nutrient content to combined zinc and nitrogen fertilizer in upland and wetland rice varieties grown in waterlogged and well-drained condition. J. Soil Sci. Plant Nutr. 2020, 20, 2112–2122. [Google Scholar] [CrossRef]
- Saito, K.; Asai, H.; Zhao, D.; Laborte, A.G.; Grenier, C. Progress in varietal improvement for increasing upland rice productivity in the tropics. Plant Prod. Sci. 2018, 21, 145–158. [Google Scholar] [CrossRef]
- Zarcinas, B.A.; Cartwright, B.; Spouncer, L.R. Nitric acid digestion and multi-element analysis of plant material by inductively coupled plasma spectrometry. Commun. Soil Sci. Plant Anal. 1987, 18, 131–146. [Google Scholar] [CrossRef]
- Chan, C.S.; Zainudin, H.; Saad, A.; Azmi, M. Productive water use in aerobic rice cultivation. J. Trop. Agric. Food Sci. 2012, 49, 117–126. [Google Scholar]
- Sahrawat, K.L. Soil fertility in flooded and non-flooded irrigated rice systems. Arch. Agron. Soil Sci. 2012, 58, 423–436. [Google Scholar] [CrossRef]
- Sahrawat, K.L. Nitrogen mineralization in lowland rice soils: The role of organic matter quantity and quality. Arch. Agron. Soil Sci. 2010, 56, 337–353. [Google Scholar] [CrossRef]
- Hu, P.; Ouyang, Y.; Wu, L.; Shen, L.; Luo, Y.; Christie, P. Effects of water management on arsenic and cadmium speciation and accumulation in an upland rice cultivar. J. Environ. Sci. 2015, 27, 225–231. [Google Scholar] [CrossRef]
- Fontes, R.L.F.; Ferreira, G.B.; Alvarez, V.V.H.; Neves, J.C.L.; de Faria, A.F.; Fontes, M.P.F. Bioavailability of soil Cu, Fe, Mn and Zn from soil fractions. Semin. Cienc. Agrar. 2021, 42, 19–42. [Google Scholar] [CrossRef]
- Bhaduri, D.; Mandal, A.; Chakraborty, K.; Chatterjee, D.; Dey, R. Interlinked chemical-biological processes in anoxic waterlogged soil-a review. Indian J. Agric. Sci. 2017, 87, 1587–1599. [Google Scholar]
- Guo, T.R.; Zhang, G.P.; Zhou, M.X.; Wu, F.B.; Chen, J.X. Influence of aluminum and cadmium stresses on mineral nutrition and root exudates in two barley cultivars. Pedosphere 2007, 17, 505–512. [Google Scholar] [CrossRef]
- Fontanili, L.; Lancilli, C.; Suzui, N.; Dendena, B.; Yin, Y.G.; Ferri, A.; Ishii, S.; Kawachi, N.; Lucchini, G.; Fujimaki, S. Kinetic analysis of zinc/cadmium reciprocal competitions suggests a possible Zn-insensitive pathway for root-to-shoot cadmium translocation in rice. Rice 2016, 9, 1–13. [Google Scholar] [CrossRef]
- Ramesh, S.A.; Shin, R.; Eide, D.J.; Schachtman, D.P. Differential metal selectivity and gene expression of two zinc transporters from rice. Plant Physiol. 2003, 133, 126–134. [Google Scholar] [CrossRef]
- Dimkpa, C.O.; White, J.C.; Elmer, W.H.; Gardea-Torresdey, J. Nanoparticle and ionic Zn promote nutrient loading of sorghum grain under low NPK fertilization. J. Agric. Food Chem. 2017, 65, 8552–8559. [Google Scholar] [CrossRef]
- Guo, J.X.; Feng, X.M.; Hu, X.Y.; Tian, G.L.; Ling, N.; Wang, J.H.; Shen, Q.R.; Guo, S.W. Effects of soil zinc availability, nitrogen fertilizer rate and zinc fertilizer application method on zinc biofortification of rice. J. Agric. Sci. 2016, 154, 584–597. [Google Scholar] [CrossRef]
- Singh, A.; Shivay, Y.S. Effects of green manures and zinc fertilizer sources on DTPA-extractable zinc in soil and zinc content in basmati rice plants at different growth stages. Pedosphere 2019, 29, 504–515. [Google Scholar] [CrossRef]
- Liu, H.; Wang, Z.H.; Li, F.; Li, K.; Yang, N.; Yang, Y.; Huang, D.; Liang, D.; Zhao, H.; Mao, H. Grain iron and zinc concentrations of wheat and their relationships to yield in major wheat production areas in China. Field Crops Res. 2014, 156, 151–160. [Google Scholar] [CrossRef]
- Karimi, A.; Moezzi, A.; Chorom, M.; Enayatizamir, N. Chemical fractions and availability of Zn in a calcareous soil in response to biochar amendments. J. Soil Sci. Plant Nutr. 2019, 19, 851–864. [Google Scholar] [CrossRef]
- Hippler, F.W.R.; Boaretto, R.M.; Quaggio, J.A.; Boaretto, A.E.; Abreu-Junior, C.H.; Mattos, D., Jr. Uptake and distribution of soil applied zinc by citrus trees-addressing fertilizer use efficiency with 68 Zn labeling. PLoS ONE 2015, 10, e0116903. [Google Scholar] [CrossRef] [PubMed]
- Fageria, N.K.; Santos, A.B.; Cobucci, T. Zinc nutrition of lowland rice. Commun. Soil Sci. Plant Anal. 2011, 42, 1719–1727. [Google Scholar] [CrossRef]
- Marchner, H. Mineral Nutrition of Higher Plants; Academic Press: Cambridge, MA, USA, 1995; Volume 890, pp. 313–323. [Google Scholar]
- Wang, H.; Xu, C.; Luo, Z.; Zhu, H.; Wang, S.; Zhu, Q.; Huang, D.; Zhang, Y.; Xiong, J.; He, Y. Foliar application of Zn can reduce Cd concentrations in rice (Oryza sativa L.) under field conditions. Environ. Sci. Pollut. Res. 2018, 25, 29287–29294. [Google Scholar] [CrossRef] [PubMed]
- Yang, X.W.; Song, M.; Li, Q.J.; Zhou, S.M.; Han, S.Y.; Chen, X.; Xu, L.L.; He, D.X. Impacts of combined N and Zn application on Zn translocation, partitioning, and accumulation in Triticum aestivum. Ying Yong Sheng Tai Xue Bao J. Appl. Ecol. 2020, 31, 148–156. [Google Scholar]
- Liu, D.Y.; Liu, Y.M.; Zhang, W.; Chen, X.P.; Zou, C.Q. Zinc uptake, translocation, and remobilization in winter wheat as affected by soil application of Zn fertilizer. Front. Plant Sci. 2019, 10, 426. [Google Scholar] [CrossRef]
- Nakandalage, N.; Nicolas, M.; Norton, R.M.; Hirotsu, N.; Milham, P.J.; Seneweera, S. Improving rice zinc biofortification success rates through genetic and crop management approaches in a changing environment. Front. Plant Sci. 2016, 7, 764. [Google Scholar] [CrossRef] [PubMed]





| Variety (V) | Growing Condition (G) | Zn Fertilizer (Zn) | Plant Height (cm) | Tillers Number Plant−1 | Panicles Number Plant−1 | Panicle Length (cm) | Filled Grains (%) | 1000-Grains Weight (g) | 
|---|---|---|---|---|---|---|---|---|
| CNT1 | well-drained | Zn0 | 104.0 ± 0.6 | 8.3 ± 0.2 a | 7.3 ± 0.2 a | 24.3 ± 0.2 d | 93.3 ± 0.8 b | 32.0 ± 0.7 | 
| Zn+ | 100.3 ± 0.7 | 7.5 ± 0.2 b | 6.0 ± 0.1 b | 24.5 ± 0.2 d | 80.0 ± 0.7 e | 32.0 ± 0.4 | ||
| waterlogged | Zn0 | 105.8 ± 0.9 | 6.3 ± 0.2 c | 7.0 ± 0.0 a | 27.3 ± 0.2 bc | 95.3 ± 0.3 a | 31.5 ± 0.5 | |
| Zn+ | 103.5 ± 0.7 | 7.0 ± 0.1 b | 7.0 ± 0.1 a | 27.3 ± 0.3 bc | 93.0 ± 0.4 b | 29.0 ± 0.5 | ||
| KH CMU | well-drained | Zn0 | 127.5 ± 0.9 | 2.3 ± 0.1 e | 3.0 ± 0.1 c | 27.8 ± 0.5 ab | 89.3 ± 0.2 c | 35.0 ± 1.0 | 
| Zn+ | 124.3 ± 0.2 | 3.0 ± 0.1 d | 3.0 ± 0.1 c | 27.5 ± 0.5 b | 87.3 ± 0.4 d | 35.3 ± 0.4 | ||
| waterlogged | Zn0 | 122.0 ± 1.0 | 3.0 ± 0.1 d | 2.0 ± 0.1 d | 26.3 ± 0.5 c | 90.0 ± 0.4 c | 32.5 ± 0.3 | |
| Zn+ | 119.8 ± 0.8 | 2.0 ± 0.1 e | 2.0 ± 0.1 d | 28.8 ± 0.6 a | 74.5 ± 0.6 f | 31.8 ± 0.7 | ||
| F-test V × G × Zn | ns | *** | *** | * | *** | ns | ||
| LSD0.05 | 2.2 | 0.5 | 0.3 | 1.1 | 1.6 | 1.7 | ||
| Plant Parts | Variety | Zn Concentration | Zn Content | ||
|---|---|---|---|---|---|
| Grain | Flag Leaf | Grain | Flag Leaf | ||
| Straw | CNT1 | 0.94 ** | 0.13 ns | 0.13 ns | 0.10 ns | 
| KH CMU | 0.62 ** | 0.01 ns | 0.15 ns | 0.46 ns | |
| Flag leaf | CNT1 | 0.34 ns | 0.83 ** | ||
| KH CMU | 0.64 ** | 0.70 ** | |||
| Publisher’s Note: MDPI stays neutral with regard to jurisdictional claims in published maps and institutional affiliations. | 
© 2021 by the authors. Licensee MDPI, Basel, Switzerland. This article is an open access article distributed under the terms and conditions of the Creative Commons Attribution (CC BY) license (http://creativecommons.org/licenses/by/4.0/).
Share and Cite
Tuiwong, P.; Lordkaew, S.; Prom-u-thai, C. Improving Grain Zinc Concentration in Wetland and Upland Rice Varieties Grown under Waterlogged and Well-Drained Soils by Applying Zinc Fertilizer. Agronomy 2021, 11, 554. https://doi.org/10.3390/agronomy11030554
Tuiwong P, Lordkaew S, Prom-u-thai C. Improving Grain Zinc Concentration in Wetland and Upland Rice Varieties Grown under Waterlogged and Well-Drained Soils by Applying Zinc Fertilizer. Agronomy. 2021; 11(3):554. https://doi.org/10.3390/agronomy11030554
Chicago/Turabian StyleTuiwong, Patcharin, Sithisavet Lordkaew, and Chanakan Prom-u-thai. 2021. "Improving Grain Zinc Concentration in Wetland and Upland Rice Varieties Grown under Waterlogged and Well-Drained Soils by Applying Zinc Fertilizer" Agronomy 11, no. 3: 554. https://doi.org/10.3390/agronomy11030554
APA StyleTuiwong, P., Lordkaew, S., & Prom-u-thai, C. (2021). Improving Grain Zinc Concentration in Wetland and Upland Rice Varieties Grown under Waterlogged and Well-Drained Soils by Applying Zinc Fertilizer. Agronomy, 11(3), 554. https://doi.org/10.3390/agronomy11030554
 
        
 
       