Utilization Efficiency of Growth Regulators in Wheat under Drought Stress and Sandy Soil Conditions
Abstract
1. Introduction
2. Materials and Methods
3. Results
3.1. Main Effects
3.2. First-Order Interaction
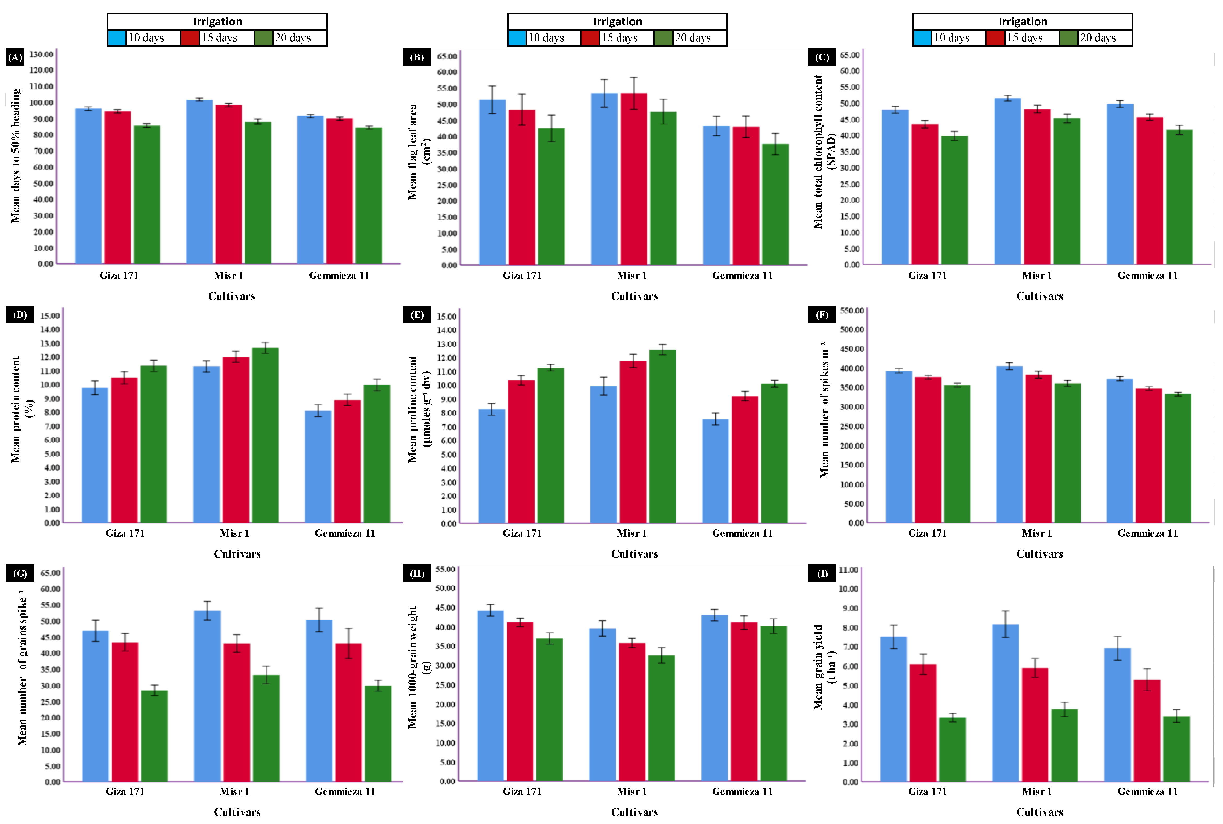
3.3. Second-Order Interaction
3.4. Automatic Linear Regression
3.5. Correlation and Factor Analysis
4. Discussion
4.1. Main Effects
4.2. First-Order Interaction
4.3. Second-Order Interaction
4.4. Automatic Linear Regression
4.5. Correlation and Factor Analysis
5. Conclusions
Author Contributions
Funding
Institutional Review Board Statement
Informed Consent Statement
Data Availability Statement
Conflicts of Interest
References
- Gharib, H.; Hafez, E.; El Sabagh, A. Optimized potential of utilızatıon efficiency and productivity in wheat by integrated chemical nitrogen fertilization and simulative compounds. Cercet. Agron. Mold. 2016, 2, 5–20. [Google Scholar] [CrossRef]
- Varga, J.; Baranyi, N.; Chandrasekaran, M.; Vágvölgyi, C.; Kocsubé, S. Mycotoxin producers in the Aspergillus Genus: An update. Acta Biol. Szeged. 2015, 59, 151–167. [Google Scholar]
- Selim, A.M. Response of wheat to different N-applications and Irrigation systems under arid conditions. Int. Conf. Water Resour. Arid. Environ. Egypt 2004, 122, 107–115. [Google Scholar]
- Khalilzadeh, R.; Seyed Sharifi, R.; Jalilian, J. Antioxidant status and physiological responses of wheat (Triticum aestivum L.) to cycocel application and bio fertilizers under water limitation condition. J. Plant Interact. 2016, 11, 130–137. [Google Scholar]
- Yavas, I.; Unay, A. Effects of zinc and salicylic acid on wheat under drought stress. J. Anim. Plant Sci. 2016, 26, 1012–1018. [Google Scholar]
- Harb, O.M.; Abd El Hay, G.H.; Hagar, M.A.; Abou El Enin, M.M. Evaluation of irrigation scheduling program and wheat yield response in Egyptian sandy soil conditions. Adv. Crop Sci. Tech. 2017, 5, 263. [Google Scholar]
- Hag, E.L.; Dalia, A.A. Effect of different nitrogen rates on productivity and quality traits of wheat cultivars. Egypt. J. Agron. 2017, 39, 321–335. [Google Scholar]
- Kapoor, D.; Bhardwaj, S.; Landi, M.; Sharma, A.; Ramakrishnan, M.; Sharma, A. The impact of drought in plant metabolism: How to exploit tolerance mechanisms to increase crop production. Appl. Sci. 2020, 10, 5692. [Google Scholar] [CrossRef]
- Jogawat, A.; Yadav, B.; Lakra, N.; Singh, A.K.; Narayan, O.P. Crosstalk between phytohormones and secondary metabolites in the drought stress tolerance of crop plants: A review. Physiol. Plant. 2021, 172, 1106–1132. [Google Scholar] [CrossRef]
- PirastehAnosheh, H.; Emam, Y.; Khaliq, A. Response of cereals to cycocel application—A review. Iran Agric. Res. 2016, 35, 1–12. [Google Scholar]
- Latifkar, M.; Mojaddam, M. The effect of application time of cycocel hormone and plant density on growth indices and grain yield of wheat (chamraan cultivar) in Ahvaz weather conditions. Indian J. Fund. Appl. Life Sci. 2014, 4, 274–283. [Google Scholar]
- Afkari, A.; Ghaffari, H. Cycocel foliar application effect on alleviation of drought stress consequences on growth traits of barley cv. Kavir in Khorafarin, Iran. Agron. J. 2018, 13, 13–22. [Google Scholar]
- Omidi, H.; Sorushzadeh, A.; Salehi, A.; Dinghizli, F. Evaluation of priming effects on germination of rapeseed (In Persian). Agric. Sci. Ind. 2005, 19, 125–135. [Google Scholar]
- Kaydan, D.; Yagmur, M.; Okut, N. Effects of salicylic acid on the growth and some physiological characters in salt stressed wheat (Triticum aestivum L.). J. Agric. Sci. 2007, 13, 114–119. [Google Scholar]
- Abou-Khadrah, S.H.; Abo-Youssef, M.I.; Hafez, E.M.; Rehan, A. Effect of planting methods and sowing dates on yield and yield attributes of rice varieties under D.U.S. experiment. Sci. Agric. 2014, 8, 133–139. [Google Scholar]
- Semida, W.M.; Rady, M.M. Pre-soaking in 24-epibrassinolide or salicylic acid improves seed germination, seedling growth, and anti-oxidant capacity in Phaseolus vulgaris L. grown under NaCl stress. J. Hortic. Sci. Biot. 2014, 89, 338–344. [Google Scholar]
- Akher, S.A.; Sarker, M.N.I.; Naznin, S. Using different growth regulators in wheat to overcome negative effects of drought stress as one of climate change impacts and evaluation of genetic variation using ISSR. Adv. Environ. Biol. 2016, 10, 82–93. [Google Scholar]
- Maghsoudi, K.; Emam, Y.; Ashraf, M.; Arvin, M.J. Alleviation of field water stress in wheat cultivars by using silicon and salicylic acid applied separately or in combination. Crop Pasture Sci. 2019, 70, 36–43. [Google Scholar] [CrossRef]
- Gunes, A.; Inal, A.; Eraslan, F.; Bacci, E.G.; Cicek, N. Salicylic acid induced changes of some physiological parameters sympomatic for oxclative stress and mineral nutrition in maize (Zea mays L.) grown under salinity. J. Plant Physiol. 2007, 164, 726–732. [Google Scholar]
- Abdelghany, A.M.; Abouzied, H.M.; Badran, M.S. Evaluation of some Egyptian wheat cultivars under water stress condition in the North Western Coast of Egypt. J. Agric. Environ. Sci. 2016, 15, 63–84. [Google Scholar]
- Moetamadipoor, S.A.; Mohammadi, M.; Khaniki, G.R.B.; Karimizadeh, R.A. Relationships between traits of wheat using multivariate analysis. Bio. Forum Int. J. 2015, 7, 994–997. [Google Scholar]
- Kheir, A.M.S.; Abouelsoud, H.M.; Hafez, E.M.; Ali, O.A.M. Integrated effect of nano-Zn, nano-Si, and drainage using crop straw–filled ditches on saline sodic soil properties and rice productivity. Arab. J. Geosci. 2019, 12, 471. [Google Scholar] [CrossRef]
- Mohamed, N.A. Some statistical procedures for evaluation of the relative contribution for yield components in wheat. Zagazig J. Agric. Res. 1999, 26, 281–290. [Google Scholar]
- Pržulj, N.; Momčilović, V. Characterization of vegetative and grain filling periods of winter wheat by stepwise regression procedure, I: Vegetative period. Genetika-Belgrade 2011, 43, 349–359. [Google Scholar] [CrossRef]
- Seleiman, M.F.; Hafez, E.M. Optimizing inputs management for sustainable agricultural development. In Mitigating Environmental Stresses for Agricultural Sustainability in Egypt; Awaad, H., Abu-hashim, M., Negm, A., Eds.; Springer International Publishing: Cham, Switzerland, 2021; pp. 487–507. [Google Scholar]
- Ratner, B. Statistical and Machine-Learning Data Mining: Techniques for Better Predictive Modeling and Analysis of Big Data; CRC Press: Boca Raton, FL, USA, 2017. [Google Scholar]
- Tamhane, A.; Dunlop, D. Statistics and Data Analysis: From Elementary to Intermediate; Prentice-Hall: New York, NY, USA, 2000. [Google Scholar]
- Kutner, M.H.; Nachtsheim, C.J.; Neter, J. Applied Linear Regression Models, 4th ed.; McGraw-Hill Irwin, Inc.: Boston, MA, USA, 2004. [Google Scholar]
- Khalaf, A.E.A.; Eid, M.A.M.; Ghallab, K.H.; El-Areed, S.R.M.; Yassein, A.A.M.; Rady, M.M.; Ali, E.F.; Majrashi, A. Development of a Five-Parameter Model to Facilitate the Estimation of Additive, Dominance, and Epistatic Effects with a Mediating Using Bootstrapping in Advanced Generations of Wheat (Triticum aestivum L.). Agronomy 2021, 11, 1325. [Google Scholar] [CrossRef]
- Kamara, M.M.; Rehan, M.; Ibrahim, K.M.; Alsohim, A.S.; Elsharkawy, M.M.; Kheir, A.M.S.; Hafez, E.M.; El-Esawi, M.A. Genetic diversity and combining ability of white maize inbred lines under different plant densities. Plants 2020, 9, 1140. [Google Scholar] [CrossRef] [PubMed]
- Minolta. Chlorophyll Meter SPAD-502. Instruction Manual; Radiometric Instruments Operations; Minolta Co., Ltd.: Osaka, Japan, 1989. [Google Scholar]
- Pratt, P. Methods of Analysis for Soil, Plant and Water; University of California, Division of Agricultural Sciences: Los Angeles, CA, USA, 1978. [Google Scholar]
- Bates, L.S.; Waklren, R.P.; Teare, I.D. Rapid determination of free proline water stress studies. Plant Soi. 1973, 39, 205–207. [Google Scholar] [CrossRef]
- Steel, R.G.D.; Torrie, J.H.; Dickey, D.A. Principles and Procedures of Statistics: A Biometrical Approach, 3rd ed.; MC Graw Hill Book Co.: New York, NY, USA, 1997. [Google Scholar]
- Shapiro, S.S.; Wilk, M.B. An Analysis of Variance Test for Normality (Complete Samples). Biometrika 1965, 52, 591–611. [Google Scholar] [CrossRef]
- Razali, N.; Wah, Y.B. Power comparisons of Shapiro–Wilk, Kolmogorov–Smirnov, Lilliefors and Anderson–Darling tests. J. Stat. Modeling Anal. 2011, 2, 21–33. [Google Scholar]
- Abdi, H. Bonferroni and Šidák corrections for multiple comparisons. Encycl. Meas. Stat. 2007, 3, 103–107. [Google Scholar]
- Hallauer, A.R.; Carena, M.J.; Miranda, J.B. Quantitative Genetics in Maize Breeding; Springer Science + Business Media, LLC: New York, NY, USA, 2010. [Google Scholar]
- Singh, P.; Narayanan, S.S. Biometrical Techniques in Plant Breeding; Kalayani Publishers: New Delhi, India, 2000. [Google Scholar]
- Walton, P.D. Factor analysis of yield in spring wheat (Triticum aestivum L.). Crop Sci. 1972, 12, 731–733. [Google Scholar] [CrossRef]
- Spss, I. IBM SPSS Statistics for Windows, Version 25; IBM SPSS Corp.: Armonk, NY, USA, 2017. [Google Scholar]
- Ebrahimnejad, S.; Rameeh, V. Correlation and factor analysis of grain yield and some important component characters in spring bread wheat genotypes. Cercet. Agron. Mold. 2016, 1, 5–15. [Google Scholar] [CrossRef][Green Version]
- Munjal, R.; Dhanda, S.S. Assessment of drought resistance in Indian wheat cultivars for morpho-physiological traits. Ekin J. Crop Breed. Gen. 2016, 2, 74–81. [Google Scholar]
- Rahman, A. Screening of Wheat (Triticum aestivum L.) Genotypes for Drought Tolerance Using Combination of Morpho-Physiological and Biochemical Traits. Master’s Thesis, Sher-e-Bangla Agricultural University, Dhaka, Bangladesh, 2018. [Google Scholar]
- Pramoda, H.P.; Gangaprasad, S. Biometrical basis of handling segregation population for improving productivity in onion (Allium cepa L.). J. Asian Hortic. 2007, 3, 278–280.e46. [Google Scholar]
- Rajput, S.R. Correlation, path analysis, heritability and genetic advance for morpho–physiological character on bread wheat (Triticum aestivum L.). J. Pharmacogn. Phytochem. 2018, 7, 107–112. [Google Scholar]
- Berhanu, M.; Wassu, M.; Yemane, T. Genetic variability, correlation and path analysis of yield and grain quality traits in bread wheat (Tritium aestivum L.) genotypes at Axum, Northern Ethiopia. J. Plant Breed. Crop Sci. 2017, 9, 175–185. [Google Scholar] [CrossRef][Green Version]
- Tesfaye, W.; Firdisa, E.; Sentayehu, A.; Ermias, A.; Dargicho, D. Genetic variability, heritability and genetic advance for yield and yield related traits in durum wheat (Triticum durum L.) accessions. Sky J. Agric. Res. 2016, 5, 42–47. [Google Scholar]
- Nasri, R.; Kashani, A.; Paknejad, F.; Vazan, S.; Barary, M. Correlation, path analysis and stepwise regression in yield and yield component in wheat (Triticum aestivum L.) under the temperate climate of Ilam province, Iran. Indian J. Fundam. Appl. Life Sci. 2014, 4, 188–198. [Google Scholar]




| Soil Characteristics | Soil Location | |||
|---|---|---|---|---|
| 0–15 cm | 15–30 cm | |||
| 1st Season | 2nd Season | 1st Season | 2nd Season | |
| Soil particles distribution | ||||
| Sand% | 80.87 | 84.05 | 91.13 | 93.61 |
| Silt% | 12.03 | 10.23 | 7.83 | 4.23 |
| Clay% | 7.10 | 5.72 | 1.04 | 2.16 |
| Texture Class | Sandy loam | Sandy loam | Sandy | Sandy |
| pH * | 7.98 | 8.11 | 8.32 | 8.49 |
| EC, (ds/m) * | 0.40 | 0.36 | 0.14 | 0.13 |
| Soluble cations and anions (mmole/L) * | ||||
| Ca++ | 1.4 | 1.3 | 0.42 | 0.22 |
| Mg++ | 0.7 | 0.6 | 0.13 | 0.23 |
| Na+ | 1.55 | 1.38 | 0.64 | 0.55 |
| K+ | 0.35 | 0.32 | 0.21 | 0.30 |
| CO3− | - | - | - | - |
| HCO3− | 1.32 | 1.19 | 0.56 | 0.37 |
| Cl− | 1.29 | 1.16 | 0.43 | 0.51 |
| SO4−2 | 1.34 | 1.25 | 0.41 | 0.37 |
| Available N, (mg kg−1 soil) | 40.33 | 53.91 | 36.72 | 31.49 |
| Available P, (mg kg−1 soil) | 7.26 | 6.24 | 5.11 | 3.95 |
| Available K, (mg kg−1 soil) | 60.40 | 58.09 | 53.95 | 49.81 |
| Month | Temperature (°C) | Relative Humidity (%) | Precipitation (Mean, mm) | ||
|---|---|---|---|---|---|
| Min. | Max. | Mean | |||
| 2017–2018 Season | |||||
| November | 13.3 | 24.33 | 18.81 | 73 | 4.5 |
| December | 12.83 | 21.0 | 16.91 | 88 | 9.1 |
| January | 8.16 | 14.83 | 11.49 | 85 | 14.2 |
| February | 14.83 | 25.16 | 19.99 | 65 | 4.0 |
| March | 15.0 | 26.50 | 20.75 | 60 | 0.3 |
| April | 16.83 | 32.0 | 24.41 | 54 | 0.1 |
| 2018–2019 Season | |||||
| November | 13.0 | 24.33 | 19.66 | 74 | 4.2 |
| December | 11.83 | 20.50 | 18.08 | 80 | 9.0 |
| January | 7.66 | 14.00 | 10.83 | 73 | 13.5 |
| February | 13.66 | 24.83 | 19.24 | 68 | 4.2 |
| March | 14.33 | 26.16 | 20.24 | 70 | 0.5 |
| April | 14.50 | 29.00 | 21.75 | 62 | 0.0 |
| Treatment | Flag Leaf Area (cm2) | SPAD-Value | Days to 50% Heading | Protein Content (%) | Proline Content (μmol g−1) | Number of Spikes m−2 | No. of Grains Spike−1 | 1000 Grain Weight (g) | Grains Yield (t ha−1) |
|---|---|---|---|---|---|---|---|---|---|
| Irrigation (I) | ** | ** | ** | ** | ** | ** | ** | ** | ** |
| I10 | 49.21 a | 49.60 a | 96.23 a | 9.71 c | 8.56 c | 389.00 a | 50.03 a | 42.17 a | 7.51 a |
| I15 | 48.14 b | 45.65 b | 94.01 b | 10.44 b | 10.42 b | 367.99 b | 43.02 b | 39.24 b | 5.74 b |
| I20 | 42.49 c | 42.13 c | 85.78 c | 11.31 a | 11.29 a | 348.60 c | 30.40 c | 36.48 c | 3.48 c |
| Growth regulators | ** | ** | ** | ** | ** | ** | ** | ** | ** |
| Control | 33.78 e | 42.39 e | 95.89 a | 8.85 e | 8.98 e | 355.65 e | 33.62 e | 34.72 e | 4.15 e |
| CCC500 | 41.79 d | 45.28 d | 93.54 b | 9.79 d | 10.07 c | 369.61 c | 36.47 d | 38.32 d | 5.01 d |
| CCC1000 | 51.92 b | 47.29 b | 91.63 c | 11.75 a | 11.53 a | 382.48 a | 45.73 b | 39.65 c | 6.36 a |
| SA0.05 | 49.27 c | 45.99 c | 90.81 d | 10.71 c | 9.31 d | 364.02 d | 46.00 a | 42.34 a | 6.03 c |
| SA0.1 | 56.33 a | 48.02 a | 88.17 e | 11.34 b | 10.57 b | 370.89 b | 43.92 c | 41.45 b | 6.34 b |
| Cultivar | ** | ** | ** | ** | ** | ** | ** | ** | ** |
| Giza 171 | 47.28 b | 43.65 c | 91.83 b | 10.52 b | 9.94 b | 374.04 b | 39.46 c | 40.67 b | 5.63 b |
| Misr 1 | 51.38 a | 48.17 a | 95.81 a | 11.97 a | 11.40 a | 381.84 a | 43.02 a | 35.90 c | 5.92 a |
| Gemmieza 11 | 41.19 c | 45.56 b | 88.38 c | 8.97 c | 8.93 c | 349.70 c | 40.96 b | 41.32 a | 5.19 c |
| Heritability in broad sense | 82.10 (%) | 83.4 (%) | 95.1 (%) | 91.9 (%) | 89.12 (%) | 29.7 (%) | 76.32 (%) | 89.66 (%) | 70.22 (%) |
| Physiological Traits | |||||
|---|---|---|---|---|---|
| Interactions | Flag Leaf Area (cm2) | SPAD-Value | Days to 50% Heading | Protein Content (%) | Proline Content (μmol g−1 dw) |
| Irrigation × growth regulators | ** | ** | ** | ** | ** |
| Irrigation × Cultivar | ** | ** | ** | ** | ** |
| Growth regulators × Cultivar | ** | ** | ** | ** | ** |
| Agronomic Traits | |||||
| Number of Spikes (m−2) | Number of Grains Spike−1 | 1000-Grain Weight (g) | Grains Yield (t ha−1) | ||
| Irrigation × growth regulators | ** | ** | ** | ** | |
| Irrigation × Cultivar | ** | ** | ** | ** | |
| Growth regulators × Cultivar | ** | ** | ** | ** | |
| Treatment | Flag Leaf Area (cm2) | SPAD-Value | Days to 50% Heading | Protein Content (%) | Proline Content (μmol g−1dw) | ||
|---|---|---|---|---|---|---|---|
| Irrigation × growth regulators × Cultivar | ** | ** | ** | ** | ** | ||
| I10 | Control | Giza 171 | 42.41 d–j ± 1.86 | 43.98 c–h ± 0.79 | 100.00 rst ± 0.26 | 7.75 bcd ± 0.13 | 6.80 ab ± 0.32 |
| Misr 1 | 36.68 b–g ± 1.76 | 48.53 h–p ± 0.56 | 104.50 w ± 0.56 | 9.65 ijkl ± 0.12 | 7.98 cde ± 0.25 | ||
| Gemmieza 11 | 33.62 abcde ± 1.94 | 45.82 d–k ± 1.37 | 95.33 mno ± 0.33 | 6.48 a ± 0.16 | 6.14 a ± 0.20 | ||
| CCC500 | Giza 171 | 42.03 d–j ± 1.71 | 46.25 d–l ± 0.92 | 97.33 opq ± 0.33 | 8.80 efgh ± 0.16 | 8.12 cdef ± 0.27 | |
| Misr 1 | 50.79 j–p ± 1.98 | 51.15 lmnop ± 0.87 | 103.50 uw ± 0.22 | 10.57 mnopq ± 0.13 | 9.27 g–l ± 0.28 | ||
| Gemmieza 11 | 38.35 b–i ± 2.44 | 48.70 h–p ± 0.58 | 92.17 ijkl ± 0.48 | 7.22 ab ± 0.22 | 7.38 bc ± 0.37 | ||
| CCC1000 | Giza 171 | 53.47 mnopq ± 2.11 | 49.37 i–p ± 0.26 | 94.00 klmn ± 0.26 | 11.38 rstu ± 0.16 | 9.65 h–m ± 0.24 | |
| Misr 1 | 58.08 nopqr ± 3.17 | 52.40 p ± 0.85 | 99.83 qrst ± 0.04 | 12.57 xyz ± 0.17 | 12.30 tuwx ± 0.21 | ||
| Gemmieza 11 | 46.16 g–m ± 1.94 | 51.77 nop ± 0.78 | 91.33 ghij ± 0.33 | 9.27 hij ± 0.24 | 9.12 f–k ± 0.26 | ||
| SA0.05 | Giza 171 | 53.04 l–q ± 6.53 | 49.10 i–p ± 0.73 | 96.50 nop ± 0.22 | 10.13 klmno ± 0.19 | 7.85 bcd ± 0.35 | |
| Misr 1 | 53.32 mnopq ± 3.35 | 52.45 p ± 0.88 | 101.33 tu ± 0.33 | 11.65 tuw ± 0.19 | 8.62 defgh ± 0.29 | ||
| Gemmieza 11 | 44.63 f–m ± 1.97 | 50.00 k–p ± 0.53 | 90.50 ghi ± 0.22 | 8.43 defg ± 0.14 | 7.13 abc ± 0.29 | ||
| SA0.1 | Giza 171 | 65.24 r ± 2.99 | 50.58 k–p ± 0.52 | 91.67 hijk ± 0.33 | 10.60 m–r ± 0.22 | 8.73 d–i ± 0.29 | |
| Misr 1 | 67.50 r ± 2.77 | 52.32 op ± 0.82 | 98.17 pqrs ± 0.48 | 12.05 uwxy ± 0.18 | 11.40 qrstu ± 0.24 | ||
| Gemmieza 11 | 52.86 k–q ± 2.64 | 51.57 mnop ± 0.62 | 87.33 def ± 0.33 | 9.03 fghi ± 0.27 | 7.90 cd ± 0.13 | ||
| I15 | Control | Giza 171 | 35.93 bcdef ± 2.88 | 39.92 abc ± 0.77 | 97.33 opq ± 0.33 | 8.80 efgh ± 0.21 | 9.02 e–j ± 0.20 |
| Misr 1 | 36.87 b–g ± 2.94 | 43.85 c–h ± 1.04 | 102.17 tuw ± 0.48 | 10.42 lmnop ± 0.17 | 10.55 mnopq ± 0.23 | ||
| Gemmieza 11 | 31.73 abc ± 1.89 | 42.43 b–g ± 0.87 | 93.17 jklm ± 0.48 | 7.37 bc ± 0.19 | 8.10 cdef ± 0.20 | ||
| CCC500 | Giza 171 | 38.35 b–i ± 1.77 | 41.35 abcd ± 0.38 | 95.50 mno ± 0.22 | 9.65 ijkl ± 0.22 | 10.52 mnopq ± 0.18 | |
| Misr 1 | 48.70 jklmn ± 1.75 | 49.08 i–p ± 0.53 | 100.17 st ± 0.31 | 11.42 stu ± 0.19 | 11.68 rstu ± 0.34 | ||
| Gemmieza 11 | 38.13 b–h ± 2.22 | 46.50 e–m ± 1.42 | 91.33 ghij ± 0.33 | 8.05 cde ± 0.28 | 9.08 f–k ± 0.18 | ||
| CCC1000 | Giza 171 | 53.44 mnopq ± 2.02 | 45.68 d–k ± 0.69 | 95.17 mno ± 0.17 | 11.92 uwx ± 0.22 | 11.53 qrstu ± 0.14 | |
| Misr 1 | 62.41 qr ± 4.56 | 49.73 j–p ± 0.60 | 97.33 opq ± 0.33 | 13.10 zab ± 0.18 | 13.60 yz ± 0.11 | ||
| Gemmieza 11 | 48.36 i–n ± 2.02 | 45.90 d–k ± 0.55 | 89.83 fghi ± 0.31 | 9.97 jklm ± 0.22 | 10.50 mnopq ± 0.16 | ||
| SA0.05 | Giza 171 | 52.56 k–q ± 6.75 | 42.64 b–g ± 0.73 | 93.67 jklm ± 0.33 | 10.65 m–s ± 0.16 | 9.90 j–o ± 0.12 | |
| Misr 1 | 58.02 nopqr ± 6.82 | 46.98 g–n ± 1.34 | 97.50 opqr ± 0.5 | 12.25 wxy ± 0.22 | 10.48 mnopq ± 0.24 | ||
| Gemmieza 11 | 47.22 h–m ± 3.13 | 46.00 d–k ± 0.95 | 88.83 efg ± 0.91 | 9.22 ghij ± 0.19 | 8.50 defg ± 0.07 | ||
| SA0.1 | Giza 171 | 60.78 pqr ± 4.41 | 47.27 g–o ± 0.79 | 89.50 fgh ± 0.5 | 11.37 qrstu ± 0.23 | 10.72 nopqr ± 0.12 | |
| Misr 1 | 60.46 opqr ± 2.82 | 50.50 k–p ± 0.74 | 93.33 jklm ± 0.49 | 12.77 yza ± 0.21 | 12.37 uwx ± 0.19 | ||
| Gemmieza 11 | 49.17 jklmn ± 3.47 | 46.92 f–n ± 0.59 | 85.33 cd ± 0.49 | 9.72 ijkl ± 0.18 | 9.77 i–o ± 0.14 | ||
| I20 | Control | Giza 171 | 29.69 ab ± 2.37 | 36.64 a ± 1.10 | 89.50 fgh ± 0.43 | 9.75 ijkl ± 0.10 | 10.82 opqr ± 0.14 |
| Misr 1 | 32.79 abcd ± 2.05 | 41.77 bcde ± 1.59 | 94.50 lmn ± 0.43 | 11.10 pqrst ± 0.18 | 11.72 rstuw ± 0.07 | ||
| Gemmieza 11 | 24.25 a ± 1.27 | 38.53 ab ± 1.18 | 86.50 cde ± 0.43 | 8.30 def ± 0.25 | 9.67 h–n ± 0.12 | ||
| CCC500 | Giza 171 | 37.57 b–h ± 2.12 | 38.53 ab ± 1.26 | 86.83 cde ± 0.54 | 10.80 n–s ± 0.16 | 11.65 rstu ± 0.08 | |
| Misr 1 | 47.61 h–m ± 1.63 | 44.52 c–i ± 1.33 | 89.50 fgh ± 0.43 | 12.27 wxy ± 0.17 | 12.75 wxy ± 0.29 | ||
| Gemmieza 11 | 34.56 bcdef ± 2.04 | 41.43 a–e ± 1.37 | 85.50 cd ± 0.56 | 9.37 hijk ± 0.21 | 10.13 k–p ± 0.08 | ||
| CCC1000 | Giza 171 | 48.44 i–n ± 1.76 | 40.55 abc ± 1.40 | 86.33 cde ± 0.61 | 12.78 yza ± 0.12 | 11.97 stuwx ± 0.21 | |
| Misr 1 | 53.98 mnopq ± 2.58 | 46.98 g–n ± 1.57 | 86.17 cd ± 0.54 | 13.80 b ± 0.19 | 14.05 z ± 0.17 | ||
| Gemmieza 11 | 42.98 e–l ± 1.55 | 43.25 b–g ± 1.84 | 84.67 bc ± 0.81 | 10.93 o–t ± 0.18 | 11.07 pqrs ± 0.18 | ||
| SA0.05 | Giza 171 | 42.83 d–k ± 5.15 | 39.97 abc ± 1.54 | 82.33 ab ± 0.49 | 11.37 qrstu ± 0.13 | 10.50 mnopq ± 0.11 | |
| Misr 1 | 50.57 j–o ± 5.35 | 44.88 c–j ± 1.44 | 84.50 bc ± 0.43 | 12.58 xyz ± 0.13 | 11.48 qrstu ± 0.28 | ||
| Gemmieza 11 | 41.21 c–j ± 3.05 | 41.85 bcdef ± 1.79 | 82.17 ab ± 0.75 | 10.12 klmn ± 0.25 | 9.33 g–l ± 0.08 | ||
| SA0.1 | Giza 171 | 53.39 mnopq ± 3.74 | 42.87 b–g ± 1.88 | 81.83 a ± 0.31 | 12.02 uwxy ± 0.21 | 11.27 qrst ± 0.16 | |
| Misr 1 | 52.94 k–q ± 2.40 | 47.40 g–p ± 0.93 | 84.67 bc ± 0.49 | 13.43 ab ± 0.34 | 12.78 xy ± 0.14 | ||
| Gemmieza 11 | 44.58 f–m ± 2.79 | 42.78 b–g ± 1.28 | 81.67 a ± 0.8 | 11.05 pqrst ± 0.25 | 10.20 lmnop ± 0.21 | ||
| Treatment | Agronomic Traits | |||||
|---|---|---|---|---|---|---|
| Number of Spikes m−2 | Number of Grains Spike−1 | 1000-Grain Weight (g) | Grain Yield (t ha−1) | |||
| Irrigation × growth regulators × Cultivar | ** | ** | ** | ** | ||
| I10 | Control | Giza 171 | 375.67 g–o ± 3.33 | 33.30 a–g ± 0.97 | 37.65 f–n ± 0.64 | 5.40 ghijk ± 0.64 |
| Misr 1 | 389.50 mnop ± 3.68 | 44.55 ijkl ± 1.17 | 36.17 e–j ± 0.37 | 6.10 h–m ± 0.34 | ||
| Gemmieza 11 | 353.67 a–j ± 4.17 | 34.67 defgh ± 1.21 | 37.37 f–m ± 0.54 | 4.97 efghi ± 0.63 | ||
| CCC500 | Giza 171 | 389.83 mnop ± 4.71 | 43.90 hijkl ± 2.88 | 42.13 pqrst ± 0.77 | 6.92 k–p ± 0.55 | |
| Misr 1 | 405.17 pq ± 3.43 | 51.10 klmno ± 0.99 | 36.03 d–i ± 0.78 | 7.25 lmnop ± 0.37 | ||
| Gemmieza 11 | 367.00 f–n ± 3.75 | 47.27 klmn ± 1.68 | 42.13 pqrst ± 0.51 | 6.35 ijklm ± 0.34 | ||
| CCC1000 | Giza 171 | 404.67 pq ± 6.00 | 56.20 nopq ± 1.06 | 47.10 wx ± 0.43 | 9.28 rs ± 0.37 | |
| Misr 1 | 445.50 r ± 5.44 | 49.02 klmn ± 1.71 | 36.98 e–k ± 0.91 | 8.48 pqr ± 0.55 | ||
| Gemmieza 11 | 371.83 f–n ± 4.69 | 56.18 nopq ± 1.64 | 40.92 l–r ± 0.51 | 7.29 l–q ± 0.35 | ||
| SA0.05 | Giza 171 | 387.00 k–p ± 4.73 | 53.20 lmnop ± 1.74 | 47.92 wx ± 0.61 | 8.08 nopqr ± 0.32 | |
| Misr 1 | 387.50 lmnop ± 7.27 | 55.95 nopq ± 1.17 | 38.93 g–p ± 0.86 | 8.18 opqr ± 0.29 | ||
| Gemmieza 11 | 377.00 h–p ± 4.72 | 50.55 klmno ± 1.03 | 48.10 wx ± 0.66 | 6.93 k–p ± 0.35 | ||
| SA0.1 | Giza 171 | 402.00 opq ± 4.62 | 47.55 klmn ± 1.49 | 45.76 tuwx ± 0.39 | 7.77 m–r ± 0.34 | |
| Misr 1 | 391.67 nopq ± 6.00 | 64.70 q ± 2.56 | 49.32 x ± 1.01 | 10.71 s ± 0.62 | ||
| Gemmieza 11 | 387.00 k–p ± 5.28 | 62.37 pq ± 1.07 | 46.10 uwx ± 0.41 | 8.97 qr ± 0.53 | ||
| I15 | Control | Giza 171 | 358.83 c–k ± 3.62 | 31.65 a–f ± 1.78 | 37.12 e–l ± 0.65 | 4.10 b–g ± 0.37 |
| Misr 1 | 375.00 g–o ± 4.28 | 37.07 fghij ± 4.18 | 36.07 d–i ± 0.68 | 4.88 d–i ± 0.60 | ||
| Gemmieza 11 | 337.33 abcde ± 4.52 | 34.92 efgh ± 2.23 | 35.31 defgh ± 0.66 | 4.13 b–g ± 0.46 | ||
| CCC500 | Giza 171 | 374.17 f–o ± 3.75 | 43.60 hijk ± 1.05 | 39.58 i–r ± 0.66 | 5.70 g–l ± 0.39 | |
| Misr 1 | 386.67 k–p ± 4.01 | 36.38 fghi ± 1.48 | 31.15 bc ± 1.12 | 5.10 fghij ± 0.62 | ||
| Gemmieza 11 | 351.67 a–i ± 4.22 | 30.82 a–f ± 1.69 | 41.50 opqrs ± 0.59 | 4.50 c–h ± 0.47 | ||
| CCC1000 | Giza 171 | 379.17 i–p ± 3.75 | 48.75 klmn ± 1.56 | 45.08 stuw ± 0.34 | 7.32 l–q ± 0.31 | |
| Misr 1 | 419.17 qr ± 3.75 | 46.57 klm ± 1.15 | 35.30 defgh ± 0.48 | 6.75 j–o ± 0.31 | ||
| Gemmieza 11 | 347.50 a–g ± 4.43 | 53.97 mnop ± 2.95 | 41.28 n–s ± 1.61 | 6.44 i–n ± 0.38 | ||
| SA0.05 | Giza 171 | 377.00 h–p ± 3.06 | 50.32 klmno ± 1.19 | 43.12 rstu ± 0.38 | 7.07 k–p ± 0.33 | |
| Misr 1 | 366.67 f–n ± 8.33 | 45.95 jklm ± 1.26 | 36.12 d–j ± 0.41 | 5.90 hijkl ± 0.33 | ||
| Gemmieza 11 | 345.83 a–f ± 4.9 | 58.72 opq ± 1.18 | 48.08 wx ± 0.44 | 6.38 i–n ± 0.79 | ||
| SA0.1 | Giza 171 | 388.33 mnop ± 4.01 | 41.87 ghijk ± 1.54 | 40.22 k–r ± 0.33 | 6.20 h–m ± 0.48 | |
| Misr 1 | 363.33 d–n ± 8.03 | 48.48 klmn ± 2.44 | 39.92 j–r ± 0.49 | 6.80 k–p ± 0.36 | ||
| Gemmieza 11 | 349.17 a–h ± 5.54 | 36.20 efghi ± 3.87 | 38.70 g–p ± 0.39 | 4.92 d–i ± 0.56 | ||
| I20 | Control | Giza 171 | 337.50 abcde ± 4.42 | 30.55 a–f ± 0.98 | 32.33 bcd ± 0.39 | 3.00 abc ± 0.13 |
| Misr 1 | 347.50 A–G ± 4.42 | 29.05 a–f ± 1.99 | 23.43 a ± 0.54 | 2.30 a ± 0.19 | ||
| Gemmieza 11 | 325.83 a ± 3.27 | 26.87 abcde ± 1.19 | 37.00 e–k ± 0.46 | 2.51 ab ± 0.12 | ||
| CCC500 | Giza 171 | 355.00 b–j ± 4.28 | 25.43 abcd ± 1.51 | 41.07 m–r ± 0.29 | 3.36 abcde ± 0.32 | |
| Misr 1 | 361.67 c–m ± 5.58 | 25.27 abc ± 1.12 | 37.93 g–o ± 0.43 | 3.36 abcde ± 0.23 | ||
| Gemmieza 11 | 335.33 abcd ± 4.05 | 24.45 ab ± 0.97 | 33.33 cde ± 0.34 | 2.57 ab ± 0.25 | ||
| CCC1000 | Giza 171 | 359.50 c–l ± 4.64 | 24.00 a ± 0.69 | 41.78 pqrs ± 0.45 | 3.25 abcd ± 0.27 | |
| Misr 1 | 380.83 j–p ± 6.25 | 43.82 hijk ± 2.27 | 29.32 b ± 0.41 | 4.75 d–i ± 0.27 | ||
| Gemmieza 11 | 334.17 abc ± 4.55 | 33.08 a–g ± 1.02 | 39.10 h–q ± 0.62 | 3.68 a–f ± 0.28 | ||
| SA0.05 | Giza 171 | 357.33 c–j ± 4.52 | 33.65 b–g ± 1.14 | 35.17 defg ± 0.63 | 3.48 a–f ± 0.18 | |
| Misr 1 | 350.67 a–i ± 10.41 | 35.42 efghi ± 1.37 | 35.60 defgh ± 0.59 | 4.15 b–g ± 0.18 | ||
| Gemmieza 11 | 327.17 ab ± 7.39 | 30.25 a–f ± 1.43 | 48.07 wx ± 0.31 | 4.09 b–g ± 0.24 | ||
| SA0.1 | Giza 171 | 364.67 e–n ± 5.42 | 27.97 a–f ± 1.40 | 34.03 cdef ± 0.29 | 3.45 a–f ± 0.30 | |
| Misr 1 | 356.83 c–j ± 8.64 | 31.98 a–f ± 1.37 | 36.17 e–j ± 0.66 | 4.13 b–g ± 0.26 | ||
| Gemmieza 11 | 335.00 abcd ± 7.30 | 34.15 cdefg ± 1.32 | 42.87 qrstu ± 0.29 | 4.10 b–g ± 0.16 | ||
| Variables | Days to 50% Heading | Flag Leaf Area (cm2) | Total Pigments (SPAD) | Number of Spikes m−2 | Number of Grains Spike−1 | 1000-Grain Weight (g) | Protein Content (%) | Proline Content (μmol g−1dw) | Grain Yield (t ha−1) |
|---|---|---|---|---|---|---|---|---|---|
| Days to 50% heading | 1 | ||||||||
| Flag leaf area (cm2) | 0.096 | 1 | |||||||
| Total chlorophyll (SPAD) | 0.387 ** | 0.560 ** | 1 | ||||||
| Number of spikes m−2 | 0.570 ** | 0.444 ** | 0.569 ** | 1 | |||||
| Number of grains spike−1 | 0.351 ** | 0.550 ** | 0.700 ** | 0.509 ** | 1 | ||||
| 1000-grain weight g−1 | 0.007 | 0.355 ** | 0.381 ** | 0.240 ** | 0.553 ** | 1 | |||
| Protein content (%) | −0.100 | 0.564 ** | 0.170 ** | 0.269 ** | 0.208 ** | −0.092 | 1 | ||
| Proline content (μmol g−1dw) | −0.211 ** | 0.296 ** | −0.087 | 0.082 | −0.047 | −0.233 ** | 0.830 ** | 1 | |
| Grain yield (t ha−1) | 0.467 ** | 0.500 ** | 0.681 ** | 0.642 ** | 0.861 ** | 0.625 ** | 0.081 | −0.180 ** | 1 |
Publisher’s Note: MDPI stays neutral with regard to jurisdictional claims in published maps and institutional affiliations. |
© 2021 by the authors. Licensee MDPI, Basel, Switzerland. This article is an open access article distributed under the terms and conditions of the Creative Commons Attribution (CC BY) license (https://creativecommons.org/licenses/by/4.0/).
Share and Cite
El-Saadony, F.M.A.; Mazrou, Y.S.A.; Khalaf, A.E.A.; El-Sherif, A.M.A.; Osman, H.S.; Hafez, E.M.; Eid, M.A.M. Utilization Efficiency of Growth Regulators in Wheat under Drought Stress and Sandy Soil Conditions. Agronomy 2021, 11, 1760. https://doi.org/10.3390/agronomy11091760
El-Saadony FMA, Mazrou YSA, Khalaf AEA, El-Sherif AMA, Osman HS, Hafez EM, Eid MAM. Utilization Efficiency of Growth Regulators in Wheat under Drought Stress and Sandy Soil Conditions. Agronomy. 2021; 11(9):1760. https://doi.org/10.3390/agronomy11091760
Chicago/Turabian StyleEl-Saadony, Fathy M. A., Yasser S. A. Mazrou, Ahmed E. A. Khalaf, Ahmed M. A. El-Sherif, Hany S. Osman, Emad M. Hafez, and Mohamed A. M. Eid. 2021. "Utilization Efficiency of Growth Regulators in Wheat under Drought Stress and Sandy Soil Conditions" Agronomy 11, no. 9: 1760. https://doi.org/10.3390/agronomy11091760
APA StyleEl-Saadony, F. M. A., Mazrou, Y. S. A., Khalaf, A. E. A., El-Sherif, A. M. A., Osman, H. S., Hafez, E. M., & Eid, M. A. M. (2021). Utilization Efficiency of Growth Regulators in Wheat under Drought Stress and Sandy Soil Conditions. Agronomy, 11(9), 1760. https://doi.org/10.3390/agronomy11091760

