Study on Regulation Mechanism of Tomato Root Growth in Greenhouse under Cycle Aerated Subsurface Drip Irrigation
Abstract
1. Introduction
2. Materials and Methods
2.1. Experimental Site
2.2. Experimental Design
2.3. Experimental Method
2.3.1. Determination of Root Morphology and Root Activity Index
2.3.2. Transcriptome Sequencing
2.3.3. Data Processing and Differentially Expressed Gene Analysis
2.3.4. Real Time PCR Analysis
2.3.5. Hormone Analysis
3. Results
3.1. Effects of Aerated Irrigation on Tomato Root System in Greenhouse
3.2. Effect of Aerated Irrigation on Tomato Root Activity in Greenhouse
3.3. Effect of Aerated Irrigation on the Overground Organ Development of Tomato in Greenhouse
3.4. Transcriptome Analysis of Tomato Roots under Aeration Irrigation
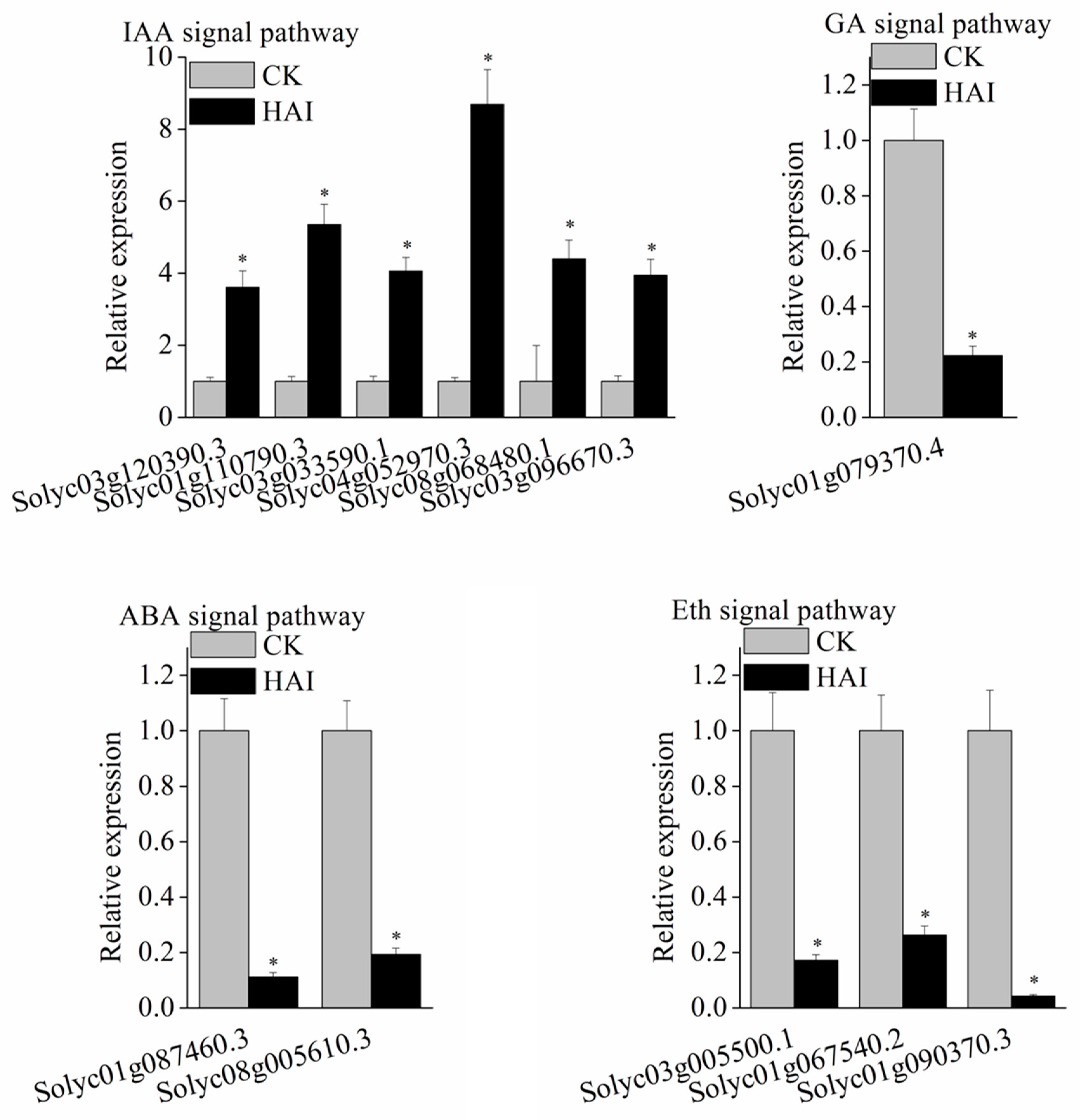
3.5. Analysis of Hormone Content in Tomato Roots under Aeration Irrigation
4. Discussion
5. Conclusions
Supplementary Materials
Author Contributions
Funding
Data Availability Statement
Conflicts of Interest
References
- Pan, R.; Jiang, W.; Wang, Q.; Xu, L.; Shabala, S.; Zhang, W. Differential response of growth and photosynthesis in diverse cotton genotypes under hypoxia stress. Photosynthetica 2019, 57, 772–779. [Google Scholar] [CrossRef]
- Peng, Y.; Zhou, Z.; Tong, R.; Hu, X.; Du, K. Anatomy and ultrastructure adaptations to soil flooding of two full-sib poplar clones differing in flood-tolerance. Flora 2017, 233, 90–98. [Google Scholar] [CrossRef]
- Ren, B.; Zhang, J.; Dong, S.; Liu, P.; Zhao, B. Root and Shoot Responses of Summer Maize to Waterlogging at Different Stages. Agron. J. 2016, 108, 1060–1069. [Google Scholar] [CrossRef]
- Zheng, X.; Zhou, J.; Tan, D.; Wang, N.; Wang, L.; Shan, D.; Kong, J. Melatonin improves waterlogging tolerance of Malus baccata (Linn) borkh seedlings by maintaining aerobic respiration, photosynthesis and ROS migration. Front. Plant Sci. 2017, 8, 483. [Google Scholar] [CrossRef]
- Lu, Y.; Zhang, F. The advances in rhizosphere microbiology. Soil 2006, 38, 113–121. [Google Scholar] [CrossRef]
- Chen, H.; Hou, H.; Wang, X.; Zhu, Y.; Qaisar, S.; Wang, Y.; Cai, H. The effects of aeration and irrigation regimes on soil CO2 and N2O emissions in a greenhouse tomato production system. J. Integr. Agric. 2018, 17, 449–460. [Google Scholar] [CrossRef]
- Zhu, Y.; Cai, H.; Song, L.; Wang, X.; Shang, Z.; Sun, Y. Aerated Irrigation of Different Irrigation Levels and Subsurface Dripper Depths Affects Fruit Yield, Quality and Water Use Efficiency of Greenhouse Tomato. Sustainability 2020, 12, 2703. [Google Scholar] [CrossRef]
- Pezeshki, S.R.; Pardue, J.H.; Delaune, R.D. The influence of soil oxygen deficiency on alcohol dehydrogenase activity, root porosity, ethylene production and photosynthesis in Spartina patens. Environ. Exp. Bot. 1993, 33, 565–573. [Google Scholar] [CrossRef]
- Ayars, J.E.; Phene, C.J.; Hutmacher, R.B.; Davis, K.R.; Schoneman, R.A.; Vail, S.S.; Mead, R.M. Subsurface drip irrigation of row crops: A review of 15 years of research at the Water Management Research Laboratory. Agric. Water Manag. 1999, 42, 1–27. [Google Scholar] [CrossRef]
- Abuarab, M.; Mostafa, E.; Ibrahim, M. Effect of air injection under subsurface drip irrigation on yield and water use efficiency of corn in a sandy clay loam soil. J. Adv. Res. 2012, 4, 493–499. [Google Scholar] [CrossRef]
- Bagatur, T. Evaluation of Plant Growth with Aerated Irrigation Water Using Venturi Pipe Part. Arab. J. Sci. Eng. 2013, 39, 2525–2533. [Google Scholar] [CrossRef]
- Lei, H.; Bhattarai, S.; Balsys, R.; Midmore, D.; Holmes, T.; Zimmerman, W. Temporal and spatial dimension of dissolved oxygen saturation with fluidic oscillator and Mazzei air injector in soil-less irrigation systems. Irrig. Sci. 2016, 34, 421–430. [Google Scholar] [CrossRef]
- Niu, W.; Fan, W.; Persaud, N.; Zhou, X. Effect of Post-Irrigation Aeration on Growth and Quality of Greenhouse Cucumber. Pedosphere 2013, 23, 790–798. [Google Scholar] [CrossRef]
- Pendergast, L.; Bhattarai, S.P.; Midmore, D.J. Benefits of oxygation of subsurface drip-irrigation water for cotton in a Vertosol. Crop Pasture Sci. 2013, 64, 1171–1181. [Google Scholar] [CrossRef]
- Bhattarai, S.P.; Huber, S.; Midmore, D.J. Aerated subsurface irrigation water gives growth and yield benefits to zucchini, vegetable soybean and cotton in heavy clay soils. Ann. Appl. Biol. 2004, 144, 285–298. [Google Scholar] [CrossRef]
- Bhattarai, S.P.; Midmore, D.J.; Pendergast, L. Yield, water-use efficiencies and root distribution of soybean, chickpea and pumpkin under different subsurface drip irrigation deaths and oxygenation treatments in vertisols. Irrig. Sci. 2008, 26, 439–450. [Google Scholar] [CrossRef]
- Farrar, J.F.; Jones, D.L. The control of carbon acquisition by roots. New Phytol. 2000, 147, 43–53. [Google Scholar] [CrossRef]
- Hendrick, R.L.; Pregitzer, K.S. Patterns of fine root mortality in two sugar maple forests. Nature 1993, 361, 59–61. [Google Scholar] [CrossRef]
- Vartapetian, B.B.; Jackson, M.B. Plant adaptations to anaerobic stress. Ann. Bot. 1997, 79, 3–20. [Google Scholar] [CrossRef]
- Beare, M.H.; Carbrera, M.L.; Hendrix, P.R.; Coleman, D.C. Aggregate-protected and unprotected organic matter pools in conventional and no-tillage soils. Soil Sci. Soc. Am. J. 1994, 58, 787–795. [Google Scholar] [CrossRef]
- Duncan, P.R. Variability among sorghum genotype for uptake and elements under acid soil field conditions. Plant Nutr. 1981, 4, 21–32. [Google Scholar] [CrossRef]
- Ahkami, A.H.; Melzer, M.; Ghaffari, M.R.; Pollmann, S.; Javid, M.G.; Shahinnia, F.; Hajirezaei, M.R.; Druege, U. Dis-tribution of indole-3-acetic acid in Petunia hybrid shoot tip cutting and relationship between auxin transport, carbohydrate metabolism and adventitious root formation. Planta 2013, 238, 499–517. [Google Scholar] [CrossRef]
- Leyser, O. Auxin signalling: The beginning, the middle and the end. Curr. Opin. Plant Biol. 2001, 4, 382–386. [Google Scholar] [CrossRef]
- Malamy, J.; Benfey, P. Organization and cell differentiation in lateral roots of Arabidopsis thaliana. Development 1997, 124, 33–44. [Google Scholar] [CrossRef] [PubMed]
- Rayle, D.L.; Cleland, R.E. The Acid Growth Theory of auxin-induced cell elongation is alive and well. Plant Physiol. 1992, 99, 1271–1274. [Google Scholar] [CrossRef] [PubMed]
- Skoog, F.; Miller, C.O. Chemical regulation of growth and organ formation in plant tissue cultured in vitro. Symp. Soc. Exp. Biol. 1957, 11, 118–131. [Google Scholar]
- Stenlid, G. Cytokinins as inhibitors of root growth. Physiol. Plant. 1982, 56, 500–506. [Google Scholar] [CrossRef]
- Peng, J.; Carol, P.; Richards, D.E.; King, K.E.; Cowling, R.J.; Murphy, G.P.; Harberd, N.P. The Arabidopsis GAI gene defines a signaling pathway that negatively regulates gibberellin responses. Genes Dev. 1997, 11, 3194–3205. [Google Scholar] [CrossRef]
- Dugardeyn, J.; Van Der Straeten, D. Ethylene: Fine-tuning plant growth and development by stimulation and inhibition of elongation. Plant Sci. 2008, 175, 59–70. [Google Scholar] [CrossRef]
- Dolan, L. The role of ethylene in root hair growth in Arabidopsis. J. Nutr. Soil Sci. 2001, 154, 141–145. [Google Scholar] [CrossRef]
- De Smet, I.; Signora, L.; Beeckman, T.; Inzé, D.; Foyer, C.H.; Zhang, H. An abscisic acid-sensitive checkpoint in lateral root development of Arabidopsis. Plant J. 2003, 33, 543–555. [Google Scholar] [CrossRef] [PubMed]
- Chen, Q.; Sun, J.; Zhai, Q.; Zhou, W.; Qi, L.; Xu, L.; Wang, B.; Chen, R.; Jiang, H.; Qi, J.; et al. The Basic Helix-Loop-Helix Transcription Factor MYC2 Directly Represses PLETHORA Expression during Jasmonate-Mediated Modulation of the Root Stem Cell Niche in Arabidopsis. Plant Cell 2011, 23, 3335–3352. [Google Scholar] [CrossRef] [PubMed]
- Ertek, A.; Sensoy, S.; Gedik, I.; Kucukyumuk, C. Irrigation scheduling based on pan evaporation values for cucumber (Cucumissativus L.) grown under field conditions. Agric. Water Manag. 2006, 81, 159–172. [Google Scholar] [CrossRef]
- Reiss, J. Detection of biotoxic compounds with the 2,3,5-triphenyltetrazolium chloride seed germination test. Bull. Environ. Contam. Toxicol. 1991, 47, 696–700. [Google Scholar] [CrossRef]
- Livak, K.; Schmittgen, D. Analysis of Relative Gene Expression Data Using Real-Time Quantitative PCR and the 2−ΔΔCT Method. Methods 2001, 25, 402–408. [Google Scholar] [CrossRef]
- Morard, P.; Silvestre, J. Plant injury due to oxygen deficiency in the root environment of soilless culture: A review. Plant Soil 1996, 184, 243–254. [Google Scholar] [CrossRef]
- Li, Y.; Niu, W.Q.; Xu, J. Root morphology of greenhouse produced muskmelon under sub-surface drip irrigation with supplemental soil aeration. Sci. Hortic. 2016, 201, 287–294. [Google Scholar] [CrossRef]
- Yang, W. Effects of Different Fertilizer Levels on Greenhouse Tomato in Aerated Irrigation; Shandong Agriculture University: Tai’an, China, 2019. [Google Scholar]
- Liesack, W.; Schnell, S.; Revsbech, N.P. Microbiology of flooded rice paddies. FEMS Microbiol. Rev. 2000, 24, 625–645. [Google Scholar] [CrossRef]
- Hagen, G.; Guilfoyle, T. Auxin-responsive gene expression: Genes, promoters and regulatory factors. Plant Mol. Biol. 2002, 49, 373. [Google Scholar] [CrossRef]
- Szemenyei, H.; Hannon, M.; Long, J.A. TOPLESS Mediates Auxin-Dependent Transcriptional Repression During Arabidopsis Embryogenesis. Nature 2008, 319, 1384–1386. [Google Scholar] [CrossRef]
- Jain, M.; Kaur, N.; Garg, R.; Thakur, J.K.; Tyagi, A.K.; Khurana, J.P. Structure and expression analysis of early auxin-responsive Aux/IAA gene family in rice (Oryza sativa). Funct. Integr. Genom. 2005, 6, 47–59. [Google Scholar] [CrossRef] [PubMed]
- Audran-Delalande, C.; Bassa, C.; Mila, I.; Regad, F.; Zouine, M.; Bouzayen, M. Genome-Wide Identification, Functional Analysis and Expression Profiling of the Aux/IAA Gene Family in Tomato. Plant Cell Physiol. 2012, 53, 659–672. [Google Scholar] [CrossRef] [PubMed]
- Uehara, T.; Okushima, Y.; Mimura, T.; Tasaka, M.; Fukaki, H. Domain II Mutations in CRANE/IAA18 Suppress Lateral Root Formation and Affect Shoot Development in Arabidopsis. Plant Cell Physiol. 2008, 49, 1025–1038. [Google Scholar] [CrossRef] [PubMed]
- Tatematsu, K.; Kumagai, S.; Muto, H.; Sato, A.; Watahiki, M.K.; Harper, R.M.; Liscum, E.; Yamamoto, K.T. MASSUGU2 Encodes Aux/IAA19, an Auxin-Regulated Protein That Functions Together with the Transcriptional Activator NPH4/ARF7 to Regulate Differential Growth Responses of Hypocotyl and Formation of Lateral Roots in Arabidopsis thaliana. Plant Cell 2004, 16, 379–393. [Google Scholar] [CrossRef] [PubMed]
- Zhu, Z.; Liu, Y.; Liu, S.; Mao, C.; Wu, Y.; Wu, P. A Gain-of-Function Mutation in OsIAA11 Affects Lateral Root Development in Rice. Mol. Plant 2012, 5, 154–161. [Google Scholar] [CrossRef]
- McClure, B.A.; Guilfoyle, T. Rapid Redistribution of Auxin-Rregulated RNAs during Gravitropism. Science 1989, 243, 91. [Google Scholar] [CrossRef]
- Wu, J.; Liu, S.; He, Y. Genome-wide analysis of SAUR gene family in Solanaceae species. Gene 2012, 509, 38–50. [Google Scholar] [CrossRef]
- Kong, Y.; Zhu, Y.; Gao, C. Tissue-Specific Expression of SMALL AUXIN UP RNA41 Differentially Regulates Cell Expansion and Root Meristem Patterning in Arabidopsis. Plant Cell Physiol. 2013, 54, 609–621. [Google Scholar] [CrossRef]
- Staswick, P.E.; Serban, B.; Rowe, B.M.; Tiryaki, A.I.; Maldonado, M.T.; Maldonado, M.C.; Suzaa, W. Characterization of an Arabidopsis Enzyme Family That Conjugates Amino Acids to Indole-3-Acetic Acid. Plant Cell 2005, 17, 616–627. [Google Scholar] [CrossRef]
- Zhang, T.; Li, R.; Xing, J.; Yan, L.; Wang, R.; Zhao, Y. The YUCCA-Auxin-WOX11 Module Controls Crown Root Development in Rice. Front. Plant Sci. 2018, 9, 523. [Google Scholar] [CrossRef] [PubMed]
- Wang, Y.N.; Yang, W.; Zuo, Y.Y.; Zhu, L.; Hastwell, A.H.; Chen, L.; Tian, Y.; Su, C.; Ferguson, B.J.; Li, X. GmYUC2a mediates auxin biosynthesis during root development and nodulation in soybean. J. Exp. Bot. 2019, 70, 3165–3176. [Google Scholar] [CrossRef] [PubMed]








| Factor | Root Dry Matter Accumulation (g/Plant) |
|---|---|
| Aeration rate | ** |
| HAI | 3.7 ± 0.68 a |
| MAI | 2.92 ± 0.18 a |
| LAI | 2.05 ± 0.19 b |
| CK | 1.64 ± 0.12 b |
| Factor | Root Length (cm/plant) | |||
|---|---|---|---|---|
| Total Surface Length | By Root Diameter (D) in cm | |||
| 0 < D ≤ 2 | 2 < D ≤ 5 | 5 < D | ||
| Aeration rate | ** | * | ** | ** |
| HAI | 4645.07 ± 352.4 a | 1699.19 ± 49.51 a | 2518.05 ± 267.6 a | 591.41 ± 122.0 a |
| MAI | 3527.64 ± 78.8 b | 1284.22 ± 161.0 b | 1652.0 ± 328.0 b | 427.83 ± 55.90 ab |
| LAI | 3279.92 ± 257.7 b | 1580.66 ± 87.17 a | 1178.78 ± 191.5 bc | 253.81 ± 36.24 b |
| CK | 2274.86 ± 147.5 c | 1296.13 ± 111.50 b | 667.35 ± 58.06 c | 311.38 ± 87.58 b |
| Factor | Root Surface Aera (cm2/plant) | |||
|---|---|---|---|---|
| Total Surface Aera | By Root Diameter (D) in cm | |||
| 0 < D ≤ 2 | 2 < D ≤ 5 | 5 < D | ||
| Aeration rate | ** | * | ** | ** |
| HAI | 4278.46 ± 69.47 a | 617.19 ± 68.49 a | 2340.67 ± 114.30 a | 1320.61 ± 39.09 a |
| MAI | 3481.81 ± 142.0 b | 533.10 ± 34.10 ab | 1819.63 ± 108.0 b | 1112.4 ± 59.60 b |
| LAI | 3079.32 ± 68.33 c | 484.08 ± 61.81 ab | 1651.09 ± 45.02 b | 944.15 ± 30.91 c |
| CK | 2366.90 ± 161.60 d | 414.53 ± 61.84 b | 1421.35 ± 48.73 c | 497.68 ± 123.0 d |
| Treatment | Root Acivity (mg·g−1·h−1) |
|---|---|
| Aeration Rate | * |
| HAI | 1.713 ± 0.08 a |
| MAI | 1.623 ± 0.05 a |
| LAI | 1.523 ± 0.07 ab |
| CK | 1.375 ± 0.09 b |
| Sample | Raw Reads | Clean Reads | Clean Base (G) | Q20 (%) | Q30 (%) | GC Content (%) |
|---|---|---|---|---|---|---|
| HAI1 | 42,547,436 | 40,922,608 | 6.14 | 98.07 | 94.28 | 42.36 |
| HAI2 | 41,329,814 | 39,998,504 | 6.0 | 98.08 | 94.23 | 42.07 |
| HAI3 | 43,711,800 | 41,211,314 | 6.18 | 98.01 | 94.07 | 41.98 |
| CK1 | 50,831,674 | 48,398,154 | 7.26 | 98.19 | 94.56 | 42.09 |
| CK2 | 50,378,580 | 48,594,630 | 7.29 | 98.11 | 94.31 | 42.12 |
| CK3 | 42,408,998 | 40,913,598 | 6.14 | 98.09 | 94.3 | 42.07 |
Publisher’s Note: MDPI stays neutral with regard to jurisdictional claims in published maps and institutional affiliations. |
© 2022 by the authors. Licensee MDPI, Basel, Switzerland. This article is an open access article distributed under the terms and conditions of the Creative Commons Attribution (CC BY) license (https://creativecommons.org/licenses/by/4.0/).
Share and Cite
Zhang, Q.; Zhang, P.; Deng, Y.; Sun, C.; Tian, X.; Si, B.; Li, B.; Guo, X.; Liu, F.; Zhang, Z. Study on Regulation Mechanism of Tomato Root Growth in Greenhouse under Cycle Aerated Subsurface Drip Irrigation. Agronomy 2022, 12, 2609. https://doi.org/10.3390/agronomy12112609
Zhang Q, Zhang P, Deng Y, Sun C, Tian X, Si B, Li B, Guo X, Liu F, Zhang Z. Study on Regulation Mechanism of Tomato Root Growth in Greenhouse under Cycle Aerated Subsurface Drip Irrigation. Agronomy. 2022; 12(11):2609. https://doi.org/10.3390/agronomy12112609
Chicago/Turabian StyleZhang, Qian, Peng Zhang, Yunpeng Deng, Chitao Sun, Xiaoxu Tian, Bingcheng Si, Bo Li, Xiaohong Guo, Fusheng Liu, and Zhenhua Zhang. 2022. "Study on Regulation Mechanism of Tomato Root Growth in Greenhouse under Cycle Aerated Subsurface Drip Irrigation" Agronomy 12, no. 11: 2609. https://doi.org/10.3390/agronomy12112609
APA StyleZhang, Q., Zhang, P., Deng, Y., Sun, C., Tian, X., Si, B., Li, B., Guo, X., Liu, F., & Zhang, Z. (2022). Study on Regulation Mechanism of Tomato Root Growth in Greenhouse under Cycle Aerated Subsurface Drip Irrigation. Agronomy, 12(11), 2609. https://doi.org/10.3390/agronomy12112609

