Influence of Hot Water and 1-Methylcyclopropane Treatments on Air-Stored Quince Fruit
Abstract
1. Introduction
2. Materials and Methods
2.1. Plant Material and Harvest
2.2. Postharvest Treatments and Storage Conditions
2.3. Assessments
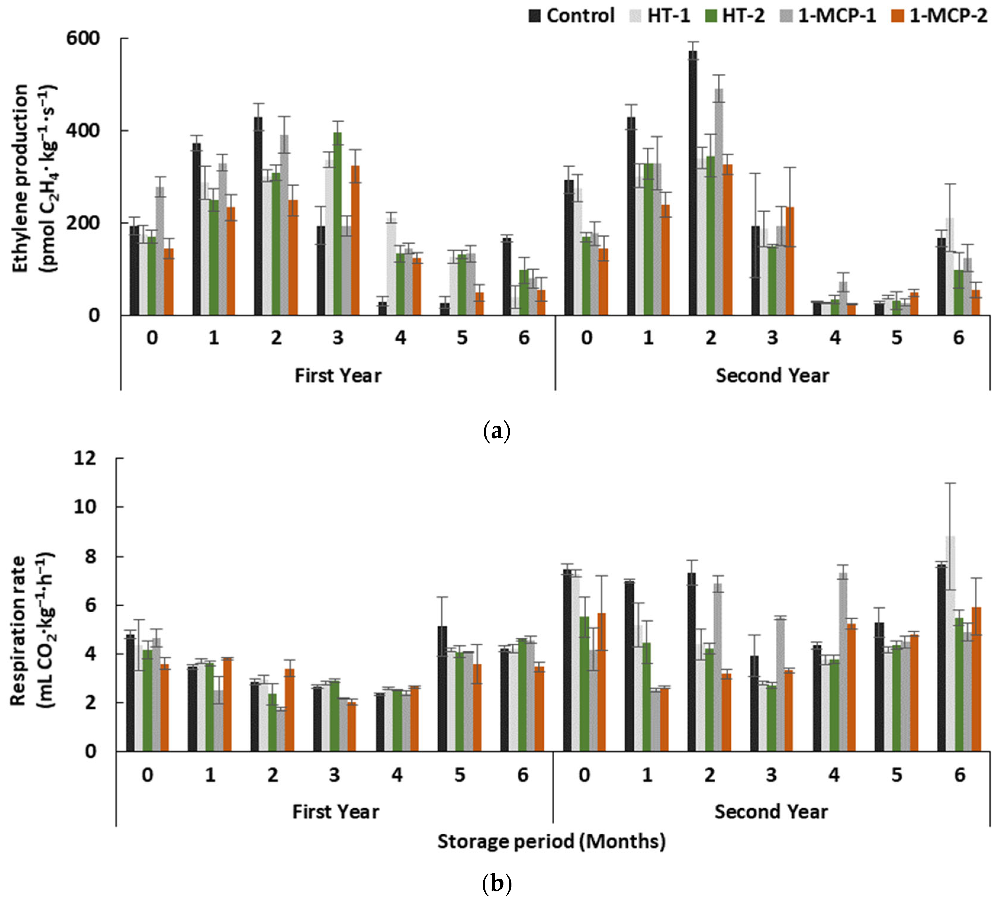
2.3.1. Ethylene Production and Respiration Rate
2.3.2. Fruit Peel and Flesh Color
2.3.3. Flesh Browning Rate
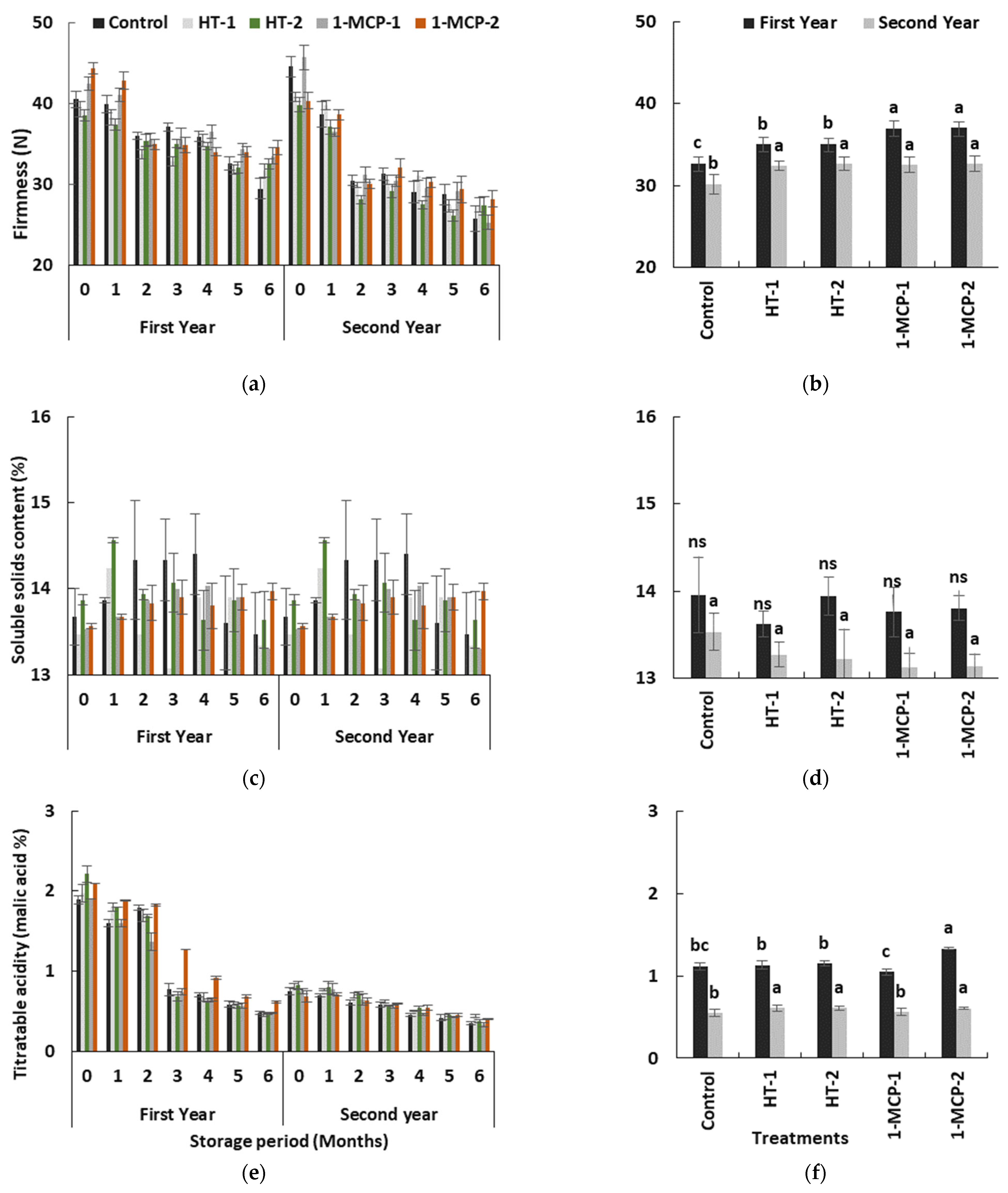
2.3.4. Flesh Firmness
2.3.5. Soluble Solids Content and Titratable Acidity
2.3.6. Weight Loss
2.3.7. Sensory Expert Analyses
2.3.8. Sugars, Organic Acids, Phenolic Compounds and Vitamin C
2.4. Experimental Design and Statistical Evaluations
3. Results and Discussion
3.1. Ethylene Production and Respiration Rate
3.2. Fruit Peel, Flesh Color, Flesh Browning
3.3. Firmness, Soluble Solids Content and Titratable Acidity
3.4. Weight Loss and Sensory Expert Analyses
3.5. Sugars, Organic Acids and Phenolic Profile
3.6. Vitamin C
4. Conclusions
Author Contributions
Funding
Institutional Review Board Statement
Informed Consent Statement
Data Availability Statement
Conflicts of Interest
References
- Food and Agriculture Organization of the United Nations. Available online: https://www.fao.org/faostat/en/#data/QCL (accessed on 11 October 2021).
- Khoubnasabjafari1, M.; Jouyban, A. A review of phytochemistry and bioactivity of quince (Cydonia oblonga Mill.). J. Med. Plants Res. 2011, 5, 3577–3594. [Google Scholar] [CrossRef]
- Muzykiewicz, A.; Zielonka Brzezicka, J.; Klimowicz, A. Quince (Cydonia oblonga Mill.) as a useful source of antioxidants—Antioxidant activity evaluation. Herba Pol. 2018, 64, 23–33. [Google Scholar] [CrossRef]
- Tuna Gunes, N. Changes in ethylene production in quince (Cydonia vulgaris L.) and the use of ethylene to predict harvest maturity. Eur. J. Hortic. Sci. 2003, 68, 212–221. [Google Scholar]
- Silva, B.M.; Andrade, P.B.; Mendes, G.C.; Seabra, R.M.; Ferreira, M.A. Study of organic acids composition of quince (Cydonia oblonga Miller) fruit and jam. J. Agric. Food Chem. 2002, 50, 2313–2317. [Google Scholar] [CrossRef]
- Forni, E.; Penci, M.; Polesello, A. A Preliminary characterization of some pectins from quince fruit (Cydonia oblonga Mill.) and prickly pear (Opuntia ficus indica) peel. Carbohydr. Polym. 1994, 23, 231–234. [Google Scholar] [CrossRef]
- Silva, B.M.; Casal, S.; Andrade, P.B.; Seabra, R.M.; Oliviera, M.B.P.P.; Ferreira, M.A. Free amino acid composition of quince (Cydonia oblonga Miller) fruit (pulp and peel) and jam. J. Agric. Food Chem. 2004, 52, 1201–1206. [Google Scholar] [CrossRef] [PubMed]
- Silva, B.M.; Andrade, P.B.; Ferreres, F.; Dominques, A.L.; Seabra, R.M.; Ferreira, M.A. Phenolic profile of quince fruit (Cydonia oblonga Miller) (pulp and peel). J. Agric. Food Chem. 2002, 50, 4615–4618. [Google Scholar] [CrossRef] [PubMed]
- Hamauzu, Y.; Yasui, H.; Inno, T.; Kume, C.; Omanyuda, M. Phenolic profile, antioxidant property, and anti-influenza viral activity of Chinese quince (Pseudocydonia sinensis Schneid.), quince (Cydonia oblonga Mill.), and apple (Malus domestica Mill.) fruits. J. Agric. Food Chem. 2005, 53, 928–934. [Google Scholar] [CrossRef]
- Gunes, N.T.; Poyrazoglu, E.S. Evaluation of some quince (Cydonia oblonga Mill.) cultivars in terms of jam processing. Acta Hortic. 2020, 1292, 73–78. [Google Scholar] [CrossRef]
- Tuna Gunes, N.; Dumanoglu, H. Some fruit attributes of quince (Cydonia oblonga) based on genotypes during the pre-harvest period. N. Z. J. Crop Hortic. Sci. 2005, 33, 211–217. [Google Scholar] [CrossRef][Green Version]
- Radovicć, A.; Milatovicć, D.; Nikolicć, D.; Đurovicć, D.; Đorđevicć, B.; Bakicć, I. Changes in fruit quality of quinces during cold storage. Acta Hortic. 2020, 1289, 73–77. [Google Scholar] [CrossRef]
- Gunes, N.T. Ripening regulation during storage in quince (Cydonia oblonga Mill.) fruit. Acta Hortic. 2008, 796, 191–196. [Google Scholar] [CrossRef]
- Yahia, E.M. Postharvest Technology of Perishable Horticultural Commodities; Woodhead Publishing: New Delhi, India, 2019; 719p. [Google Scholar]
- Sisler, E.C.; Blankenship, S.M. Methods of Counteracting an Ethylene Response in Plants. U.S. Patent 5,518,988, 21 May 1996. [Google Scholar]
- US Environmental Protection Agency (US EPA) Biopesticide Registration Action Document. 1-Methylcyclopropene (PC Code 224459). Available online: https://www3.epa.gov/pesticides/chem_search/reg_actions/registration/decision_PC-224459_30-May-08.pdf (accessed on 9 September 2021).
- Gunes, N.T. Effect of 1-MCP and different ecological conditions on postharvest quality of ’Eşme’ quince fruit during long term storage. Acta Hortic. 2010, 877, 387–394. [Google Scholar] [CrossRef]
- Sakaldaş, M.; Kaynaş, K.; Dombaz, Y. Effects of 1-methylcyclopropene on fruit quality and biochemical properties of ‘Esme’ quince cultivar during long term storage. Acta Hortic. 2010, 876, 259–265. [Google Scholar] [CrossRef]
- Nanos, G.D.; Mpezou, A.; Georoudaki, T. Effects of 1-MCP and storage temperature on quince fruit quality. Acta Hortic. 2015, 1079, 453–458. [Google Scholar] [CrossRef]
- Watkins, C.B. Advances in the use of 1-MCP. In Advances in Postharvest Fruit and Vegetable Technology; Wills, R.B.H., Golding, J.B., Eds.; CRC Press: Boca Raton, FL, USA, 2015; pp. 117–146. [Google Scholar]
- Fallik, E.; Alkalai-Tuvia, S.; Chalupowicz, D. Hot water rinsing and brushing of fresh produce as an alternative to chemical treatment after harvest—The story behind the technology. Agronomy 2021, 11, 1653. [Google Scholar] [CrossRef]
- Fallik, E.; Ilic’, Z. Control of postharvest decay of fresh produce by heat treatments: The risks and benefits. In Postharvest Pathology of Fresh Horticultural Produce; Palou, L., Smilanick, J.L., Eds.; CRC Press: Boca Raton, FL, USA, 2020; pp. 521–538. [Google Scholar]
- Yurdugül, S. Preservation of quinces by the combination of an edible coating material, Semperfresh, ascorbic acid and cold storage. Eur. Food Res. Technol. 2005, 220, 579–586. [Google Scholar] [CrossRef]
- Hussain, P.R.; Rather, S.A.; Suradkar, P.P.; Ayob, O. Gamma irradiation treatment of quince fruit (Cydonia oblonga Mill.): Effect on post-harvest retention of storage quality and inhibition of fungal decay. J. Radiat. Res. Appl. Sci. 2019, 12, 118–131. [Google Scholar] [CrossRef]
- Klein, J.; Lurie, S. Prestorage heat treatment as a means of improving poststorage quality of apples. J. Am. Soc. Hortic. Sci. 1990, 115, 265–269. [Google Scholar] [CrossRef]
- Banks, N.H.; Cleland, D.J.; Cameron, A.C.; Beaudry, R.M.; Kader, A.A. Proposal for a rationalized system of units for postharvest research in gas exchange. HortScience 1995, 30, 1129–1131. [Google Scholar] [CrossRef]
- McGuire, R.G. Reporting of objective color measurements. HortScience 1992, 27, 1254–1255. [Google Scholar] [CrossRef]
- Manganaris, G.A.; Vasilakakis, M.; Diamantidis, G.; Mignami., I. Cell wall physicochemical aspects of peach fruit related to internal breakdown symptoms. Postharvest Biol. Technol. 2006, 39, 69–74. [Google Scholar] [CrossRef]
- Gálvez-Lòpez, D.; Laurens, F.; Devaux, M.F.; Lahaye, M. Texture analysis in an apple progeny through instrumental, sensory and histological phenotyping. Euphytica 2012, 185, 171–183. [Google Scholar] [CrossRef]
- Tuna-Gunes, N.; Koksal, A.I. Relationships between some fruit characteristics and sensory evaluation in quince (Cydonia oblonga Mill.) fruits. Acta Hortic. 2007, 741, 125–133. [Google Scholar] [CrossRef]
- Tuna Gunes, N.; Aygun, A.; San, B. Postharvest heat treatments for enhanced fruit quality during storage of early ripening European pear. Eur. J. Hortic. Sci. 2006, 71, 135–142. [Google Scholar]
- Flores, P.; Hellín, P.; Fenoll, J. Determination of organic acids in fruits and vegetables by liquid chromatography with tandem-mass spectrometry. Food Chem. 2012, 132, 1049–1054. [Google Scholar] [CrossRef]
- Arya, S.P.; Mahajan, M.; Jain, P. Non-spectrophotometric methods for the determination of Vitamin C. Anal. Chim. Acta 2000, 417, 1–14. [Google Scholar] [CrossRef]
- Tuncel Hasçelik, H.; Şen, F. Research on the effects of harvest stage and 1-methylcyclopropene on postharvest quality of ‘Eşme’ quince fruit during long-term storage. Acta Hortic. 2020, 1275, 253–260. [Google Scholar] [CrossRef]
- Gunes, N.T.; Dumanoglu, H.; Poyrazoglu, E.S. Use of 1-MCP for keeping postharvest quality of ‘Ekmek’ quince fruit. Acta Hortic. 2012, 934, 297–302. [Google Scholar] [CrossRef]
- Tatari, M.; Mousavi, A. Impact of harvesting time and length of cold storage period on physiological and quality traits of four quince genotypes (Cydonia oblonga Mill.). J. Hortic. Res. 2017, 25, 67–79. [Google Scholar] [CrossRef][Green Version]
- Moradi, S.; Koushesh Saba, M.; Mozafari, A.A.; Abdollahi, H. Antioxidant bioactive compounds changes in fruit of quince genotypes over cold storage. J. Food Sci. 2016, 81, H1833–H1839. [Google Scholar] [CrossRef]
- Fallik, E.; Ilić, Z. The influence of physical treatments on phytochemical changes in fresh produce after storage and marketing. Agronomy 2021, 11, 788. [Google Scholar] [CrossRef]
- Yildiz, G.; Izli, G.; Aadil, R.M. Comparison of chemical, physical, and ultrasound treatments on the shelf life of fresh-cut quince fruit (Cydonia oblonga Mill.). J. Food Process. Preserv. 2020, 44, e14366. [Google Scholar] [CrossRef]
- Moradi, S.; Saba, M.K.; Mozafari, A.A.; Abdollahi, H. Physical and biochemical changes of some Iranian quince (Cydonia oblonga Mill.) genotypes during cold storage. J. Agr. Sci. Tech. 2017, 19, 377–388. [Google Scholar]
- Yi, M.; Kong, J.; Yu, Z. Effect of heat treatment on the quality and energy metabolism in “Golden Delicious” apple fruit. J. Food Biochem. 2021, 45, e13759. [Google Scholar] [CrossRef]
- Klein, J.D.; Lurie, S.; Ben-Arie, R. Quality and cell wall components of ‘Anna’ and ‘Granny Smith’ apples treated with heat, calcium and ethylene. J. Am. Soc. Hortic. Sci. 1990, 115, 954–958. [Google Scholar] [CrossRef]
- Lurie, S.; Nussinovitch, A. Compression characteristics, firmness, and texture perception of heat treated and un-heated apples. Intern. J. Food Sci. Technol. 1996, 31, 1–5. [Google Scholar] [CrossRef]
- Gunes, N.T.; Poyrazoglu, E.S.; Dumanoglu, H. Preliminary results on some constitutional changes in 1-MCP treated quince (Cydonia oblonga Mill.) fruit during cold storage period. Acta Hortic. 2010, 858, 229–234. [Google Scholar] [CrossRef]
- Zhang, J.; Ma, Y.; Dong, C.; Terry, L.A.; Watkins, C.B.; Yu, Z.; Chang, Z.-M. Meta-analysis of the effects of 1-methylcyclopropene (1-MCP) treatment on climacteric fruit ripening. Hortic. Res. 2020, 7, 208. [Google Scholar] [CrossRef]







| Assessments | Source of Variation | |||||
|---|---|---|---|---|---|---|
| First Year | Second Year | |||||
| SP 1 | Ts 1 | SP × Ts 1 | SP | Ts | SP × Ts | |
| Ethylene production | *** | ns 2 | ** | *** | ns | ** |
| Respiration rate | *** | ns | ** | *** | *** | *** |
| Peel hue | *** | *** | ** | *** | ns | ns |
| Peel L* | *** | ns | ns | *** | ns | ns |
| Flesh hue | *** | *** | ** | *** | *** | ns |
| Flesh L* | *** | * | *** | *** | ** | ns |
| Flesh browning rate | *** | *** | *** | *** | *** | *** |
| Flesh firmness | *** | *** | *** | *** | *** | ** |
| Soluble solids | ns | ns | ns | *** | ** | ns |
| Titratable acidity | *** | ** | *** | *** | ** | ns |
| Weight loss | *** | *** | *** | *** | *** | *** |
| Sensory expert analyses | *** | *** | *** | *** | *** | *** |
| Vitamin C | *** | * | * | *** | ** | ns |
| Years | Sugars (mg·100 g−1 Fresh Weight (FW)) | ||||
|---|---|---|---|---|---|
| Treatments 1 | Sucrose | Glucose + Galactose | Fructose | Sorbitol | |
| First Year | Control | 878.23 ± 80.90 ns | 2278.37 ± 102.04 a2 | 4564.41 ± 195.44 ns | 891.70 ± 85.60 ab |
| HT-1 | 944.86 ± 43.01 ns | 2305.36 ± 100.27 a | 4368.51 ± 235.37 ns | 853.30 ± 43.57 b | |
| HT-2 | 921.16 ± 53.50 ns | 2417.93 ± 123.57 a | 4393.49 ± 207.95 ns | 990.93 ± 55.75 a | |
| 1-MCP-1 | 900.04 ± 45.79 ns | 2234.79 ± 86.62 ab | 4500.14 ± 180.60 ns | 859.63 ± 54.14 b | |
| 1-MCP-2 | 870.44 ± 34.76 ns | 2054.26 ± 89.75 c | 4311.57 ± 175.16 ns | 886.14 ± 69.41 ab | |
| Significance of influence (p) | |||||
| SP 1 | *** 2 | *** | ** | *** | |
| Ts | ns | *** | ns | ** | |
| SP × Ts | ** | *** | ns | *** | |
| Second Year | Control | 583.00 ± 94.80 c | 1257.43 ± 97.74 ns | 3927.99 ± 231.31 ns | 1067.99 ± 97.80 a |
| HT-1 | 671.59 ± 38.04 b | 1244.57 ± 36.95 ns | 3937.76 ± 151.90 ns | 873.73 ± 49.25 b | |
| HT-2 | 696.57 ± 35.55 a | 1185.83 ± 32.09 ns | 3879.17 ± 117.74 ns | 833.30 ± 45.12 b | |
| 1-MCP-1 | 693.24 ± 42.16 a | 1239.84 ± 37.13 ns | 3844.50 ± 119.30 ns | 945.44 ± 39.92 b | |
| 1-MCP-2 | 666.91 ± 41.08 b | 1226.89 ± 51.27 ns | 3988.57 ± 150.71 ns | 888.26 ± 65.34 b | |
| Significance of influence (p) | |||||
| SP | *** | ns | ** | * | |
| Ts | *** | ns | ns | *** | |
| SP × Ts | *** | ns | ns | ns | |
| Organic Acids (mg·kg−1 FW) | |||||
| Treatments | Oxalic Acid | Citric Acid | Malic Acid | Succinic Acid | |
| First Year | Control | 58.71 ± 3.88 ab | 27.53 ± 2.59 c | 5925.00 ± 256.08 b | 2042.71 ± 88.55 a |
| HT-1 | 63.75 ± 5.44 ab | 32.42 ± 1.93 ab | 6556.14 ± 340.67 a | 1856.86 ± 175.50 ab | |
| HT-2 | 64.92 ± 2.10 a | 31.56 ± 1.57 ab | 6738.91 ± 336.38 a | 1602.37 ± 183.33 b | |
| 1-MCP-1 | 57.31 ± 2.61 ab | 28.81 ± 2.53 bc | 5759.71 ± 208.65 b | 1721.00 ± 117.30 b | |
| 1-MCP-2 | 55.35 ± 3.76 b | 34.45 ± 2.53 a | 6217.14 ± 215.48 ab | 1783.56 ± 85.00 ab | |
| Significance of influence (p) | |||||
| SP | *** | * | *** | *** | |
| Ts | * | *** | *** | *** | |
| SP × Ts | ns | ** | *** | * | |
| Second Year | Control | 110.42 ± 11.88 a | 27.99 ± 5.56 ns | 6033.57 ± 540.43 b | 1490.96 ± 148.61 a |
| HT-1 | 95.54 ± 10.13 ab | 29.88 ± 4.01 ns | 6733.14 ± 371.00 ab | 1393.03 ± 184.74 a | |
| HT-2 | 84.47 ± 8.46 b | 27.81 ± 2.71 ns | 6589.44 ± 333.49 ab | 1424.21 ± 148.10 a | |
| 1-MCP-1 | 98.45 ± 9.34 ab | 25.00 ± 4.31 ns | 6643.71 ± 575.86 ab | 1623.86 ± 178.00 a | |
| 1-MCP-2 | 101.62 ± 8.89 a | 31.26 ± 3.41 ns | 7034.29 ± 485.29 a | 1653.14 ± 171.28 a | |
| Significance of influence (p) | |||||
| SP | *** | ns | *** | *** | |
| Ts | *** | ns | * | *** | |
| SP × Ts | ns | ns | ns | ns | |
| Years | Treatments 1 | 5– Caffeoylquinic Acid | 3– Caffeoylquinic Acid | 4– Caffeoylquinic Acid | Rutin |
|---|---|---|---|---|---|
| First Year | Control | 1926.87 ± 138.29 c2 | 697.47 ± 85.79 ns | 208.14 ± 24.07 ns | 139.06 ± 28.59 ns |
| HT-1 | 2165.59 ± 208.44 a | 714.31 ± 88.75 ns | 227.63 ± 9.87 ns | 168.51 ± 31.98 ns | |
| HT-2 | 2007.34 ± 179.76 b | 739.44 ± 98.48 ns | 232.98 ± 18.97 ns | 172.45 ± 15.80 ns | |
| 1-MCP-1 | 1627.19 ± 210.46 d | 552.96 ± 104.19 ns | 176.39 ± 15.27 ns | 151.43 ± 9.38 ns | |
| 1-MCP-2 | 2094.32 ± 222.13 b | 847.83 ± 102.66 ns | 233.51 ± 19.83 ns | 180.76 ± 23.74 ns | |
| Significance of influence (p) | |||||
| SP | *** | ns | * | ns | |
| Ts | * | ns | ns | ns | |
| SP × Ts | * | ns | ns | ns | |
| Second Year | Control | 1741.35 ± 122.86 ns | 870.28 ± 87.56 ns | 208.43 ± 21.27 ns | 129.63 ± 21.83 ns |
| HT-1 | 2007.71 ± 160.29 ns | 738.79 ± 95.42 ns | 217.34 ± 21.13 ns | 145.47 ± 21.31 ns | |
| HT-2 | 1847.58 ± 150.67 ns | 799.13 ± 112.46 ns | 213.41 ± 21.01 ns | 140.97 ± 16.02 ns | |
| 1-MCP-1 | 1458.91 ± 122.73 ns | 780.76 ± 105.75 ns | 199.11 ± 25.08 ns | 130.71 ± 21.30 ns | |
| 1-MCP-2 | 1947.03 ± 175.41 ns | 780.60 ± 85.72 ns | 198.29 ± 23.46 ns | 113.07 ± 23.74 ns | |
| Significance of influence (p) | |||||
| SP | ns | ns | ** | ns | |
| Ts | ns | ns | ns | ns | |
| SP × Ts | ns | ns | ns | ns | |
Publisher’s Note: MDPI stays neutral with regard to jurisdictional claims in published maps and institutional affiliations. |
© 2022 by the authors. Licensee MDPI, Basel, Switzerland. This article is an open access article distributed under the terms and conditions of the Creative Commons Attribution (CC BY) license (https://creativecommons.org/licenses/by/4.0/).
Share and Cite
Gunes, N.T.; Poyrazoğlu, E.S. Influence of Hot Water and 1-Methylcyclopropane Treatments on Air-Stored Quince Fruit. Agronomy 2022, 12, 458. https://doi.org/10.3390/agronomy12020458
Gunes NT, Poyrazoğlu ES. Influence of Hot Water and 1-Methylcyclopropane Treatments on Air-Stored Quince Fruit. Agronomy. 2022; 12(2):458. https://doi.org/10.3390/agronomy12020458
Chicago/Turabian StyleGunes, Nurdan Tuna, and Ender Sinan Poyrazoğlu. 2022. "Influence of Hot Water and 1-Methylcyclopropane Treatments on Air-Stored Quince Fruit" Agronomy 12, no. 2: 458. https://doi.org/10.3390/agronomy12020458
APA StyleGunes, N. T., & Poyrazoğlu, E. S. (2022). Influence of Hot Water and 1-Methylcyclopropane Treatments on Air-Stored Quince Fruit. Agronomy, 12(2), 458. https://doi.org/10.3390/agronomy12020458

