Next Article in Journal
Spatiotemporal Patterns of Multiscale Drought and Its Impact on Winter Wheat Yield over North China Plain
Previous Article in Journal
Spatial and In-Depth Distribution of Soil Salinity and Heavy Metals (Pb, Zn, Cd, Ni, Cu) in Arable Irrigated Soils in Southern Kazakhstan
 
 
Font Type:
Arial Georgia Verdana
Font Size:
Aa Aa Aa
Line Spacing:
Column Width:
Background:
Article

Barley Straw Combined with Urea and Controlled-Release Nitrogen Fertilizer Improves Lint Yield and Nitrogen Utilization of Field-Seeded Cotton

1
Institute of Industrial Crops, Jiangsu Academy of Agricultural Sciences, Nanjing 210014, China
2
Key Laboratory of Cotton and Rapeseed, Ministry of Agriculture and Rural Affairs, Nanjing 210014, China
3
College of Life Sciences and Food Engineering, Huaiyin Institute of Technology, Huaian 223003, China
4
College of Agriculture, Nanjing Agricultural University, Nanjing 210095, China
*
Author to whom correspondence should be addressed.
Agronomy 2022, 12(5), 1208; https://doi.org/10.3390/agronomy12051208
Submission received: 28 March 2022 / Revised: 10 May 2022 / Accepted: 13 May 2022 / Published: 18 May 2022
(This article belongs to the Special Issue Plant Resilience in Polluted Soil)

Abstract

:
Straw returning is an important method of improving soil fertility and reducing environmental pollution. Controlled-release nitrogen fertilizer (CRN) is regarded as an effective way to reduce nitrogen (N) loss and increase N-use efficiency and crop yield. In order to determine the combined effects of straw management (straw removal and straw returning) and N-fertilization strategy (CK (no N), urea, CRN, and a mixture of urea and CRN (UC)) on lint yield, N utilization, and soil properties at harvest of field-seeded cotton, field experiments were conducted from 2018 to 2019. The results demonstrated that the lint yield was the highest with a combination of straw returning and UC, increasing by 4.2–46.9% over other combinations. Straw returning combined with UC facilitated biomass-accumulation and N-uptake from squaring to the boll-opening growth stage, contributing to higher N agronomic-use efficiency and apparent recovery-use efficiency. Moreover, regardless of the straw management, CRN or UC treatment increased the soil microbial N content and sucrase activity at harvest compared to urea or CK treatment. In summary, straw returning combined with UC was beneficial to the lint yield, N utilization, and soil N availability, which might be an optimizing strategy for field-seeded cotton.

1. Introduction

Straw is an important biological resource in the crop-production system as it contains a large amount of organic matter and nutrient elements, such as carbon, nitrogen (N), phosphorus, and potassium [1,2,3,4]. Therefore, straw returning has become an important method of improving soil fertility and ecological protection for the sustainable development of agriculture in the world [5,6].
Barley–cotton rotation is an important cropping system in the main cotton-producing regions of the Yangtze River Valley and the Yellow River Valley in China. Straw returning is a technical approach to reducing the application of chemical fertilizer in two crops under the barley–cotton rotation system. Several studies have shown that straw returning can increase crop yield in maize, wheat, rice, and cotton, etc. [1,7,8,9], but the contrary reports also exist [10,11]. In addition, studies have shown that straw returning enhances the C/N ratio, which can slow straw decomposition and cause net N immobilization [12,13,14]. This phenomenon could affect the availability of soil and fertilizer N, thus inhibiting the early growth of crops and even decreasing crop yield [10,11]. Therefore, it is important to apply N fertilizer reasonably to promote the cotton-seedling growth under straw returning [15,16].
As field-seeded cotton after barley harvest is conducive to simplified and efficient production, it is the future direction of cotton production in the Yangtze River Valley [17,18]. In view of the shorter effective growth period and the short season of cotton varieties relative to conventionally transplanted cotton, an appropriate N-fertilization strategy is crucial for concentrated boll-forming to achieve high yield for field-seeded cotton after barley harvest. This strategy should not only favor seedling growth at earlier growth stages but also prevent premature senescence and delayed maturity at later growth stages for field-seeded cotton after barley harvest [17]. Although common urea is most usually used as a N fertilizer, with split applications for high fields, it cannot be ignored that the rapid N release of common urea leads to reduced N-use efficiency and increases the risk of environmental pollution [19]. However, by applying different coating materials or adding inhibitors, the controlled-release N fertilizer (CRN) could release N gradually into the soil with a rate meeting the nutrient demand of plants, thus reducing excessive inorganic N accumulation and N loss from the soil profile [20,21,22,23], which decreases dosage and frequency during the crop growth period and reduces the risk of environmental pollution [24,25]. Hence, CRN is considered to be an effective way to reduce N loss and increase N-use efficiency and the crop yield [26]. In addition, studies have showed that CRN could lead to insufficient N supply at earlier growth stage and delayed senescence in crops [27,28]. Therefore, an effective N-fertilization strategy is required to maximize yields and N-use efficiency and to minimize the negative effects of N fertilizer on the environment in field-seeded cotton after barley harvest.
Numerous studies have examined the isolated impact of straw or CRN on crop yields and N-utilization [9,20,21,22,23], while studies of the combined impact of straw and fertilizer mostly focused on straw and chemical fertilizer [1,2,29]. Straw and CRN have rarely been evaluated together for their combined effects on crops, especially on cotton yield and N-utilization in field-seeded cotton under the barley–cotton rotation system. Further research must be conducted to establish improved management strategies to increase cotton yield and N-use efficiency. Understanding the interaction of straw management and CRN strategy on cotton growth, yield, and N utilization is important to maximize agronomic benefits and minimize environmental costs compared to conventional fertilization. Therefore, the present study aimed to determine the influence of straw and CRN and their interaction on (i) cotton yield and yield components, (ii) cotton biomass and N uptake, (iii) N-use efficiency, and (iv) the soil properties at harvest. The results will help identify suitable combinations of straw and CRN practices to promote cotton growth and improve yields and N-utilization in field-seeded cotton in China.

2. Material and Methods

2.1. Experimental Site

The field experiments were conducted in 2018 and 2019 at Dafeng Basic Seed Farm, Dafeng, Jiangsu (33°24′ N and 120°34′ E), China. The mean temperatures during the cotton season (May–October) were 25.1 °C and 24.4 °C, respectively; and the total precipitations were 429.2 mm and 473.2 mm, respectively. The sandy loam was slightly alkaline (pH = 7.9) and contained 8.8% clay, 36.2% silt, and 55.0% sand in the 0–20 cm soil layer. Organic matter, total N, alkali-hydro N, available phosphate (P), and available potassium (K) in the 0–20 cm soil layer were 12.5 g·kg−1, 1.0 g·kg−1, 86.3 mg·kg−1, 30.5 mg·kg−1 and 243 mg·kg−1, respectively.

2.2. Experimental Design

A split-plot design in randomized complete blocks with three replicates was employed for this experiment. The main plot factor was straw management and the sub-plot factor was a N-fertilization strategy for a total of four treatments, randomly assigned. The main plot consisted of two levels: (1) straw removal (S0): the barley straw was removed from the field after barley harvest and (2) straw returning (S1): the barley straw was chopped into pieces 5–8 cm in length and then manually buried into 0–20 cm depth soil at the rate of 6 t ha−1. The sub-plot consisted of four levels: (1) CK (0 kg ha−1 N), (2) urea (150 kg ha−1 N), (3) CRN in the form of resin-coated urea (150 kg ha−1 N, the N release rate was above 92.0% after incubation period of 110 days in water at 25 °C), and (4) a mixture of urea and CRN (UC) at the N ratio of 4:6 (150 kg ha−1 N). The CRN and UC were applied once at the seedling stage, while the urea was applied twice—once at the seedling stage (40% of the total) and again at the early-blooming growth stage (60% of the total). Phosphate and potassium fertilizers were the same for all treatment combinations, and were applied as basic dressing with 75 kg ha−1 (P2O5) and 150 kg ha−1 (K2O).
The area of each main plot was 127.68 m2 (18.24 m × 7.0 m), divided into four sub-plots. Each sub-plot was 31.92 m2 (4.56 m × 7.0 m) and contained six rows. The short season cotton variety (CCRI50) was selected as experiment material, and a density of 9.75 × 104 plants ha−1 was sown with a row spacing of 76 cm on 22 May 2018 and 27 May 2019. Other management measures were the same as those used in large-scale cotton production.

2.3. Sampling and Measurement

2.3.1. Biomass Accumulation and N-Content Determination

Plant samples for biomass and N uptake were taken from the peak squaring growth stage onwards. In 2018, the sampling days were 15 July at the peak squaring growth stage, 15 August at the peak blooming growth stage, and 15 September at the boll-opening growth stage. In 2019, the sampling days were 20 July at the peak squaring growth stage, 20 August at the peak blooming growth stage, and 20 September at the boll-opening growth stage.
Five consecutive cotton plants with uniform growth were collected from each sub-plot. Above-ground parts of the cotton plant were separated into leaves, stems, and inflorescence. The separated samples were first heated at 105 °C for 30 min for deactivation of enzymes, then dried at 80 °C to a constant weight, followed by weighing and grinding. For determination of total N uptake, the ground samples of each plant part were screened through a 0.5 mm sieve. Total N concentration was assessed using the Kjeldahl method [30]. N uptake by the plants was then calculated based on the resulting plant N concentrations and weights of different plant parts.

2.3.2. N-Use Efficiency

The N-use efficiency values were calculated according to Yang et al. (2016) [17]: (1) N agronomic-use efficiency (NAE, kg kg−1) = ((lint yield from N treated plants) − (lint yield from receiving no N fertilizer))/total applied N in the N treatment, and (2) N apparent recovery-use efficiency (NARE, %) = ((total plant N uptake from N treated plants) − (total N uptake from plants receiving no N fertilizer)) × 100/(total applied N in the N treatment).

2.3.3. Soil Chemical and Biological Analysis

On 10 October 2018 and 12 October 2019, soil samples were collected at depths of 0–20 cm from each sub-plot, and then separated into two parts. One subsample of the soil was air-dried, ground, passed through a 2 mm sieve, then through a 0.25 mm sieve, and stored in paper bags for determination of the soil chemical and biological properties and enzyme activities. Soil alkali–hydrolyzed N was measured using the procedure described by Bao (1999) [31]. In the diffusion boat, the soil was hydrolyzed with NaOH, causing the easily hydrolyzable N (potentially available N) to alkali hydrolyze and transform into NH3. The NH3 was absorbed by H3BO3 after diffusion and then titrated by standard acid. The urease and sucrase activity of soil was measured according to the procedure described by Li et al. (2008) [32]. After adding urea solution, the sample solution was incubated to hydrolyze urea into NH3-N by urease, the urease activity was expressed as mg NH3-N g−1 24 h−1. After adding sucrose solution, the sample solution was incubated to hydrolyze sucrose into glucose by sucrase. The sucrase activity was expressed as mg glucose g−1 24 h−1. The other subsample of the soil was stored in a −4 °C refrigerator for soil microbial N analysis. Soil microbial N was measured by the method described by Lin (2010) [33]. The soil microbial N was released with non-fumigated soil as control, and then the microbial N was extracted by potassium sulphate solution.

2.3.4. Lint Yield and Yield Components

The number of bolls was determined from a continuous set of 20 plants at the center area of each subplot on 10 October 2018 and 12 October 2019. Boll weight was determined from 30 randomly sampled open bolls at each subplot and weighed after sun-drying over one week. Then the seed cotton was rolled into lint, and the lint percentage and lint yield were calculated.

2.4. Statistical Analyses

Data were analyzed following analysis of variance using SPSS 17.0 (SPSS Institute Inc. Chicago, IL, USA), and the treatment means were compared based on the least significant difference at the 0.05 level of probability.

3. Results

3.1. Yield and Yield Components under Combined Straw Management and N-Fertilization Strategy

Compared with straw removal, straw returning exhibited non-significant and significant effects on lint yield in 2018 and 2019, respectively, and the average values increased by 0.8% and 4.9% (Table 1), which may be due to the differences in climate and the duration of straw returning between these years. However, N fertilization significantly increased lint yield in both years. The average lint yield was the highest in the UC treatment, and increased by 40.9%, 12.5%, 10.7% relative to the CK, urea, and CRN treatments, respectively, in 2018 and by 41.9%, 9.3%, 5.3% in 2019. The lint yield of the UC treatment under straw returning was higher than that under straw removal in either year. Moreover, no significant effect of the interaction between the straw management and N-fertilization strategy on lint yield was observed in either 2018 or 2019.
Straw management and N-fertilization strategy, as well as their interaction, significantly affected the boll number per hectare and boll weight in both years (Table 1). The boll number per hectare was the highest in the UC treatment, and reduced by 8.6%, 11.7%, and 24.9% and 6.3%, 12.9%, and 28.0% in treatments of CRN, urea, and CK treatments under straw removal, respectively, in 2018 and 2019, and by 12.7%, 10.6%, and 30.7% and 6.6%, 5.2%, and 29.8% under straw returning. What is more, the boll number per hectare of the UC treatment under straw returning exceeded that under straw removal by 6.8%. Under straw removal, there were no significant differences in boll weight under N fertilization in 2018 and 2019, while the boll weight was the highest in the CRN treatment under straw returning. The boll weight from CRN treatment under straw removal was comparable to that under straw returning. The lint percentage was only significantly affected by N-fertilization strategy, and the lower value was in the CRN treatment regardless of straw management in both years.

3.2. Biomass Accumulation and Partition under Combined Straw Management and N-Fertilization Strategy

In comparison to straw removal, straw returning significantly decreased the biomass of both shoot and reproductive organs only at the squaring growth stage in both years, which indicated that straw returning inhibited seedling growth at an earlier growth stage (Table 2). At the boll-opening growth stage, straw returning exerted non-significant and significant effects on the biomass of both of shoot and reproductive organs, respectively, in 2018 and 2019, which may be attributed to the difference in the rate of nutrient release from the straw resulting from climate difference between years. N fertilization significantly increased biomass across the whole growth stage compared with CK in either year (Table 2). The biomass of both shoot and reproductive organs was lower in the CRN treatment at the squaring growth stage under N fertilization, while the value was higher in the UC treatment from peak blooming to the boll-opening growth stage (Figure 1). This indicated that application of CRN was unfavorable for seedling growth at the earlier growth stage, while application of UC could promote biomass accumulation in both shoot and reproductive organ during the whole growth stage (Table 2, Figure 1). At the squaring growth stage, significant interactions between straw management and N-fertilization strategy on biomass both of shoot and reproductive organs were detected in both years (Table 2). The shoot biomass was lower in the combination of straw returning and CRN under N fertilization. Similar results were detected for biomass of reproductive organs (Figure 1). At the boll-opening growth stage, the shoot biomass was significantly affected by the interaction of straw management and N-fertilization strategy in either year (Table 2). The highest shoot biomass was in the UC treatment regardless of straw management, and decreased by 39.7%, 13.4%, and 6.5% and 41.1%, 13.4%, and 6.5% in treatments of CK, urea, and CRN, respectively, under straw removal in 2018 and 2019, and by 44.2%, 13.7%, and 7.3% and 45.4%, 9.2%, and 5.8% under straw returning. The shoot biomass of UC treatment was higher under straw returning than under straw removal. Similar results were found for biomass of reproductive organs (Figure 1). The results indicated that higher biomass at the boll-opening growth stage could be obtained in the combination of straw returning and UC for field-seeded cotton after barley harvest.

3.3. N Uptake and Utilization in Shoot and Reproductive Organs under Combined Straw Management and N-Fertilization Strategy

3.3.1. N Uptake and Partition

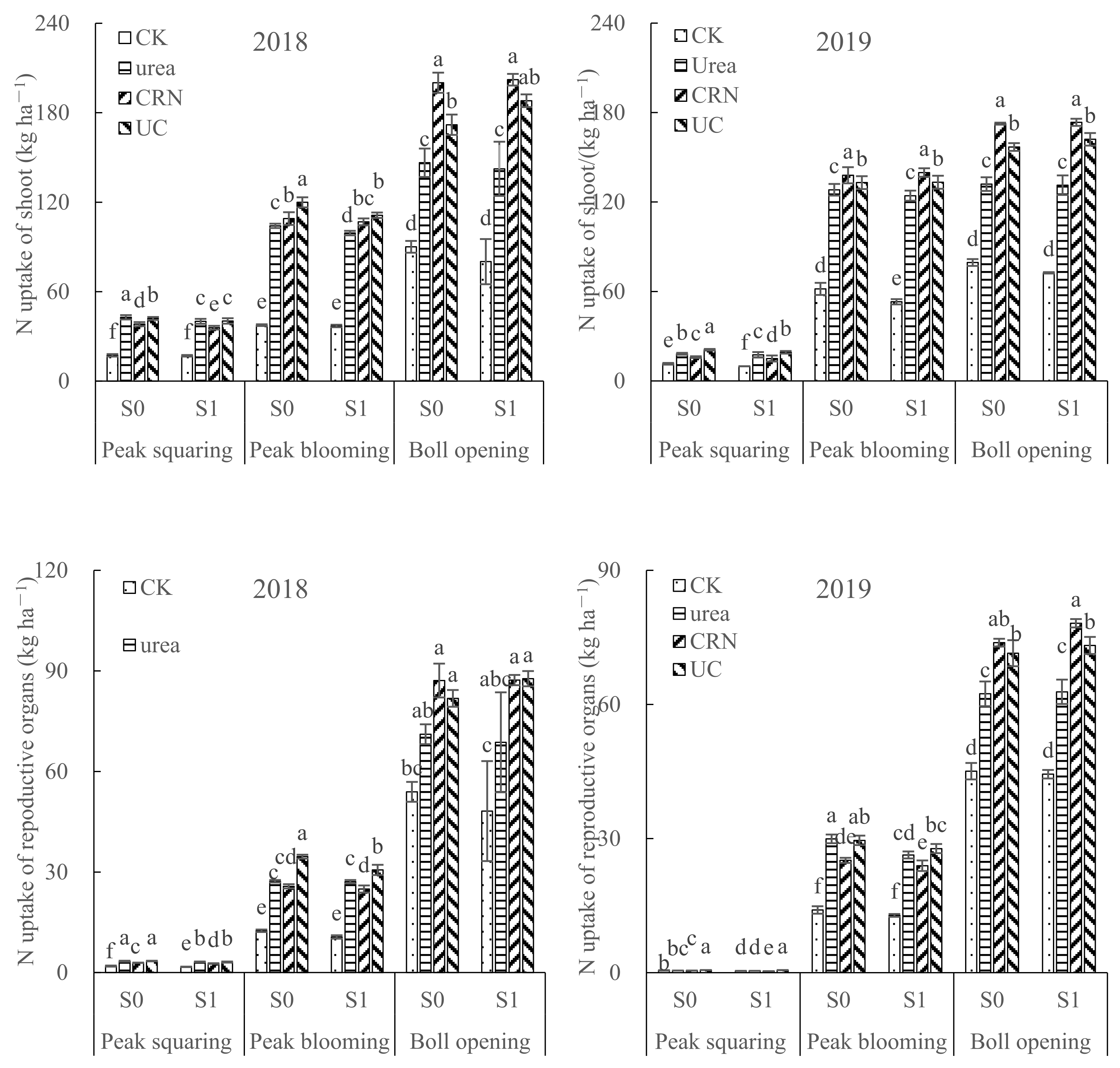
N uptake of the shoot significantly decreased only at the squaring growth stage under straw returning compared with straw removal, while it decreased from peak squaring to the peak-blooming growth stage for reproductive organs (Table 3), which indicated that straw returning hindered N uptake at the earlier growth stage. N fertilization significantly enhanced N uptake both of shoot and reproductive organs across all growth stages compared with CK (Table 3). For urea treatment, the N uptake of both shoot and reproductive organs was higher at peak squaring but lower at the boll-opening growth stage under N fertilization; for CRN treatment, N uptake was lower at peak squaring but higher at the boll-opening growth stage (Figure 2). This suggested that application of urea facilitated N uptake at the early growth stage, while application of CRN facilitated it at the later growth stage.
The interaction of straw management and N-fertilization strategy exhibited significant effects on N uptake from peak squaring to peak blooming growth stage. At the squaring growth stage, the lowest combination of N uptake was the same as that of biomass. At the peak-blooming growth stage, the lowest N uptake of the shoot was detected in the combination of straw returning and urea, while it was in the combination of straw returning and CRN for reproductive organs. This suggested that the combination of straw returning and urea displayed premature senescence to some extent at the later growth stage. At the boll-opening growth stage, the N uptake was only significantly affected by the N-fertilization strategy, and the average highest N uptake was in the CRN treatment. Under straw removal, the N uptake of the shoot decreased by 55.0%, 26.8%, and 14.1% and 54.0%, 23.5%, and 9.1% in treatments of CK, urea, and UC relative to CRN treatment, respectively, in 2018 and 2019; under straw returning, the decrements were 60.3%, 29.6%, and 7.0% and 58.2%, 24.3%, and 6.6% (Figure 2 and Table 3). N uptake in the CRN treatment under straw returning was higher than that under straw removal. N uptake in reproductive organs displayed the same trend as that of the shoot. The results suggested that application CRN could cause extended N uptake, especially under the combined application of straw and CRN.

3.3.2. N-Use Efficiency

The NARE and NAE were markedly enhanced under straw returning compared with straw removal in both years (Table 4), with the average NARE values increasing by 17.8% and 11.6% and the NAE by 23.1% and 23.3%, respectively, in 2018 and 2019.
N fertilization significantly affected the NARE and NAE in both years. The NARE was the highest in the CRN treatment, followed by UC treatment, and the average values increased by 95.5% and 74.2% for CRN treatment and by 59.7% and 49.7% for UC treatment over urea treatment, respectively, in 2018 and 2019. The NAE was the highest in UC treatment, and the average values increased by 61.1% and 40.0% relative to urea treatment and by 45.0% and 21.8% relative to CRN treatment, respectively, in 2018 and 2019. These results indicated that high NARE and NAE could be obtained by applying UC.
In addition, no significant effect of interaction between straw management and N-fertilization strategy on NARE and NAE was observed in either 2018 or 2019.

3.4. Soil Physical and Chemical Properties at Harvest

3.4.1. Soil Alkali-Hydro N and Microbial N Contents

In comparison to straw removal, straw returning significantly increased the contents of soil alkali-hydro N 0–20 cm deep at harvest, where the average values enhanced by 4.5% and 7.7% in 2018 and 2019, respectively. (Table 5). However, no significant differences were found for the soil microbial N content between the two straw managements in either year.
N fertilization markedly improved the contents of soil alkali-hydro N and microbial N 0–20 cm deep at harvest in both years. The average alkali-hydro N contents in the CRN and UC treatments were 7.1%, 10.9%, and 9.4%, 12.7% lower than in urea treatment, respectively, in 2018 and 2019. However, the average microbial N contents in treatments of CRN and UC were 44.4% and 25.6% and 49.8% and 34.7% higher than in urea treatment, respectively, in 2018 and 2019.
There was no significant interaction between straw management and N-fertilization strategy on the contents of soil alkali-hydro N and microbial N in either 2018 or 2019.

3.4.2. Soil Urease and Sucrase Activities

Compared with straw removal (Table 6), straw returning significantly increased soil urease and sucrase activities, and the average values of soil urease activity increased by 11.8% and 8.8% and the sucrase activity by 12.1% and 13.4%, respectively, in 2018 and 2019.
The urease activities were lower in CRN and UC treatments under N fertilization, where the average values decreased by 10.3% and 16.1% and 11.5% and 15.8%, respectively, relative to urea treatment in 2018 and 2019. However, the average values of sucrase activities in treatments of CRN and UC were 21.2%, 19.5%, and 26.2%, 24.0%, respectively, higher than in urea treatment in 2018 and 2019.
No significant interaction between straw management and N-fertilization strategy on soil urease and sucrase activities was found in either year.

4. Discussion

4.1. Straw Returning Combined with UC Improves the Cotton Yield

Crop straw returning is an important method of improving soil fertility. Numerous studies have showed that straw returning can increase crop yield [1,9,34,35], and other studies also demonstrated that the yield was positively correlated with increasing straw returning times and amount in a wheat−cotton rotation system [2,36]. In the present study, straw returning increased the lint yield significantly only in 2019 (Figure 1), which may have been associated to fewer times of straw returning [36]. N-fertilization is an important technical measure to obtain higher yield [37]. In the current study, N fertilization generated a more positive effect on lint yield than straw returning. Studies have shown that application of CRN has different effects on crop yield, some positive [26,38], some negative [39], and some neutral [40]. In this study, the lint yield of CRN treatment was comparable to urea treatment [40], which could be attributed to both the slower nutrient release rate [27,28] and shorter effective growth period of field-seeded cotton [17]. The highest lint yield was obtained in the combination of straw returning and UC. Our previous study showed that boll number per area contributed the most to the yield relative to other yield components for field-seeded cotton after barley harvest [17]. In the present study, as boll number per hectare was significantly increased by application of straw returning or N fertilizer, especially by application of UC, the highest value in the combination of straw returning and UC was the main cause of the highest lint yield.

4.2. Straw Returning Combined with UC Facilitates Biomass Accumulation and N Uptake

Higher biomass and its rational distribution are the basis of higher yield formation [41], and proper nutrient management practice is an important factor affecting the formation of crop biomass and yield [42,43,44]. In the present study, straw returning decreased the biomass and N uptake only at earlier growth stage, which could be due to the N competition from soil microbes resulting from high C/N ratio in barley straw [13,14]. The result indicated that straw returning could result in weak seedlings and delayed development, which may be the cause for reduction in boll weight under straw returning (Table 1). Application of N fertilizer significantly increased the biomass accumulation and N uptake at the main growth stage. This study also showed that the lower biomass and N accumulation at earlier growth stages, in the combination of straw returning and CRN. This could be attributed to both adverse effect of straw returning, as mentioned above, and slower N release rate from CRN at the early growth stage [21,45]. In other words, the slow release of N from CRU would aggravate the inhibition on the N supply at the earlier growth stage under straw returning [46].
With increased nutrient release from straw or CRN, either straw or CRN facilitated biomass accumulation and N uptake at the boll-opening growth stage. At this stage, the combination of straw returning and UC had higher biomass than the combination of straw returning and CRN, but the combination of straw returning and CRN had higher N uptake. The results could explain why the combination of straw returning and UC had higher NAE than that from the combination of straw returning and CRN, while the combination of straw returning and CRN had higher NARE. The results further verified that the application of CRN alone under straw returning resulted in extended growth and delayed maturity [28], which is the cause of the lower lint percentage (Table 1). In view of the shortened effective growth period for field-seeded cotton relative to common transplanted cotton, we can deduce that straw returning coupled with CRN is unfavorable to higher yield for field-seeded cotton (Table 1). The results also suggested that it is necessary to apply the fast-release fertilizer to supply the available N for field-seeded cotton under straw returning, especially at the seedling stage [15,16,47]. However, the combination of straw returning and UC performed better than the combination of straw returning and CRN or straw returning and urea in improving the biomass accumulation and N uptake across the whole growth stage, which is consistent with the results in rice [48]. The function of the urea of this combination was to match the N demand at the earlier growth stage [45,49]; the straw and CRN was sufficient for the N required for flowering and boll-forming at later growth stages [45,50]. These results are the main cause of a higher boll number per hectare and higher lint-yield and N-use efficiency under the combination of straw returning and UC.

4.3. Straw Returning Combined with UC Improves the Soil N Availability

The content of soil alkali-hydro N is an indicator of soil nitrogen availability. In this study, the content of alkali-hydro N significantly increased under straw returning. The microbial activity was stimulated under straw returning, thereby facilitating the release of straw nutrients and the mineralization of soil N, which may be the cause for the increase of available N content under straw incorporation. Moreover, the value was higher in the combination of straw returning and urea than in the combination of straw returning and CRN or straw returning and UC, which could be attributed to the following: (1) higher soil alkali-hydro N content was associated with the split application of urea; (2) more N was taken up by plants in combinations of straw returning and CRN or straw returning and UC rather than that remaining in the soil relative to the combination of straw returning and urea; and (3) the N nutrient of CRN may have been completely released (the CRN had been applied in field over 120 d), which demonstrated that application of CRN reduces the environmental risk [24,51]. Regardless of straw management, the urease activity was higher under applied urea and was positively correlated with the content of alkali-hydrol N (Table 7). Thus, it is speculated that higher urease activity was most likely associated with higher content of enzyme-reaction substrate (alkali-hydro N) resulting from split N fertilization.
Furthermore, soil microbial N content and sucrase activity under applied CRN or UC were higher than that under applied urea, and the sucrase activity was positively correlated with microbial N content (Table 7). This could be attributed to enhanced microbial biomass resulting from improved root growth and root activity [46,52], which has been verified by the improved biomass accumulation after the flowering growth stage under the application of CRN or UC (Figure 1). The sucrase activity increased under the application of CRN or UC, suggesting that CRN or UC help to the decomposition and transformation of soil organic matter, thereby improving soil nutrient availability [53]. Besides, since the N nutrient fixed in soil microbe could be re-mineralized as active N nutrient for crop absorption [54], it could be deduced that the continuous application of CRN can enhance soil N-supply capacity, thereby improving crop N acquisition [55,56], which has been verified by the higher N uptake (Figure 2) in the application of CRN or UC.

5. Conclusions

In order to promote the healthy and sustainable production of cotton under the barley–cotton rotation system, appropriate application strategy of the straw and CRN in field-seeded cotton after barley harvest should be determined to increase yield and N-use efficiency. Compared with the combination of straw returning and urea, the combination of straw returning and UC increased the lint yield, NAE and NARE by 7.4–14.3%, 30.7–60.0%, and 52.3–73.4%, respectively, in 2018 and 2019, which was beneficial to improving economic returns and reducing the environmental risk. In addition, straw returning combined with UC can increased soil microbial N content and sucrase activity at harvest, which indicated that the combination was beneficial to improving the soil N availability. Therefore, the results from this study suggest that straw returning combined with UC can be widely used in field-seeded cotton under similar conditions to this experiment, as it can obtain sustainable increase in yield and N-use efficiency.

Author Contributions

Conceptualization, C.Y. and R.L.; data collection, C.Y., J.L. and X.W.; methodology, G.Z. and H.S.; formal analysis, C.Y. and G.Z.; writing—original draft, C.Y.; writing—review and editing, C.Y., H.S., W.H. and R.L.; funding acquisition, R.L. and C.Y. All authors have read and agreed to the published version of the manuscript.

Funding

Natural Science Foundation of China (Grant No. 32071968), the National Key Research and Development Program of China (2017YFD0201900), and Jiangsu Collaborative Innovation Center for Modern Crop production.

Institutional Review Board Statement

Not applicable.

Informed Consent Statement

Not applicable.

Data Availability Statement

The data presented in this study are available within the article.

Conflicts of Interest

The authors declare no conflict of interest.

References

  1. Yu, C.R.; Wang, X.J.; Hu, B.; Yang, C.Q.; Sui, N.; Liu, R.X.; Meng, Y.L.; Zhou, Z.G. Effects of wheat straw incorporation in cotton-wheat double cropping system on nutrient status and growth in cotton. Field Crops Res. 2016, 197, 39–51. [Google Scholar] [CrossRef]
  2. Li, X.S.; Qu, C.Y.; Li, Y.N.; Liang, Z.Y.; Tian, X.H.; Shi, J.L.; Ning, P.; Wei, G.H. Long-term effects of straw mulching coupled with N application on soil organic carbon sequestration and soil aggregation in a winter wheat monoculture system. Agron. J. 2021, 113, 2118–2131. [Google Scholar] [CrossRef]
  3. Kar, S.; Pramanick, B.; Brahmachari, K.; Saha, G.; Mahapatra, B.S.; Saha, A.; Kumar, A. Exploring the best tillage option in rice based diversified cropping systems in alluvial soil of eastern India. Soil Till. Res. 2021, 205, 104761. [Google Scholar] [CrossRef]
  4. Singh, S.P.; Mahapatra, B.S.; Pramanick, B.; Yadav, V.R. Effect of irrigation levels, planting methods and mulching on nutrient uptake, yield, quality, water and fertilizer productivity of field mustard (Brassica rapa L.) under sandy loam soil. Agr. Water Manag. 2021, 244, 106539. [Google Scholar] [CrossRef]
  5. Kumar, M.; Mitra, S.; Mazumdar, S.P.; Majumdar, B.; Saha, A.R.; Singh, S.R.; Pramanick, B.; Gaber, A.; Alsanie, W.F.; Hossain, A. Improvement of soil health and system productivity through crop diversification and residue incorporation under jute-based different cropping systems. Agronomy 2021, 11, 1622. [Google Scholar] [CrossRef]
  6. Gao, L.; Li, W.; Ashraf, U.; Lu, W.J.; Li, Y.L.; Li, C.Y.; Li, G.Y.; Li, G.K.; Hu, J.G. Nitrogen fertilizer management and maize straw return modulate yield and nitrogen balance in sweet corn. Agronomy 2020, 10, 362. [Google Scholar] [CrossRef] [Green Version]
  7. Reiter, M.S.; Reeves, D.W.; Burmester, C.H.; Torbert, H.A. Cotton nitrogen management in a high-residue conservation system: Cover crop fertilization. Soil Sci. Soc. Am. J. 2008, 72, 1321–1329. [Google Scholar] [CrossRef] [Green Version]
  8. Verma, T.S.; Bhagat, R.M. Impact of rice straw management practices on yield, nitrogen uptake and soil properties in a wheat-rice rotation in northern India. Fert. Res. 1992, 33, 97–106. [Google Scholar] [CrossRef]
  9. Wang, X.B.; Wu, H.J.; Dai, K. Tillage and crop residue effects on rainfed wheat and maize production in northern China. Field Crops Res. 2011, 132, 106–116. [Google Scholar] [CrossRef]
  10. Soon, Y.K.; Lupwayi, N.Z. Straw management in a cold semi-arid region: Impact on soil quality and crop productivity. Field Crops Res. 2012, 139, 39–46. [Google Scholar] [CrossRef]
  11. Azam, F.; Lodhi, A.; Ashraf, M. Availability of soil and fertilizer nitrogen to wetland rice following wheat straw amendment. Biol. Fert. Soils 1991, 11, 97–100. [Google Scholar] [CrossRef]
  12. Laik, R.; Kumara, B.H.; Pramanick, B.; Singh, S.K.; Nidhi; Alhomrani, M.; Gaber, A.; Hossain, A. Labile soil organic matter pools are influenced by 45 years of applied farmyard manure and mineral nitrogen in the wheat-pearl millet cropping system in the sub-tropical condition. Agronomy 2021, 11, 2190. [Google Scholar] [CrossRef]
  13. Thippayarugs, S.; Toomsan, B.; Vityakon, P.; Limpinuntana, V.; Patanothai, A.; Cadisch, G. Interactions in decomposition and N mineralization between tropical legume residue components. Agroforest. Systy. 2008, 72, 137–148. [Google Scholar] [CrossRef]
  14. Moritsuka, N.; Yanai, J.; Mori, K.; Kosaki, T. Biotic and abiotic processes of nitrogen immobilization in the soil-residue interface. Soil Biol. Biochem. 2004, 36, 1141–1148. [Google Scholar] [CrossRef]
  15. Henriksen, T.M.; Breland, T.A. Nitrogen availability effects on carbon mineralization, fungal and bacterial growth, and enzyme activities during decomposition of wheat straw in soil. Soil Biol. Biochem. 1999, 31, 1121–1134. [Google Scholar] [CrossRef]
  16. Shaukat, A.A.; Tian, X.H.; Wang, D. Decomposition characteristic of maize straw with different carbon to nitrogen (C/N) ratios under various moisture regimes. Afr. J. Biotechnol. 2011, 10, 10149–10156. [Google Scholar] [CrossRef]
  17. Yang, C.Q.; Zhang, G.W.; Liu, R.X. Effect of nitrogen management on lint yield and nitrogen utilization of field-seeded cotton after barley harvest. Chin. J. Eco-Agric. 2016, 24, 1607–1613. (In Chinese) [Google Scholar]
  18. Wang, Z.; Wang, Z.; Ma, L.J.; Lv, X.B.; Meng, Y.L.; Zhou, Z.G. Straw returning coupled with nitrogen fertilization increases canopy photosynthetic capacity, yield and nitrogen use efficiency in cotton. Eur. J. Agron. 2021, 126, 126267. [Google Scholar] [CrossRef]
  19. Ercoli, L.; Masoni, A.; Pampana, S.; Mariotti, M.; Arduini, I. As durum wheat productivity is affected by nitrogen fertilisation management in Central Italy. Eur. J. Agron. 2013, 44, 38–45. [Google Scholar] [CrossRef]
  20. Trinh, T.H.; Kushaari, K.; Shuib, A.S.; Ismail, L.; Azeem, B. Modeling the release of nitrogen from controlled release fertilizer: Constant and decay release. Biosyst. Eng. 2015, 130, 34–42. [Google Scholar] [CrossRef]
  21. Yang, Y.; Ni, X.; Zhou, Z.; Yu, L.X.; Liu, B.M.; Yang, Y.; Wu, Y. Performance of matrix-based slow-release urea in reducing nitrogen loss and improving maize yields and profits. Field Crops Res. 2017, 212, 73–81. [Google Scholar] [CrossRef]
  22. Geng, J.B.; Ma, Q.; Zhang, M.; Li, C.L.; Liu, Z.G.; Lyu, X.X.; Zheng, W.K. Synchronized relationships between nitrogen release of controlled release nitrogen fertilizers and nitrogen requirements of cotton. Field Crops Res. 2015, 184, 9–16. [Google Scholar] [CrossRef]
  23. Wang, S.P.; Li, X.K.; Lu, J.W.; Hong, J.; Chen, G.; Xue, X.X.; Li, J.F.; Wei, Y.X.; Zou, J.L.; Liu, G.W. Effects of controlled-release urea application on the growth, yield and nitrogen recovery efficiency of cotton. Agri. Sci. 2013, 4, 33–38. [Google Scholar] [CrossRef] [Green Version]
  24. Naz, M.Y.; Sulaiman, S.A. Slow release coating remedy for nitrogen loss from conventional urea: A review. J. Control. Release 2016, 225, 109–120. [Google Scholar] [CrossRef]
  25. Grant, C.A.; Wu, R.; Selles, F.; Harker, K.N.; Clayton, G.W.; Bittman, S.; Zebarth, B.J.; Lupwayi, N.Z. Crop yield and nitrogen concentration with controlled release urea and split applications of nitrogen as compared to non-coated urea applied at seeding. Field Crops Res. 2012, 127, 170–180. [Google Scholar] [CrossRef]
  26. Tian, X.F.; Fan, Z.; Zhao, Y.X.; Sun, S.C.; Li, T.T.; Yu, N.; Zhai, S. Controlled-release urea improved cotton productivity and nitrogen use efficiency in China: A meta-analysis. Agron. J. 2021, 113, 2251–2259. [Google Scholar] [CrossRef]
  27. Sato, T.; Shibuya, K.; Saigusa, M.; Abe, T. Single basal application of total nitrogen fertilizer with controlled-release coated area on non-tilled rice culture. JPN J. Crop Sci. 1993, 62, 408–413. (In Japanese) [Google Scholar] [CrossRef] [Green Version]
  28. Zhao, B.; Dong, S.T.; Zhang, J.W.; Liu, P. Effects of controlled-release fertilizer on nitrogen use efficiency in summer maize. PLoS ONE 2013, 8, e70569. [Google Scholar]
  29. Limonortega, A.; Sayre, K.D.; Francis, C.A. Wheat and maize yields in response to straw management and nitrogen under a bed planting system. Agron. J. 2000, 92, 295–302. [Google Scholar] [CrossRef]
  30. Lu, R.K. Analytical Methods for Soil and Agro-Chemistry; China Agricultural Science and Technology Press: Beijing, China, 1999. (In Chinese) [Google Scholar]
  31. Bao, S.D. Soil Agro-Chemistrical Analysis; China Agriculture Press: Beijing, China, 2000. (In Chinese) [Google Scholar]
  32. Li, Z.G.; Luo, Y.M.; Teng, Y. The Methodology of Soil and Environmental Microbiology; Science Press: Beijing, China, 2008; pp. 395–402. (In Chinese) [Google Scholar]
  33. Lin, X.G. Theories and Methods for Soil Microorganism; Higher Education Press: Beijing, China, 2010; pp. 73–76. (In Chinese) [Google Scholar]
  34. Brennan, J.; Hackett, R.; McCabe, T.; Grant, J.; Fortune, R.A.; Forristal, P.D. The effect of tillage system and residue management on grain yield and nitrogen use efficiency in winter wheat in a cool Atlantic climate. Eur. J. Agron. 2014, 54, 61–69. [Google Scholar] [CrossRef]
  35. Limon-ortega, A.; Govaerts, B.; Sayre, K.D. Straw management, crop rotation, and nitrogen source effect on wheat grain yield and nitrogen use efficiency. Eur. J. Agron. 2008, 29, 21–28. [Google Scholar] [CrossRef]
  36. Rafique, E.; Mahmood-UI-Hassan, M.; Rashid, A.; Chaudhary, M.F. Nutrient balances as affected by integrated nutrient and crop residue management in cotton-wheat system in Aridisols. I. Nitrogen. J. Plant. Nutr. 2012, 35, 591–616. [Google Scholar] [CrossRef]
  37. Abbasi, M.K.; Tahir, M.M.; Rahim, N. Effect of N fertilizer source and timing on yield and N use efficiency of rainfed maize (Zea mays L.) in Kashmir-Pakistan. Geoderma 2013, 195–196, 87–93. [Google Scholar] [CrossRef]
  38. Ke, J.; He, R.C.; Hou, P.F.; Ding, C.; Ding, Y.F.; Wang, S.H.; Liu, Z.H.; Tang, S.; Ding, C.Q.; Chen, L.; et al. Combined controlled-released nitrogen fertilizers and deep placement effects of N leaching, rice yield and N recovery in machine-transplanted rice. Agr. Ecosyst. Environ. 2018, 265, 402–412. [Google Scholar] [CrossRef]
  39. Farmaha, B.S.; Sims, A.L. The influence of PCU and urea fertilizer mixtures on spring wheat protein concentrations and economic returns. Agron. J. 2013, 105, 1328–1334. [Google Scholar] [CrossRef]
  40. Kaur, G.; Zurweller, B.A.; Nelson, K.A.; Motavalli, P.P.; Dudenhoeffer, C.J. Soil waterlogging and nitrogen fertilizer management effects on corn and soybean yields. Agron. J. 2017, 109, 97–106. [Google Scholar] [CrossRef]
  41. Bange, M.P.; Milroy, S.P. Growth and dry matter partitioning of diverse cotton genotypes. Field Crops Res. 2004, 87, 73–87. [Google Scholar] [CrossRef]
  42. Dharminder; Singh, R.K.; Kumar, V.; Pramanick, B.; Alsanie, W.F.; Gaber, A.; Hossain, A. The use of municipal solid waste compost in combination with proper irrigation scheduling influences the productivity, microbial activity and water use effificiency of direct seeded rice. Agriculture 2021, 11, 941. [Google Scholar] [CrossRef]
  43. Kumar, A.; Pramanick, B.; Mahapatra, B.S.; Singh, S.P.; Shukla, D.K. Growth, yield and quality improvement of flax (Linum usitattisimum L.) grown under tarai region of Uttarakhand, India through integrated nutrient management practices. Ind. Crop Prod. 2019, 140, 111710. [Google Scholar] [CrossRef]
  44. Watts, D.B.; Runion, G.B.; Smith Nannenga, K.W.; Torbert, H.A. Enhanced-efficiency fertilizer effects on cotton yield and quality in the Coastal Plains. Agron. J. 2014, 106, 745–752. [Google Scholar] [CrossRef] [Green Version]
  45. Zheng, W.K.; Zhang, M.; Liu, Z.G.; Zhou, H.Y.; Lu, H.; Zhang, W.T.; Yang, Y.C.; Li, C.L.; Chen, B.C. Combining controlled-release urea and normal urea to improve the nitrogen use efficiency and yield under wheat-maize double cropping system. Field Crops Res. 2016, 197, 52–62. [Google Scholar] [CrossRef]
  46. Zhang, G.X.; Zhao, D.H.; Liu, S.J.; Liao, Y.C.; Han, J. Can controlled-release urea replace the split application of normal urea in China? A meta-analysis based on crop grain yield and nitrogen use efficiency. Field Crops Res. 2022, 275, 108343. [Google Scholar] [CrossRef]
  47. Aoyama, M.; Nozawa, T. Microbial biomass nitrogen and mineralization-immobilization processes of nitrogen in soils incubated with various organic materials. Soil Sci. Plant Nutr. 1993, 39, 23–32. [Google Scholar] [CrossRef]
  48. Yang, X.; Liu, H.B.; Mao, X.T.; Deng, J.L.; Haefele, S.M. Non-flooding rice yield response to straw biochar and controlled-release fertilizer. Agron. J. 2020, 112, 4799–4809. [Google Scholar] [CrossRef]
  49. Alijani, K.; Bahrani, M.J.; Kazemeini, S.A. Short-term responses of soil and wheat yield to tillage, corn residue management and nitrogen fertilization. Soil Tillage Res. 2012, 124, 78–82. [Google Scholar] [CrossRef]
  50. Geng, J.B.; Ma, Q.; Chen, J.Q.; Zhang, M.; Li, C.L.; Yang, Y.C.; Yang, X.Y.; Zhang, W.T.; Liu, Z.G. Effects of polymer coated urea and sulfur fertilization on yield, nitrogen use efficiency and leaf senescence of cotton. Field Crops Res. 2016, 187, 87–95. [Google Scholar] [CrossRef]
  51. Li, G.H.; Zhao, B.; Dong, S.T.; Zhang, J.W.; Liu, P.; Lu, W.P. Controlled-release urea combining with optimal irrigation improved grain yield, nitrogen uptake, and growth of maize. Agr. Water Manag. 2020, 227, 105834. [Google Scholar] [CrossRef]
  52. Jackson, L.E.; Calderon, F.J.; Steenwerth, K.L.; Scow, K.M.; Rolston, D.E. Responses of soil microbial processes and community structure to tillage events and implications for soil quality. Geoderma 2003, 114, 305–317. [Google Scholar] [CrossRef]
  53. Dolan, M.S.; Clapp, C.E.; Allmaras, R.R.; Baker, J.M.; Molina, J.A.E. Soil organic carbon and nitrogen in a Minnesota soil as related to tillage, residue and nitrogen management. Soil Till. Res. 2006, 89, 221–231. [Google Scholar] [CrossRef]
  54. Kaewpradit, W.; Toomsan, B.; Cadisch, G.; Vityakon, P.; Limpinuntana, V.; Saenjan, P.; Jogloy, S.; Patanothai, A. Mixing groundnut residues and rice straw to improve rice yield and N use efficiency. Field Crops Res. 2009, 110, 130–138. [Google Scholar] [CrossRef]
  55. Kuzyakov, Y.; Xu, X.L. Competition between roots and microorganisms for nitrogen: Mechanisms and ecological relevance. New Phytol. 2013, 198, 656–669. [Google Scholar] [CrossRef] [PubMed]
  56. Sui, P.X.; Tian, P.; Lian, H.L.; Wang, Z.Y.; Ma, Z.Q.; Qi, H.; Mei, N.; Sun, Y.; Wang, Y.Y.; Su, Y.H.; et al. Straw incorporation management affects maize grain yield through regulating nitrogen uptake, water use efficiency, and root distribution. Agronomy 2020, 10, 324. [Google Scholar] [CrossRef] [Green Version]
Figure 1. Effects of straw management combined with N-fertilization strategy on biomass accumulation at main growth stages in field-seeded cotton. The data are the means for three replications ± SD. Different letters on the bar mean significant difference at the 0.05 level. S0, straw removal; S1, straw returning; CRN, controlled-release N fertilizer; UC, the mixture of urea and CRN.
Figure 1. Effects of straw management combined with N-fertilization strategy on biomass accumulation at main growth stages in field-seeded cotton. The data are the means for three replications ± SD. Different letters on the bar mean significant difference at the 0.05 level. S0, straw removal; S1, straw returning; CRN, controlled-release N fertilizer; UC, the mixture of urea and CRN.
Agronomy 12 01208 g001
Figure 2. Effects of straw management combined with N-fertilization strategy on N uptake at main growth stages in field-seeded cotton. The data are the means for three replications ± SD. Different letters on the bar mean significant difference at the 0.05 level. S0, straw removal; S1, straw returning; CRN, controlled-release N fertilizer; UC, the mixture of urea and CRN.
Figure 2. Effects of straw management combined with N-fertilization strategy on N uptake at main growth stages in field-seeded cotton. The data are the means for three replications ± SD. Different letters on the bar mean significant difference at the 0.05 level. S0, straw removal; S1, straw returning; CRN, controlled-release N fertilizer; UC, the mixture of urea and CRN.
Agronomy 12 01208 g002
Table 1. Effects of straw management combined with N-fertilization strategy on lint yield and yield components in field-seeded cotton.
Table 1. Effects of straw management combined with N-fertilization strategy on lint yield and yield components in field-seeded cotton.
Treatment Combination20182019
Straw ManagementN-Fertilization StrategyBoll No.
(×104 ha−1)
Boll Weight (g)Lint Percentage (%)Lint Yield
(kg ha−1)
Boll No.
(×104 ha−1)
Boll Weight (g)Lint Percentage (%)Lint Yield
(kg ha−1)
S0CK71.7 e5.0 bc35.5 a1281.7 d66.6 e5.0 bcd35.8 a1190.0 e
urea84.3 d5.2 a35.5 a1562.5 c80.3 d5.2 a35.5 a1484.1 d
CRN87.2 cd5.2 a34.9 ab1594.7 c86.4 c5.2 a34.7 bc1570.1 c
UC95.4 b5.2 ab35.2 ab1732.9 b92.2 b5.1 ab35.0 abc1653.8 b
S1CK70.7 e4.9 d35.8 a1229.6 d68.9 e4.9 d35.8 a1196.2 e
urea91.1 bc4.9 cd35.3 ab1583.7 c93.0 b4.9 cd35.4 ab1613.4 bc
CRN89.0 cd5.2 a34.5 b1600.8 c91.6 b5.2 a34.6 c1645.3 b
UC101.9 a5.1 b35.0 ab1806.1 a98.1 a5.0 bc35.2 abc1732.4 a
Source of variance
Straw management (S)***nsns****ns*
N-fertilization strategy (N)****************
S × N****nsns***nsns
Different letters in the same column mean significant difference among the treatments at the 0.05 level. Each value represents the mean of three replications. ns, not significant; * and ** indicate significant difference at the 0.05 and 0.01 levels of probability, respectively; S0, straw removal; S1, straw returning; CRN, controlled-release N fertilizer; UC, the mixture of urea and CRN.
Table 2. Sources of variance in variance analysis for the biomass accumulation.
Table 2. Sources of variance in variance analysis for the biomass accumulation.
Source of Variance20182019
ShootReproductive OrgansShootReproductive Organs
Peak SquaringPeak BloomingBoll OpeningPeak SquaringPeak BloomingBoll OpeningPeak SquaringPeak BloomingBoll OpeningPeak SquaringPeak BloomingBoll Opening
Straw management (S)**nsns*nsns**ns**ns*
N-fertilization strategy (N)************************
S × N**ns***nsns*ns**ns**
ns, not significant; * and ** indicate significant difference at the 0.05 and 0.01 levels of probability, respectively.
Table 3. Sources of variance in variance analysis of N uptake.
Table 3. Sources of variance in variance analysis of N uptake.
Source of Variance20182019
ShootReproductive OrgansShootReproductive Organs
Peak SquaringPeak BloomingBoll OpeningPeak SquaringPeak BloomingBoll OpeningPeak SquaringPeak BloomingBoll OpeningPeak SquaringPeak BloomingBoll Opening
Straw management (S)*nsns**ns*nsns***ns
N-fertilization strategy (N)************************
S × N****ns****ns***ns****ns
ns, not significant; * and ** indicate significant difference at the 0.05 and 0.01 levels of probability, respectively.
Table 4. Effects of straw management and N-fertilization strategy on N-use efficiency in field-seeded cotton.
Table 4. Effects of straw management and N-fertilization strategy on N-use efficiency in field-seeded cotton.
Treatment20182019
NARE (%)NAE (kg kg−1)NARE (%)NAE (kg kg−1)
S046.0 b2.0 b41.4 b2.1 b
S154.1 a2.4 a46.2 a2.6 a
urea33.0 c1.8 b31.0 c2.0 c
CRN64.5 a2.0 b54.0 a2.3 b
UC52.7 b2.9 a46.4 b2.8 a
Different letters in the same column mean significant difference among the treatments at the 0.05 level. Each value represents the mean of three replications. S0, straw removal; S1, straw returning; CRN, controlled-release N fertilizer; UC, the mixture of urea and CRN; NARE, N apparent recovery-use efficiency; NAE, N agronomic-use efficiency.
Table 5. Effects of straw management combined with N-fertilization strategy on soil alkali-hydro N and microbial N contents at harvest (mg kg−1).
Table 5. Effects of straw management combined with N-fertilization strategy on soil alkali-hydro N and microbial N contents at harvest (mg kg−1).
Treatment20182019
Alkali-Hydro NMicrobial NAlkali-Hydro NMicrobial N
S086.9 b26.5 a86.6 b27.3 a
S190.8 a25.9 a93.3 a25.8 a
CK81.8 d22.7 c83.8 c22.1 c
urea97.0 a22.3 c99.3 a21.9 c
CRN90.1 b31.9 a90.0 b32.8 a
UC86.5 c28.0 b86.7 bc29.5 b
Different letters in the same column mean significant difference among the treatments at the 0.05 level. Each value represents the mean of three replications. S0, straw removal; S1, straw returning; CRN, controlled-release N fertilizer; UC, the mixture of urea and CRN.
Table 6. Effects of straw management combined with N-fertilization strategy on soil enzyme activity at harvest.
Table 6. Effects of straw management combined with N-fertilization strategy on soil enzyme activity at harvest.
Treatment20182019
Urease Activity
(mg NH3-N g−1 d−1)
Sucrase Activity
(mg Glu g−1 d−1)
Urease Activity
(mg NH3-N g−1 d−1)
Sucrase Activity
(mg Glu g−1 d−1)
S01.27 b23.6 b1.38 b24.1 b
S11.44 a26.4 a1.51 a27.4 a
CK1.19 d21.3 c1.27 d22.8 b
urea1.55 a23.1 b1.65 a22.9 b
CRN1.39 b28.0 a1.46 b28.9 a
UC1.30 c27.6 a1.39 c28.4 a
Different letters in the same column mean significant difference among the treatments at the 0.05 level. Each value represents the mean of three replications. S0, straw removal; S1, straw returning; CRN, controlled-release N fertilizer; UC, the mixture of urea and CRN.
Table 7. The correlation coefficient between soil alkali-hydro N, microbial N content, and enzyme activity.
Table 7. The correlation coefficient between soil alkali-hydro N, microbial N content, and enzyme activity.
FactorAlkali-Hydro N ContentMicrobial N Content
Urease activity0.765 **−0.139
Sucrase activity0.1590.754 **
N = 16, r0.05 = 0.497, r0.01 = 0.623. ** indicate significant difference at the 0.01 levels of probability.
Publisher’s Note: MDPI stays neutral with regard to jurisdictional claims in published maps and institutional affiliations.

Share and Cite

MDPI and ACS Style

Yang, C.; Li, J.; Zhang, G.; Shu, H.; Wang, X.; Hu, W.; Liu, R. Barley Straw Combined with Urea and Controlled-Release Nitrogen Fertilizer Improves Lint Yield and Nitrogen Utilization of Field-Seeded Cotton. Agronomy 2022, 12, 1208. https://doi.org/10.3390/agronomy12051208

AMA Style

Yang C, Li J, Zhang G, Shu H, Wang X, Hu W, Liu R. Barley Straw Combined with Urea and Controlled-Release Nitrogen Fertilizer Improves Lint Yield and Nitrogen Utilization of Field-Seeded Cotton. Agronomy. 2022; 12(5):1208. https://doi.org/10.3390/agronomy12051208

Chicago/Turabian Style

Yang, Changqin, Jianan Li, Guowei Zhang, Hongmei Shu, Xiaojing Wang, Wei Hu, and Ruixian Liu. 2022. "Barley Straw Combined with Urea and Controlled-Release Nitrogen Fertilizer Improves Lint Yield and Nitrogen Utilization of Field-Seeded Cotton" Agronomy 12, no. 5: 1208. https://doi.org/10.3390/agronomy12051208

APA Style

Yang, C., Li, J., Zhang, G., Shu, H., Wang, X., Hu, W., & Liu, R. (2022). Barley Straw Combined with Urea and Controlled-Release Nitrogen Fertilizer Improves Lint Yield and Nitrogen Utilization of Field-Seeded Cotton. Agronomy, 12(5), 1208. https://doi.org/10.3390/agronomy12051208

Note that from the first issue of 2016, this journal uses article numbers instead of page numbers. See further details here.

Article Metrics

Back to TopTop