Lucerne Proportion Regulates Competitive Uptake for Nitrogen and Phosphorus in Lucerne and Grass Mixtures on the Loess Plateau of China
Abstract
:1. Introduction
2. Materials and Methods
2.1. Description of Experimental Site
2.2. Experimental Design
2.3. Sampling and Measurements
2.4. Calculations
2.5. Statistical Analyses
3. Results
3.1. Aboveground Total N Uptake of Lucerne and Grass, and Proportion of Lucerne N Uptake
3.2. Aboveground Total P Uptake of Lucerne and Grass, and Proportion of Lucerne P Uptake
3.3. Lucerne N Competitive Ratio (CRN) and P Competitive Ratio (CRP) in Mixtures
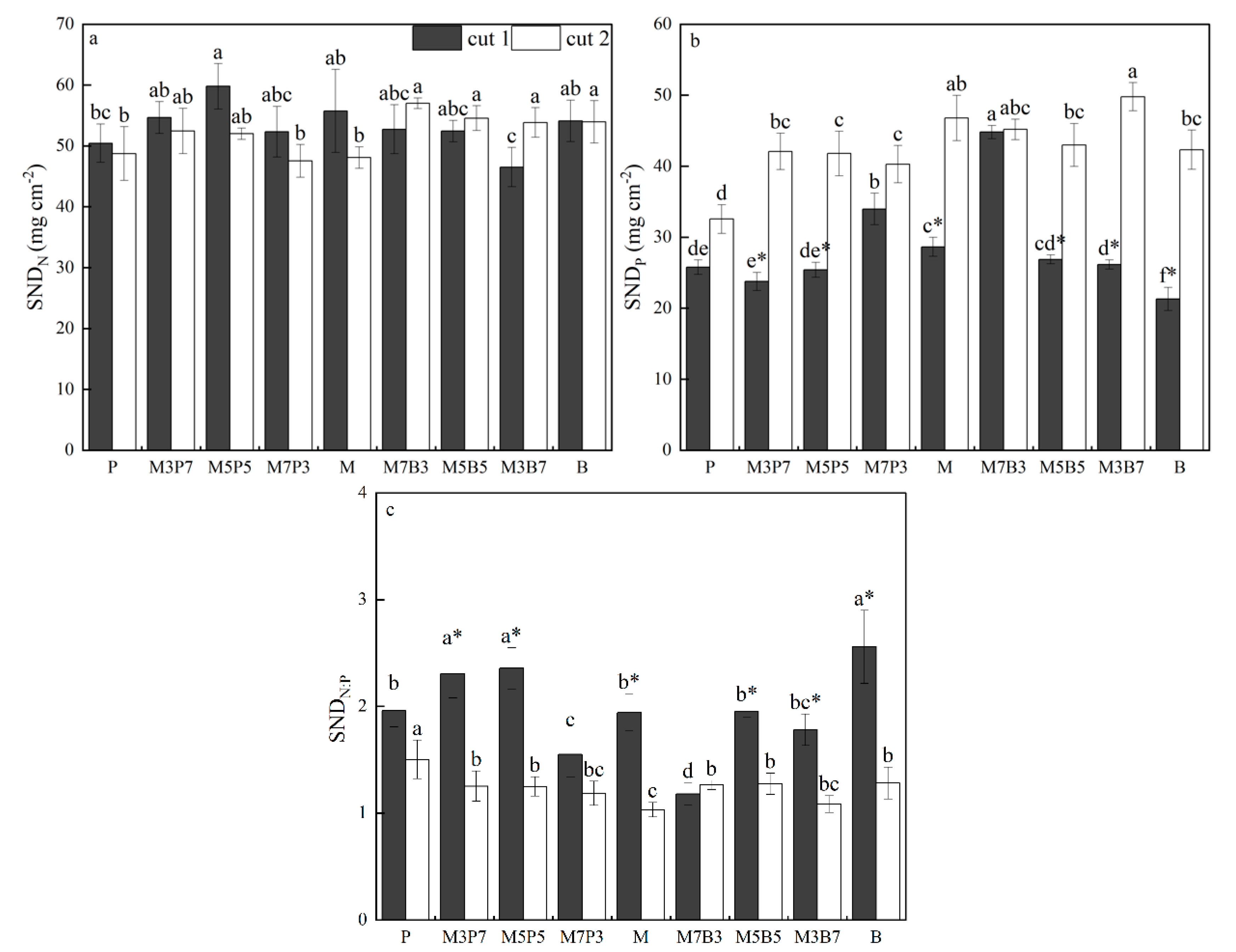
3.4. Soil N and P Density and Their Ratio
3.5. Correlations of Competitiveness for N and P of Lucerne with N and P Uptake and Soil N and P Density
4. Discussion
4.1. Effect of Species Combination and Lucerne Proportion on Competitive Ratios for N and P of Lucerne
4.2. Effects of Species Combination and Lucerne Proportion on N and P Uptake
4.3. Effects of Species Combination and Lucerne Proportion on Soil N and P Density and Their Ratio
5. Conclusions
Author Contributions
Funding
Data Availability Statement
Acknowledgments
Conflicts of Interest
References
- Berdahl, J.D.; Karn, J.F.; Hendrickson, J.R. Dry matter yields of cool-season grass monocultures and grass-alfalfa binary mixtures. Agron. J. 2001, 93, 463–467. [Google Scholar] [CrossRef] [Green Version]
- Craine, J.M. Reconciling plant strategy theories of Grime and Tilman. J. Ecol. 2005, 93, 1041–1052. [Google Scholar] [CrossRef]
- Hector, A. The effect of diversity on productivity: Detecting the role of species complementarity. Oikos 1998, 82, 597–599. [Google Scholar] [CrossRef]
- Carita, T.; Simões, N.; Carneiro, J.P.; Moreira, J.; Bagulho, A.S. Forage yield and quality of simple and complex grass-legumes mixtures under Mediterranean conditions. Emir. J. Food Agric. 2016, 28, 501–505. [Google Scholar] [CrossRef]
- Cardinale, B.J.; Wright, J.P.; Marc, W.C.; Carroll, I.T.; Hector, A.; Srivastava, D.S.; Loreau, M.; Weis, J.J. Impacts of plant diversity on biomass production increase through time because of species complementarity. Proc. Natl. Acad. Sci. USA 2007, 104, 18123–18128. [Google Scholar] [CrossRef] [PubMed] [Green Version]
- Trenbath, B.R. Biomass productivity of mixtures. Adv. Agron. 1974, 26, 177–210. [Google Scholar] [CrossRef]
- Hooper, D.U. The role of complementarity and competition in ecosystem responses to variation in plant diversity. Ecology 1998, 79, 704–719. [Google Scholar] [CrossRef]
- Williams, W. Experiment on the yield of lucerne strains as pure plots and on the behaviour of lucerne when sown in mixture with various species of grasses. Grass Forage Sci. 2010, 5, 113–129. [Google Scholar] [CrossRef]
- Niklas, K.J.; Hammond, S.T. Biophysical effects on plant competition and coexistence. Funct. Ecol. 2012, 27, 854–864. [Google Scholar] [CrossRef]
- Wilkinson, S.R.; Gross, C.F. Competition for light, soil moisture and nutrients during ladino clover establishment in orchardgrass sod1. Agron. J. 1964, 56, 389–392. [Google Scholar] [CrossRef]
- Xiao, Y.B.; Li, L.; Zhang, F.S. Effect of root contact on interspecific competition and N transfer between wheat and fababean using direct and indirect 15N techniques. Plant Soil 2004, 262, 45–54. [Google Scholar] [CrossRef]
- Güsewell, S.; Bollens, U. Composition of plant species mixtures grown at various N:P ratios and levels of nutrient supply. Basic Appl. Ecol. 2003, 4, 453–466. [Google Scholar] [CrossRef]
- Yuan, Y.F. Effects of Different N:P Ratio on Interaction between the Exotic Plant Rhus typhina and the Native Plant Quercus acutissima and Vitex negundo Var. Heterophylla. Ph.D. Thesis, University of Shandong, Jinan, China, 2014. [Google Scholar]
- Haynes, R.J. Competitive aspects of the grass-legume association. Adv. Agron. 1980, 33, 227–261. [Google Scholar] [CrossRef]
- Tang, C.X.; Barton, L.; Mclay, C.D.A. Comparison of proton excretion of twelve pasture legumes grown in nutrient solution. Aust. J. Exp. Agric. 1997, 37, 563–570. [Google Scholar] [CrossRef]
- Li, L.; Zhang, F.S.; Li, X.L.; Christie, P.; Sun, J.H.; Yang, S.C.; Tang, C.X. Interspecific facilitation of nutrient uptake by intercropped maize and faba bean. Nutr. Cycl. Agroecosystems 2003, 65, 61–71. [Google Scholar] [CrossRef]
- Yang, Y.; Liu, H.T. Coordinated shoot and root responses to light signaling in Arabidopsis. Plant Commun. 2020, 1, 100026. [Google Scholar] [CrossRef]
- Barber, S.A. Effect of tillage practice on corn (Zea mays L.) root distribution and morphology. Agron. J. 1971, 63, 723–725. [Google Scholar] [CrossRef]
- Wang, P.; Zhou, D.W.; Jiang, S.C. Research on biological nitrogen fixation of grass-legume mixtures in a semi-arid area of China. Acta Prataculturae Sin. 2010, 19, 276–280. [Google Scholar] [CrossRef]
- Byers, R.A.; Templeton, W.C., Jr.; Mangan, R.L.; Bierlein, D.L.; Campbell, W.F.; Donley, H.J. Establishment of legumes in grass swards: Effects of pesticides on slugs, insects, legume seedling numbers and forage yield and quality. Grass Forage Sci. 2010, 40, 41–48. [Google Scholar] [CrossRef]
- Trannin, W.S.; Urquiaga, S.; Guerra, G.; Ibijbijen, J.; Cadisch, G. Interspecies competition and N transfer in a tropical grass-legume mixture. Biol. Fertil. Soils 2000, 32, 441–448. [Google Scholar] [CrossRef]
- Morris, R.A.; Garrity, D.P. Resource capture and utilization in intercropping: Water. Field Crops Res. 1993, 34, 303–317. [Google Scholar] [CrossRef]
- Puget, P.; Lai, R. Soil organic carbon and nitrogen in a Mollisol in central Ohio as affected by tillage and land use. Soil Tillage Res. 2005, 80, 201–213. [Google Scholar] [CrossRef]
- Keddy, P.; Gaudet, C.; Fraser, L.H. Effects of low and high nutrients on the competitive hierarchy of 26 shoreline plants. J. Ecol. 2000, 88, 413–423. [Google Scholar] [CrossRef] [Green Version]
- Fan, J.W.; Zhong, H.P.; Du, Z.C.; Han, B.; Liang, B. Competition of pasture plants. Acta Prataculturae Sin. 2004, 13, 1–8. [Google Scholar]
- Zheng, W.; Zhu, J.Z.; Kuerban; Zhang, Q.Q.; Jianaerguli; Li, H. Dynamics of interspecific competition of legume-grass mixture under different mixed sowing patterns. Acta Agrestia Sin. 2010, 18, 568–575. [Google Scholar] [CrossRef]
- Spandl, E.; Hesterman, O.B. Forage quality and alfalfa characteristics in binary mixtures of alfalfa and bromegrass or timothy. Crop Sci. 1997, 37, 1581–1585. [Google Scholar] [CrossRef]
- Zhou, T.; Wang, L.; Sun, X.; Wang, X.C.; Chen, Y.L.; Rengel, Z.; Liu, W.G.; Yang, W.Y. Light intensity influence maize adaptation to low P stress by altering root morphology. Plant Soil 2020, 447, 183–197. [Google Scholar] [CrossRef]
- Sheaffer, C.C.; Miller, D.W.; Marten, G.C. Grass dominance and mixture yield and quality in perennial grass-alfalfa mixtures. J. Prod. Agric. 1991, 3, 480–485. [Google Scholar] [CrossRef]
- Keddy, P.A.; Twolan-Strutt, L.; Shipley, B. Experimental evidence that interspecific competitive asymmetry increases with soil productivity. Oikos 1997, 80, 253–256. [Google Scholar] [CrossRef]
- Fransen, B.; Blijjenberg, J.; Kroon, H.D. Root morphological and physiological plasticity of perennial grass species and the exploitation of spatial and temporal heterogeneous nutrient patches. Plant Soil 1999, 211, 179–189. [Google Scholar] [CrossRef]
- Davidson, I.A.; Robson, M.J. Effect of temperature and nitrogen supply on the growth of perennial ryegrass and white clover. 2. a comparison of monocultures and mixed swards. Ann. Bot. 1986, 57, 709–719. [Google Scholar] [CrossRef]
- Bowman, A.M.; Peoples, M.B.; Smith, W.; Brockwell, J. Factors affecting nitrogen fixation by dryland lucerne in central-western new south wales. Anim. Prod. Sci. 2002, 42, 439–451. [Google Scholar] [CrossRef]
- Lu, J.; Liu, M.; Yang, M.; Xie, J.; Yang, H.; Li, L. Leaf resorption and stoichiometry of N and P of 1, 2 and 3 year-old lucerne under one-time P fertilization. Soil Tillage Res. 2020, 197, 104481. [Google Scholar] [CrossRef]
- Yang, H.; Unkovich, M.; McNeill, A.; Wang, X. Symbiotic N2 fixation and nitrate utilisation in irrigated lucerne (Medicago sativa) systems. Biol. Fertil. Soils 2011, 47, 377–385. [Google Scholar] [CrossRef]
- Yang, M.; Yang, H. Utilization of soil residual phosphorus and internal reuse of phosphorus by crops. PeerJ 2021, 9, e11704. [Google Scholar] [CrossRef]
- Bergersen, F.J. The central reactions of nitrogen fixation. Plant Soil 1971, 35, 511–524. [Google Scholar] [CrossRef]






| Soil Layer | SWC | TP | AP | TK | AK | TN | AN | NN | Bulk Density | 
|---|---|---|---|---|---|---|---|---|---|
| (cm) | (%) | (mg g−1) | (mg Kg−1) | (mg g−1) | (mg Kg−1) | (mg g−1) | (mg Kg−1) | (mg Kg−1) | (g cm−3) | 
| 0–10 | 12.3 | 0.6 | 19.2 | 4.6 | 272.5 | 1.0 | 2.6 | 23.3 | 1.11 | 
| 10–20 | 14.2 | 0.5 | 20.2 | 5.7 | 101.6 | 0.9 | 3.0 | 21.1 | 1.20 | 
| 20–30 | 14.1 | 0.6 | 12.7 | 5.5 | 84.5 | 0.7 | 2.6 | 17.3 | 1.26 | 
| 30–60 | 14.3 | 0.3 | 5.5 | 7.3 | 124.3 | 0.7 | 2.3 | 18.7 | 1.26 | 
| 60–90 | 13.3 | 0.3 | 1.9 | 7.6 | 94.5 | 0.7 | 3.0 | 21.9 | 1.26 | 
| Species Combination | Sowing Ratio | Sowing Rate (g/plot) | Code | 
|---|---|---|---|
| MP | Lucerne:timothy = 7:3 | 9.45 + 4.05 | M7P3 | 
| Lucerne:timothy = 5:5 | 6.75 + 6.75 | M5P5 | |
| Lucerne:timothy = 3:7 | 4.05 + 9.45 | M3P7 | |
| MB | Lucerne:bromegrass = 7:3 | 9.45 + 8.10 | M7B3 | 
| Lucerne:bromegrass = 5:5 | 6.75 + 13.50 | M5B5 | |
| Lucerne:bromegrass = 3:7 | 4.05 + 18.90 | M3B7 | |
| Monoculture | Lucerne 100% | 13.50 | M | 
| Timothy 100% | 13.50 | P | |
| Smooth bromegrass 100% | 27.00 | B | 
| Source of Variation | Total N Uptake | NM% | Total P Uptake | PM% | ||||
|---|---|---|---|---|---|---|---|---|
| F | P | F | P | F | P | F | P | |
| SC | 26.64 | <0.01 | 257.09 | <0.01 | 14.20 | <0.01 | 75.93 | <0.01 | 
| SR | 31.74 | <0.01 | 3.49 | 0.05 | 14.61 | <0.01 | 4.55 | 0.02 | 
| SC × SR | 8.90 | <0.01 | 0.20 | 0.82 | 3.39 | 0.05 | 2.13 | 0.14 | 
| C | 187.59 | <0.01 | 9.08 | 0.01 | 34.52 | <0.01 | 0.01 | 0.94 | 
| C × SC | 31.64 | <0.01 | 19.86 | <0.01 | 8.42 | 0.01 | 17.06 | <0.01 | 
| C × SR | 3.92 | 0.03 | 2.55 | 0.10 | 4.37 | 0.02 | 1.08 | 0.36 | 
| C × SC × SR | 5.15 | 0.01 | 3.00 | 0.07 | 0.18 | 0.84 | 4.43 | 0.02 | 
| Grasslands | Total N Uptake (g m−2) | Total P Uptake (g m−2) | ||
|---|---|---|---|---|
| Cut 1 | Cut 2 | Cut 1 | Cut 2 | |
| P | 7.7 ± 1.08b * | 3.3 ± 1.01d | 0.74 ± 0.08 | 0.39 ± 0.07f | 
| M3P7 | 9.8 ± 0.55b * | 13.4 ± 0.7b | 0.78 ± 0.12 | 0.82 ± 0.07de | 
| M5P5 | 11.1 ± 0.18b * | 17.9 ± 1.96a | 0.74 ± 0.16 * | 1.25 ± 0.14b | 
| M7P3 | 8.1 ± 1.03b | 8.4 ± 1.20c | 0.57 ± 0.08 | 0.60 ± 0.02ef | 
| M | 15.5 ± 3.37a | 12.0 ± 0.74b | 0.83 ± 0.22 | 0.91 ± 0.09cd | 
| M7B3 | 8.9 ± 0.51b * | 17.4 ± 1.95a | 0.78 ± 0.33 | 1.17 ± 0.05b | 
| M5B5 | 11.3 ± 2.53b | 19.3 ± 1.61a | 0.93 ± 0.48 | 1.72 ± 0.09a | 
| M3B7 | 8.2 ± 0.82b ** | 17.2 ± 0.31a | 0.55 ± 0.09 * | 1.07 ± 0.14bcd | 
| B | 7.5 ± 0.91b | 10.3 ± 1.51bc | 0.48 ± 0.05 | 1.11 ± 0.16bc | 
| Source of Variation | CRN | CRP | ||
|---|---|---|---|---|
| F | P | F | P | |
| SC | 55.55 | <0.01 | 34.96 | <0.01 | 
| SR | 70.50 | <0.01 | 55.53 | <0.01 | 
| SC × SR | 6.22 | 0.007 | 8.31 | 0.002 | 
| C | 16.77 | <0.01 | 2.73 | 0.112 | 
| C × SC | 8.05 | 0.009 | 4.25 | 0.050 | 
| C × SR | 9.43 | 0.001 | 3.28 | 0.055 | 
| C × SC × SR | 3.56 | 0.044 | 7.31 | 0.003 | 
| Mixture | CRN | CRP | ||
|---|---|---|---|---|
| Cut 1 | Cut 2 | Cut 1 | Cut 2 | |
| M7P3 | 0.60 ± 0.08bc *S | 0.37 ± 0.10c * | 0.43 ± 0.05bc *S | 0.31 ± 0.07cd * | 
| M5P5 | 1.46 ± 0.63b | 1.32 ± 0.36c | 0.87 ± 0.16b | 1.09 ± 0.45ab | 
| M3P7 | 3.02 ± 0.30a *S | 1.46 ± 0.07c * | 2.43 ± 0.46a *S | 1.36 ± 0.20a | 
| M7B3 | 0.18 ± 0.06c * | 0.27 ± 0.06b * | 0.09 ± 0.03c * | 0.22 ± 0.04d * | 
| M5B5 | 0.65 ± 0.14bc * | 0.56 ± 0.05ab * | 0.75 ± 0.29bc | 0.58 ± 0.19bcd | 
| M3B7 | 1.36 ± 0.53b | 1.02 ± 0.05a | 0.80 ± 0.34bc | 0.96 ± 0.32abc | 
| Source of Variation | SNDN | SNDP | SNDN:P | |||
|---|---|---|---|---|---|---|
| F | P | F | P | F | P | |
| SC | 2.65 | 0.08 | 26.86 | <0.01 | 11.20 | <0.01 | 
| SR | 2.40 | 0.11 | 37.96 | <0.01 | 21.72 | <0.01 | 
| SC × SR | 5.47 | 0.01 | 7.74 | <0.01 | 1.30 | 0.29 | 
| C | 3.40 | 0.07 | 629.12 | <0.01 | 274.11 | <0.01 | 
| C × SC | 9.09 | <0.01 | 18.30 | <0.01 | 17.31 | <0.01 | 
| C × SR | 1.93 | 0.16 | 59.97 | <0.01 | 21.56 | <0.01 | 
| C × SC × SR | 0.01 | 0.99 | 5.71 | 0.01 | 0.07 | 0.93 | 
| Publisher’s Note: MDPI stays neutral with regard to jurisdictional claims in published maps and institutional affiliations. | 
© 2022 by the authors. Licensee MDPI, Basel, Switzerland. This article is an open access article distributed under the terms and conditions of the Creative Commons Attribution (CC BY) license (https://creativecommons.org/licenses/by/4.0/).
Share and Cite
Lu, Y.; Mu, L.; Yang, M.; Yang, H. Lucerne Proportion Regulates Competitive Uptake for Nitrogen and Phosphorus in Lucerne and Grass Mixtures on the Loess Plateau of China. Agronomy 2022, 12, 1258. https://doi.org/10.3390/agronomy12061258
Lu Y, Mu L, Yang M, Yang H. Lucerne Proportion Regulates Competitive Uptake for Nitrogen and Phosphorus in Lucerne and Grass Mixtures on the Loess Plateau of China. Agronomy. 2022; 12(6):1258. https://doi.org/10.3390/agronomy12061258
Chicago/Turabian StyleLu, Yixiao, Le Mu, Mei Yang, and Huimin Yang. 2022. "Lucerne Proportion Regulates Competitive Uptake for Nitrogen and Phosphorus in Lucerne and Grass Mixtures on the Loess Plateau of China" Agronomy 12, no. 6: 1258. https://doi.org/10.3390/agronomy12061258
APA StyleLu, Y., Mu, L., Yang, M., & Yang, H. (2022). Lucerne Proportion Regulates Competitive Uptake for Nitrogen and Phosphorus in Lucerne and Grass Mixtures on the Loess Plateau of China. Agronomy, 12(6), 1258. https://doi.org/10.3390/agronomy12061258
 
         
                                                

 
       