Nitrogen Application and Dense Planting to Obtain High Yields from Maize
Abstract
:1. Introduction
2. Materials and Methods
2.1. Test Design
2.2. Determination Items and Methods
2.2.1. Dry Matter Determination
2.2.2. Grain Yield
2.3. Data Processing and Analysis
3. Results
3.1. Effect of Nitrogen Application Rate on Maize Yield and Yield Composition
3.2. Effect of Dry Matter Accumulation on Yield Components
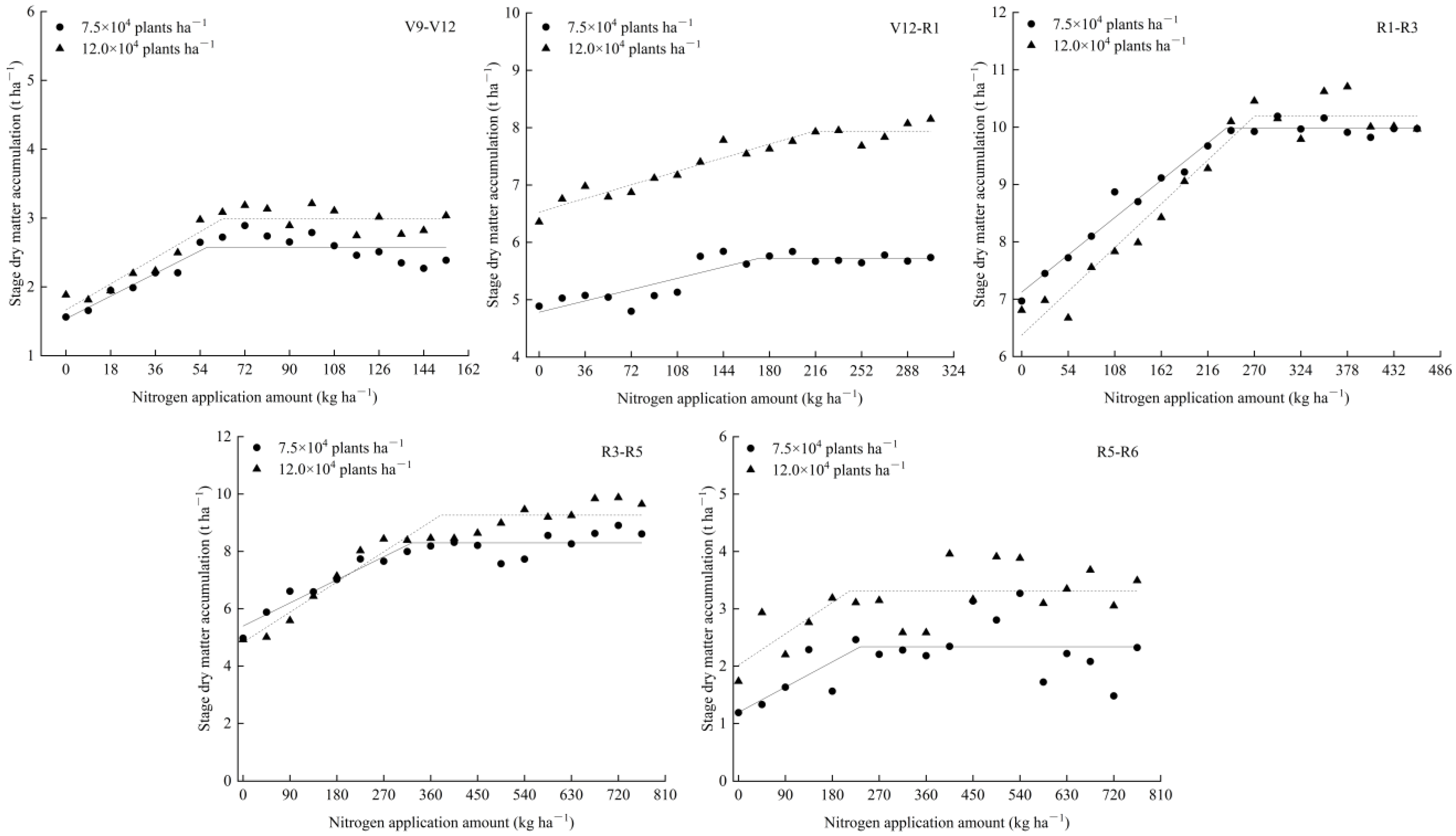
3.3. Effect of Nitrogen Application Rate on Dry Matter Accumulation
3.4. Optimized Nitrogen Application during the Maize Growth Period
4. Discussion
5. Conclusions
Supplementary Materials
Author Contributions
Funding
Institutional Review Board Statement
Informed Consent Statement
Data Availability Statement
Conflicts of Interest
References
- Campbell, B.M.; Vermeulen, S.J.; Aggarwal, P.K.; Corner-Dolloff, C.; Girvetz, E.; Loboguerrero, A.M.; Ramirez-Villegas, J.; Rosenstock, T.; Sebastian, L.; Thornton, P.K.; et al. Reducing risks to food security from climate change. Glob. Food Secur. 2016, 11, 34–43. [Google Scholar] [CrossRef] [Green Version]
- Ladha, J.K.; Pathak, H.; Krupnik, T.J.; Six, J.; Kessel, C.V. Efficiency of fertilizer nitrogen in cereal production: Retrospects and prospects. Adv. Agron. 2005, 87, 85–156. [Google Scholar]
- Ming, B.; Xie, R.Z.; Hou, P.; Li, L.L.; Wang, K.R.; Li, S.K. Changes of maize planting density in China. Sci. Agric. Sin. 2017, 50, 1960–1972. [Google Scholar]
- Wang, K.; Wang, K.R.; Wang, Y.H.; Zhao, J.; Zhao, R.L.; Wang, X.M.; Li, J.; Liang, M.X.; Li, S.K. Effects of density on maize yield and yield components. Sci. Agric. Sin. 2012, 45, 3437–3445. [Google Scholar]
- Du, X.B.; Wang, Z.; Lei, W.X.; Kong, L.C. Increased planting density combined with reduced nitrogen rate to achieve high yield in maize. Sci. Rep. 2021, 11, 358. [Google Scholar] [CrossRef]
- Rossini, M.A.; Maddonni, G.A.; Otegui, M.E. Inter-plant competition for resources in maize crops grown under contrasting nitrogen supply and density: Variability in plant and ear growth. Field Crop Res. 2011, 121, 373–380. [Google Scholar] [CrossRef]
- Grassini, P.; Yang, H.; Irmak, S.; Thorburn, J.; Burr, C.; Cassman, K.G. High-yield irrigated maize in the western US corn belt: II. irrigation management and crop water productivity. Field Crop Res. 2011, 120, 133–141. [Google Scholar] [CrossRef] [Green Version]
- Tollenaar, M.; Lee, E.A. Yield potential, yield stability and stress tolerance in maize. Field Crop Res. 2002, 75, 161–169. [Google Scholar] [CrossRef]
- Assefa, Y.; Prasad, P.V.V.; Carter, P.; Hinds, M.; Bhalla, G.; Schon, R.; Jeschke, M.; Paszkiewicz, S.; Ciampitti, I.A. Yield Responses to Planting Density for US Modern Corn Hybrids: A Synthesis-Analysis. Crop Sci. 2016, 56, 2802–2817. [Google Scholar] [CrossRef]
- Wei, S.L.; Wang, Z.G.; Yu, X.F.; Sun, J.Y.; Jia, Q.; Qu, J.W.; Su, B.D.; Gao, J.L.; Zhang, Y.Q. Interaction of nitrogen fertilizer rate and plant density on grain yield and nitrogen use efficiency of maize. Plant Nutr. Fertil. Sci. 2019, 25, 382–391. [Google Scholar]
- Zhang, G.Q.; Shen, D.P.; Xie, R.Z.; Ming, B.; Hou, P.; Xue, J.; Li, R.F.; Chen, J.L.; Wang, K.R.; Li, S.K. Optimizing planting density to improve nitrogen use of super high-yield maize. Agron. J. 2020, 112, 4147–4158. [Google Scholar] [CrossRef]
- Erisman, J.W.; Sutton, M.A.; Galloway, J.; Klimont, Z.; Winiwarter, W. How a century of ammonia synthesis changed the world. Nat. Geosci. 2008, 1, 636–639. [Google Scholar] [CrossRef]
- Hou, P.; Liu, Y.; Liu, W.; Liu, G.; Xie, R.; Wang, K.; Ming, B.; Wang, Y.; Zhao, R.; Zhang, W.; et al. How to increase maize production without extra nitrogen input. Resour. Conserv. Recycl. 2020, 160, 104913. [Google Scholar] [CrossRef]
- Abbasi, M.K.; Tahir, M.M.; Rahim, N. Effect of N fertilizer source and timing on yield and N use efficiency of rainfed maize (Zea mays L.) in Kashmir–Pakistan. Geoderma 2013, 195–196, 87–93. [Google Scholar] [CrossRef]
- Zhang, X.; Bol, R.; Rahn, C.; Xiao, G.M.; Meng, F.Q.; Wu, W.L. Agricultural sustainable intensification improved nitrogen use efficiency and maintained high crop yield during 1980–2014 in northern China. Sci. Total Environ. 2017, 596–597, 61. [Google Scholar] [CrossRef]
- Shi, D.Y.; Li, Y.H.; Zhang, J.W.; Liu, P.; Zhao, B.; Dong, S.T. Increased plant density and reduced n rate lead to more grain yield and higher resource utilization in summer maize. J. Integr. Agric. 2016, 15, 2515–2528. [Google Scholar] [CrossRef] [Green Version]
- Yi, Q.; Zhang, X.Z.; He, P.; Yang, L.; Xiong, G.Y. Effects of reducing N application rate on crop N uptake, utilization and soil N balance in rice-wheat rotation system. Plant Nutr. Fertil. Sci. 2010, 16, 1069–1077. [Google Scholar]
- Yang, J.S.; Gao, H.Y.; Liu, P.; Li, G.; Dong, S.T.; Zhang, J.W.; Wang, J.F. Effects of planting density and row spacing on canopy apparent photosynthesis of high-yield summer corn. Acta Agron. Sin. 2010, 36, 1226–1233. [Google Scholar] [CrossRef]
- Lv, L.H.; Wang, P.; Yi, Z.X.; Wei, F.T.; Liu, M. Effects of plant density on photosynthetic character and yield trait in summer corn. J. Maize Sci. 2017, 15, 79–81. [Google Scholar]
- Wang, Y.J.; Sun, Q.Z.; Yang, J.S.; Wang, K.J.; Dong, S.T.; Yuan, C.P.; Wang, L.C. Effects of controlled-release urea on yield and photosynthesis characteristics of maize (Zea mays L.) under different soil fertility conditions. Acta Agron. Sin. 2011, 37, 2233–2240. [Google Scholar] [CrossRef]
- Yu, H.; Yang, G.H.; Wang, Z.J. Nitrogen rate and timing considerations on yield and physiological parameters of maize canopy. Plant Nutr. Fertil. Sci. 2010, 16, 266–273. [Google Scholar]
- Chen, X.-P.; Cui, Z.-L.; Vitousek, P.M.; Cassman, K.G.; Matson, P.A.; Bai, J.-S.; Meng, Q.-F.; Hou, P.; Yue, S.-C.; Römheld, V.; et al. Integrated soil-crop system management for food security. Proc. Natl. Acad. Sci. USA 2011, 108, 6399–6404. [Google Scholar] [CrossRef] [PubMed] [Green Version]
- Jia, G.Y.; Luo, H.Y.; Chu, Y.; Lin, J.M.; Wang, Z.Y.; Chen, T.X.; Xu, Z. Effects of water and fertilizer integration on nutrient absorption of maize under different irrigation modes. Water Sav. Irrig. 2022, 2, 40–47. [Google Scholar]
- Han, X.F.; Liu, P.; Ma, Y.G.; Liu, Q.; He, J.G. Effects of nitrogen supply methods on grain yield, nitrogen uptake and use efficiency of summer maize. J. Maize Sci. 2019, 27, 140–147. [Google Scholar]
- Zhai, L.C.; Xie, R.Z.; Li, S.K.; Zhang, Z.B. Effects of nitrogen and plant density on competition between two maize hybrids released in different eras. Agron. J. 2017, 109, 2670–2679. [Google Scholar] [CrossRef]
- Xu, K.; Chai, Q.; Hu, F.L.; Fan, Z.L.; Yin, W. N-fertilizer postponing application improves dry matter translocation and increases system productivity of wheat/maize intercropping. Sci. Rep. 2021, 11, 22825. [Google Scholar] [CrossRef]
- Wang, Y.; Zhao, C.; Fan, Z.L.; Gou, Z.W.; Hu, F.L.; Yin, W.; Cai, Q. Characteristics of dry matter accumulation and yield formation of dense planting maize in different row spacings. Chin. J. Ecol. 2020, 28, 652–661. [Google Scholar]
- Yu, Y.; Qian, C.R.; Gu, W.R.; Li, C.F. Responses of root characteristic parameters and plant dry matter accumulation, distribution and transportation to nitrogen levels for spring maize in northeast China. Agriculture 2021, 11, 308. [Google Scholar] [CrossRef]
- Wang, F.; Xie, R.Z.; Ming, B.; Wang, K.R.; Hou, P.; Chen, J.L.; Liu, G.Z.; Zhang, G.Q.; Xue, J.; Li, S.K. Dry matter accumulation after silking and kernel weight are the key factors for increasing maize yield and water use efficiency. Agric. Water Manag. 2021, 254, 106938. [Google Scholar] [CrossRef]
- Cheng, Y.T.; Li, R.F.; Wang, K.R.; Xie, R.Z.; Hou, P.; Ming, B.; Xue, J.; Zhang, G.Q.; Liu, G.Z.; Li, S.K. Creation and thinking of China’s spring maize high-yield record. J. Maize Sci. 2021, 29, 56–59. [Google Scholar]
- Zhang, G.; Liu, C.; Xiao, C.; Xie, R.; Ming, B.; Hou, P.; Liu, G.; Xu, W.; Shen, D.; Wang, K.; et al. Optimizing water use efficiency and economic return of super high yield spring maize under drip irrigation and plastic mulching in arid areas of China. Field Crop Res. 2017, 211, 137–146. [Google Scholar] [CrossRef]
- Liu, G.; Hou, P.; Xie, R.; Ming, B.; Wang, K.; Xu, W.; Liu, W.; Yang, Y.; Li, S. Canopy characteristics of high-yield maize with yield potential of 22.5 Mg ha−1. Field Crop Res. 2017, 213, 221–230. [Google Scholar] [CrossRef]
- Xu, W.J.; Liu, C.W.; Wang, K.R.; Xie, R.Z.; Ming, B.; Wang, Y.H.; Zhang, G.Q.; Liu, G.Z.; Zhao, R.L.; Fan, P.P.; et al. Adjusting maize plant density to different climatic conditions across a large longitudinal distance in China. Field Crop Res. 2017, 212, 126–134. [Google Scholar] [CrossRef]
- Bao, Q.P.; Han, X.R.; Cui, Z.G.; Yin, Y.; Zhang, H.; Li, W.R.; Liu, X.H. Recommended fertilization model for spring maize nitrogen fertilizer in Northeast China. Plant Nutr. Fertil. Sci. 2020, 26, 705–716. [Google Scholar]
- Wang, Y.H.; Wang, K.R.; Zhao, R.L.; Wang, K.; Zhao, J.; Wang, X.M.; Li, J.; Liang, M.X.; Li, S.K. Relationship between the source and sink of spring maize with high yield. Sci. Agric. Sin. 2013, 46, 257–269. [Google Scholar]
- Cao, S.B.; Zhang, J.W.; Dong, S.T.; Liu, P.; Zhao, B.; Yang, J.S. Effects of nitrogen rate and planting density on grain yield and nitrogen utilization efficiency of high yield summer maize. Plant Nutr. Fertil. Sci. 2012, 18, 1343–1353. [Google Scholar]
- Chen, K.; Kumudini, S.V.; Tollenaar, M.; Vyn, T.J. Plant biomass and nitrogen partitioning changes between silking and maturity in newer versus older maize hybrids. Field Crop Res. 2015, 183, 315–328. [Google Scholar] [CrossRef]
- Li, J.; Xie, R.Z.; Wang, K.R.; Ming, B.; Guo, Y.Q.; Zhang, G.Q.; Li, S.K. Variations in maize dry matter, harvest index, and grain Yield with plant density. Agron. J. 2015, 107, 829–834. [Google Scholar] [CrossRef]
- Zhang, W.; Cao, G.; Li, X.; Zhang, H.; Wang, C.; Liu, Q.; Chen, X.; Cui, Z.; Shen, J.; Jiang, R.; et al. Closing yield gaps in China by empowering smallholder farmers. Nature 2016, 537, 671–674. [Google Scholar] [CrossRef]
- Zhao, Y.J.; Sen, X.; Zhang, Q.S.; Zhang, F.S. Causes of maize density loss in farmers’ fields in Northeast China. J. Integr. Agric. 2019, 18, 1680–1689. [Google Scholar] [CrossRef]
- Wang, X.X.; Zheng, X.F.; Cao, Y.; Yu, H.J.; Wu, T. Effects of source alteration on material production and grain nutrition components accumulation of transplanted maize. J. Maize Sci. 2020, 28, 111–116. [Google Scholar]
- Liu, M.; Lai, Y.J.; Li, W.; Xiao, J.L.; Bi, Y.D.; Liu, M. Effects of biochar on matter production and yield of maize. Crops 2015, 3, 133–138. [Google Scholar]
- Echarte, L.; Andrade, F.H.; Vega, C.; Tollenaar, M. Kernel number determination in argentinean maize hybrids released between 1965 and 1993. Cropence 2004, 44, 1654–1661. [Google Scholar] [CrossRef]
- Sarlangue, T.; Andrade, F.H.; Calviño, P.A.; Purcell, L.C. Why do maize hybrids respond differently to variations in plant density? Agron. J. 2007, 99, 984–991. [Google Scholar] [CrossRef]
- Wang, J.X.; Wang, H.W.; Jiang, W.Y.; Zhao, B.; Man, Y.P.; Zhang, K.Y.; Diao, Y.L.; Zhu, K.N. Effects of different planting on dry matter accumulation, distribution and yield of maize. J. Maize Sci. 2021, 29, 128–136. [Google Scholar]
- Tian, F.; Nie, J.S.; Zhou, Z.Y.; Gu, A.L.; Zheng, Z.Y.; Yang, T.T.; Huang, Y.; Yin, D.W.; Wang, Z.H. Effects of combined application of biochar and relatively low-level chemical fertilizer on dry matter, yield, accumulation and transport of nitrogen, phosphorus and potassium in maize. J. Maize Sci. 2021, 29, 158–165. [Google Scholar]
- Rens, L.R.; Zotarelli, L.; Cantliffe, D.J.; Stoffella, P.J.; Gergela, D.; Fourman, D. Biomass accumulation, marketable yield, and quality of atlantic potato in response to nitrogen. Agron. J. 2015, 107, 931–942. [Google Scholar] [CrossRef]
- Wang, C.C.; Gao, Y.N.; Zhang, J.L.; Cui, J.H. Effect of row spacing on the regularity of accumulation and distribution of dry matter in spring maize. J. Maize Sci. 2011, 19, 108–111. [Google Scholar]
- Ding, L.; Wang, K.; Jiang, G.; Biswas, D.K.; Li, Y. Effects of nitrogen deficiency on photosynthetic traits of maize hybrids released in different years. Ann. Bot. 2005, 96, 925–930. [Google Scholar] [CrossRef] [Green Version]
- Hou, P.; Gao, Q.; Xie, R.; Li, S.; Meng, Q.; Kirkby, E.A.; Römheld, V.; Müller, T.; Zhang, F.; Cui, Z.; et al. Grain yields in relation to n requirement: Optimizing nitrogen management for spring maize grown in China. Field Crop Res. 2012, 129, 1–6. [Google Scholar] [CrossRef]
- Xu, X.Y.; Zhang, M.M.; Zhai, B.N.; Li, S.X. Effects of nitrogen application on dry matter accumulation and translocation of different genotypes of summer maize. Plant Nutr. Fertil. Sci. 2009, 15, 786–792. [Google Scholar]
- Jing, L.Q.; Zhao, F.C.; Liu, P.; Yuan, J.H.; Lu, D.W.; Lu, W.P. Effects of nitrogen treatments on dry matter production and photosynthetic characteristics of summer maize (Zea mays L.) under super-high yield conditions. Acta Agric. Nucleatae Sin. 2014, 28, 317–326. [Google Scholar]
- Zhu, X.C.; Zhang, J.; Zhang, Z.P.; Deng, A.X.; Zhang, W.J. Dense planting with less basal nitrogen fertilization might benefit rice cropping for high yield with less environmental impacts. Eur. J. Agron. 2016, 75, 50–59. [Google Scholar] [CrossRef]
- Jin, L.B.; Zhang, J.W.; Li, B.; Cui, H.Y.; Dong, S.T.; Liu, P.; Zhao, B. Canopy structure and photosynthetic characteristics of high yield and high nitrogen efficiency summer maize. Sci. Agric. Sin. 2013, 46, 2430–2439. [Google Scholar]
- Lv, G.D.; Mi, Y.; Chen, Y.J.; Sun, Y.Y.; Wang, C.; Mu, Q.H.; Wu, K.; Qian, Z.G. Effects of nitrogen application on nitrogen accumulation, dry matter accumulation, transport, and yield of maize. J. Maize Sci. 2021, 29, 128–137. [Google Scholar]
- Lv, P.; Zhang, J.W.; Liu, W.; Yang, J.S.; Liu, P.; Dong, S.T.; Li, D.H. Effects of nitrogen application dates on yield and nitrogen use efficiency of summer maize in super-high yield conditions. Plant Nutr. Fertil. Sci. 2011, 17, 1099–1107. [Google Scholar]
- Liu, G.; Hou, P.; Xie, R.; Ming, B.; Wang, K.; Liu, W.; Yang, Y.; Xu, W.; Chen, J.; Li, S. Nitrogen uptake and response to radiation distribution in the canopy of high-yield maize. Crop Sci. 2019, 59, 1236–1247. [Google Scholar] [CrossRef]
- Nayak, H.S.; Parihar, C.; Mandal, B.; Patra, K.; Jat, S.; Singh, R.; Singh, V.; Jat, M.; Garnaik, S.; Nayak, J.; et al. Point placement of late vegetative stage nitrogen splits increase the productivity, N-use efficiency and profitability of tropical maize under decade long conservation agriculture. Eur. J. Agron. 2022, 133, 126417. [Google Scholar] [CrossRef]
- Zhao, Y.; Tong, Y.A.; Zhao, H.B. Effects of different N rates on nutrients accumulation, transformation and yield of summer maize. Plant Nutr. Fertil. Sci. 2006, 5, 622–627. [Google Scholar]







| Month | Solar Radiation (MJ m−2) | Precipitation (mm) | Avg. Temperature (℃) | ||||||
|---|---|---|---|---|---|---|---|---|---|
| 2019 | 2020 | 2021 | 2019 | 2020 | 2021 | 2019 | 2020 | 2021 | |
| Apr. | 497.2 | 529.0 | 396.5 | 28.3 | 5.1 | 20.8 | 11.3 | 14.1 | 11.5 |
| May | 542.4 | 616.8 | 716.8 | 37.0 | 13.2 | 24.2 | 13.2 | 18.2 | 17.3 |
| Jun. | 584.1 | 599.6 | 670.9 | 28.1 | 25.8 | 20.5 | 19.2 | 20.0 | 19.9 |
| July | 586.8 | 613.3 | 685.0 | 5.8 | 104.1 | 16.8 | 22.8 | 21.6 | 25.3 |
| Aug. | 582.8 | 546.8 | 622.7 | 10.8 | 13.7 | 30.4 | 22.8 | 20.9 | 21.4 |
| Sep. | 414.6 | 397.8 | 486.0 | 32.8 | 30.8 | 11.3 | 17.9 | 14.7 | 18.3 |
| Total/avg. | 3207.9 | 3303.3 | 3577.8 | 142.8 | 192.7 | 124.0 | 17.9 | 18.3 | 18.9 |
| Year | Fertilization Date | ||||
|---|---|---|---|---|---|
| 2019 | 6.26 | 7.4 | 7.15 | 7.23 | 8.1 |
| 2020 | 6.16 | 6.26 | 7.4 | 7.16 | 7.27 |
| 2021 | 6.16 | 7.4 | 7.11 | 7.17 | 7.26 |
| Year | Variety | Plant Density (× 104 Plants ha−1) | Fitting Equation | Determination Coefficient R2 |
|---|---|---|---|---|
| 2019 | DH618 | 7.5 | Y = 12.66 + 0.017 × N, N < 291; Y = 17.61, N ≥ 291 | 0.985 ** |
| 12.0 | Y = 11.81 + 0.019 × N, N < 365; Y = 18.74, N ≥ 365 | 0.995 ** | ||
| XY335 | 7.5 | Y = 12.09 + 0.024 × N, N < 269; Y = 18.55, N ≥ 269 | 0.988 ** | |
| 12.0 | Y = 12.45 + 0.018 × N, N < 371; Y = 19.13, N ≥ 371 | 0.991 ** | ||
| 2020 | DH618 | 7.5 | Y = 18.14 + 0.04 × N, N < 246; Y = 19.12, N ≥ 246 | 0.988 ** |
| 12.0 | Y = 8.2 + 0.035 × N, N < 347; Y = 20.34, N ≥ 347 | 0.966 ** | ||
| XY335 | 7.5 | Y = 10.98 + 0.042 × N, N < 219; Y = 20.18, N ≥ 219 | 0.981 ** | |
| 12.0 | Y = 9.76 + 0.05 × N, N < 243; Y = 21.94, N ≥ 243 | 0.993 ** | ||
| 2021 | XY335 | 7.5 | Y = 8.25 + 0.032 × N, N < 337; Y = 18.92, N ≥ 337 | 0.988 ** |
| 12.0 | Y = 9.18 + 0.03 × N, N < 378; Y = 20.52, N ≥ 378 | 0.981 ** |
| Plant Density (× 104 Plants ha−1) | Optimal Theoretical Nitrogen Fertilization at the Growth Stages (kg ha−1) | ||||
|---|---|---|---|---|---|
| V9–V12 | V12–R1 | R1–R3 | R3–R5 | R5–R6 | |
| 7.5 | 57 | 172 | 238 | 304 | 153 |
| 12.0 | 63 | 214 | 270 | 344 | 213 |
Publisher’s Note: MDPI stays neutral with regard to jurisdictional claims in published maps and institutional affiliations. |
© 2022 by the authors. Licensee MDPI, Basel, Switzerland. This article is an open access article distributed under the terms and conditions of the Creative Commons Attribution (CC BY) license (https://creativecommons.org/licenses/by/4.0/).
Share and Cite
Zhai, J.; Zhang, Y.; Zhang, G.; Xu, W.; Xie, R.; Ming, B.; Hou, P.; Wang, K.; Xue, J.; Li, S. Nitrogen Application and Dense Planting to Obtain High Yields from Maize. Agronomy 2022, 12, 1308. https://doi.org/10.3390/agronomy12061308
Zhai J, Zhang Y, Zhang G, Xu W, Xie R, Ming B, Hou P, Wang K, Xue J, Li S. Nitrogen Application and Dense Planting to Obtain High Yields from Maize. Agronomy. 2022; 12(6):1308. https://doi.org/10.3390/agronomy12061308
Chicago/Turabian StyleZhai, Juan, Yuanmeng Zhang, Guoqiang Zhang, Wenqian Xu, Ruizhi Xie, Bo Ming, Peng Hou, Keru Wang, Jun Xue, and Shaokun Li. 2022. "Nitrogen Application and Dense Planting to Obtain High Yields from Maize" Agronomy 12, no. 6: 1308. https://doi.org/10.3390/agronomy12061308
APA StyleZhai, J., Zhang, Y., Zhang, G., Xu, W., Xie, R., Ming, B., Hou, P., Wang, K., Xue, J., & Li, S. (2022). Nitrogen Application and Dense Planting to Obtain High Yields from Maize. Agronomy, 12(6), 1308. https://doi.org/10.3390/agronomy12061308

